Phenolic Compounds and Antimicrobial Activity of Olive (Olea europaea L. Cv. Cobrançosa) Leaves
Abstract
:Introduction
Results and Discussion
Phenolic compounds in olive leaves

| Compound | mg/kg |
|---|---|
| 1 Caffeic acid | 220.5 ± 23.3 |
| 2 Verbascoside | 966.1 ± 18.1 |
| 3 Oleuropein | 26471.4 ± 1760.2 |
| 4 Luteolin 7-O-glucoside | 4208.9 ± 97.8 |
| 5 Rutin | 495.9 ± 12.2 |
| 6 Apigenin 7-O-glucoside | 2333.1 ± 74.7 |
| 7 Luteolin 4’-O-glucoside | 1355.9 ± 75.9 |
| Σ | 36051.8 |

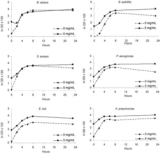
Antimicrobial activity
| [Extract](mg/mL) | B. cereus | B. subtilis | S. aureus | E. coli | K. pneumoniae | P. aeruginosa | C. albicans | C. neoformans |
|---|---|---|---|---|---|---|---|---|
| 0.00 | 0.67 | 0.53 | 0.66 | 0.57 | 0.68 | 0.63 | 0.40 | 0.18 |
| 0.05 | 0.69 | 0.62 | 0.71 | 0.56 | 0.61 | 0.52 | 0.35 | 0.17 |
| 0.10 | 0.54 | 0.61 | 0.73 | 0.56 | 0.60 | 0.63 | 0.36 | 0.16 |
| 0.50 | 0.51 | 0.59 | 0.68 | 0.52 | 0.61 | 0.60 | 0.39 | 0.16 |
| 1.00 | 0.48 | 0.53 | 0.60 | 0.46 | 0.59 | 0.60 | 0.26 | 0.15 |
| 5.00 | 0.37 | 0.36 | 0.35 | 0.30 | 0.44 | 0.37 | 0.12 | 0.12 |
| IC25 | 0.63 | 4.12 | 2.68 | 1.81 | 3.13 | 3.22 | 0.85 | 3.00 |


Experimental
Samples
Identification and quantification of phenolic compounds
Antimicrobial Activity
Acknowledgments
References
- Guinda, A.; Albi, T.; Camino, M. C. P.; Lanzón, A. Supplementation of oils with oleanolic acid from the olive leaf (Olea europaea). Eur. J. Lipid Sci. Technol. 2004, 106, 22–26. [Google Scholar] [CrossRef]
- Tabera, J.; Guinda, A.; Ruiz-Rodriguez, A.; Senorans, J. F.; Ibanez, E.; Albi, T.; Reglero, G. Countercurrent supercritical fluid extraction and fractionation of high-added-value compounds from a hexane extract of olive leaves. J. Agric. Food Chem. 2004, 52, 4774–4779. [Google Scholar]
- Hansen, K.; Adsersen, A.; Christensen, B. S.; Brooegger, S.; Rosendal, J. S.; Nyman, U.; Wagner Smitt, U. Isolation of an angiotensin converting enzyme (ACE) inhibitor from Olea europaea and Olea lancea. Phytomedicine 1996, 2, 319–324. [Google Scholar] [CrossRef] [PubMed]
- Gonzalez, M.; Zarzuelo, A.; Gamez, M. J.; Utrilla, M. P.; Jimenez, J.; Osuna, I. Hypoglycemic activity of olive leaf. Planta Med. 1992, 58, 513–515. [Google Scholar] [CrossRef] [PubMed]
- Samuelsson, G. The blood pressure lowering factor in leaves of Olea europaea. Farmacevtisk Revy 1951, 15, 229–239. [Google Scholar]
- Zarzuelo, A.; Duarte, J.; Jimenez, J.; Gonzales, M. Utrilla Vasodilator effect of olive leaf. Planta Med. 1991, 57, 417–419. [Google Scholar] [CrossRef] [PubMed]
- Garcia, O.B.; Castillo, J.; Lorente, J.; Ortuno, A.; Del-Rio, J.A. Antioxidant activity of phenolics extracted from Olea europaea L. leaves. Food Chem. 2000, 68, 457–462. [Google Scholar] [CrossRef]
- Gordon, M.H.; Paiva-Martins, F.; Almeida, M. Antioxidant activity of hydroxytyrosol acetate compared with that of other olive oil polyphenols. J. Agric. Food Chem. 2001, 49, 2480–2485. [Google Scholar] [CrossRef] [PubMed]
- Paiva-Martins, F.; Gordon, M.H.; Gameiro, P. Activity and location of olive oil phenolic antioxidants in liposomes. Chem. Phys. Lipids 2003, 124, 23–36. [Google Scholar]
- Benavente-García, O.; Castillo, J.; Lorente, J.; Ortuño, A.; Del Rio, J.A. Antioxidant activity of phenolics from Olea europaea L. leaves. Food Chem. 2000, 68, 457–462. [Google Scholar]
- Bouaziz, M.; Sayadi, S. Isolation and evaluation of antioxidants from leaves of a Tunisian cultivar olive tree. Eur. J. Lipid Sci. Technol. 2005, 107, 497–504. [Google Scholar] [CrossRef]
- Briante, R.; Patumi, M.; Terenziani, S.; Bismuto, E.; Febbraio, F.; Nucci, R. Olea europaea L. leaf extract and derivatives: antioxidant properties. J. Agric. Food Chem. 2002, 50, 4934–4940. [Google Scholar]
- Paiva-Martins, F.; Gordon, M.H. Isolation and characterization of the antioxidant component 3,4-dihydroxyphenylethyl-4-formyl-3-formylmethyl-4-hexenoate from olive (Olea europaea) leaves. J. Agric. Food Chem. 2001, 49, 4214–4219. [Google Scholar]
- Meirinhos, J.; Silva, B.; Valentão, P.; Seabra, R.M.; Pereira, J. A.; Dias, A.; Andrade, P.B.; Ferreres, F. Analysis and quantification of flavonoidic compounds from Portuguese olive (Oleae europeae L.) leaf cultivars. Nat. Prod. Res. 2005, 19, 189–195. [Google Scholar]
- Bisignano, G.; Tomaino, A.; Lo Cascio, R.; Crisafi, G.; Uccella, N.; Saija, A. On the in vitro antimicrobial activity of oleuropein and hydroxytyrosol. J. Pharm. Pharmacol. 1999, 51, 971–974. [Google Scholar]
- Soni, M.G.; Burdock, G.A.; Christian, M.S.; Bitler, C.M.; Crea, R. Safety assessment of aqueous olive pulp extract as an antioxidant or antimicrobial agent in foods. Food Chem. Toxicol. 2006, 44, 903–915. [Google Scholar] [CrossRef] [PubMed]
- Markin, D.; Duek, L.; Berdicevsky, I. In vitro antimicrobial activity of olive leaves. Mycoses 2003, 46, 132–136. [Google Scholar] [CrossRef] [PubMed]
- Pereira, J.A.; Pereira, A.P.G.; Ferreira, I.C.F.R.; Valentão, P.; Andrade, P.B.; Seabra, R.; Estevinho, L.; Bento, A. Table olives from Portugal: phenolic compounds, antioxidant potential and antimicrobial activity. J. Agric. Food Chem. 2006, 54, 8425–8431. [Google Scholar] [CrossRef] [PubMed]
- Proestos, C.; Chorianopoulos, N.; Nychas, G.-J. E.; Komaitis, M. RP-HPLC analysis of the phenolic compounds of plant extracts. Investigation of their antioxidant capacity and antimicrobial activity. J. Agric. Food Chem. 2005, 53, 1190–1195. [Google Scholar]
- Rauha, J.-P.; Remes, S.; Heinonen, M.; Hopia, A.; Kähkönen, M.; Kujala, T.; Pihlaja, K.; Vuorela, H.; Vuorela, P. Antimicrobial effects of Finnish plant extracts containing flavonoids and other phenolic compounds. Int. J. Food Microbiol. 2000, 56, 3–12. [Google Scholar] [CrossRef] [PubMed]
- Zhu, X.; Zhang, H.; Lo, R. Phenolic compounds from the leaf extracto f artichoke (Cynara scolymus L.) and their antimicrobial activities. J. Agric. Food Chem. 2004, 52, 7272–7278. [Google Scholar]
- Puupponen-Pimiä, R.; Nohynek, L.; Meier, C.; Kähkönen, M.; Heinonen, M.; Hopia, A.; Oksman-Caldentey, K.-M. Antimicrobial properties of phenolic compounds from berries. J. Appl. Microbiol. 2001, 90, 494–507. [Google Scholar]
- Borchers, A.T.; Keen, C.L.; Gerstiwin, M.E. Mushrooms, tumors, and immunity: an update. Exp. Biol. Med. 2004, 229, 393–406. [Google Scholar]
- Liu, R.H. Health benefits of fruits and vegetables are from additive and synergistic combination of phytochemicals. Am. J. Clin. Nutr. 2003, 78, 517S–520S-9. [Google Scholar]
- Ahmeda, M.S.; Galalb, A.M.; Rossb, S.A; Ferreira, D.; El Sohlyb, M.A.; Ibrahime, A.S.; Mossa, J.S.; El-Feralya, F.S. A weakly antimalarial biflavanone from Rhus retinorrhoea. Phytochemistry 2001, 58, 599–602. [Google Scholar]
- Verduyn-Lunel, F.M.; Meis, J.F.; Voss, A. Nosocomial fungal infections: candidaemia. Diagn. Microbiol. Infect. Dis. 1999, 34, 213–220. [Google Scholar]
- Neu, H.C. The crisis in antibiotic resistance. Science 1992, 257, 1064–73. [Google Scholar] [CrossRef] [PubMed]
- Sousa, A.; Ferreira, I.C.F.R.; Calhelha, R.; Andrade, P.B.; Valentão, P.; Seabra, R.; Estevinho, L.; Bento, A.; Pereira, J.A. Phenolics and antimicrobial activity of traditional stoned table olives “alcaparra”. Bioorg. Med. Chem. 2006, 14, 8533–8538. [Google Scholar]
- Sample Availability: Samples are not available.
© 2007 by MDPI (http://www.mdpi.org). Reproduction is permitted for noncommercial purposes.
Share and Cite
Pereira, A.P.; Ferreira, I.C.; Marcelino, F.; Valentão, P.; Andrade, P.B.; Seabra, R.; Estevinho, L.; Bento, A.; Pereira, J.A. Phenolic Compounds and Antimicrobial Activity of Olive (Olea europaea L. Cv. Cobrançosa) Leaves. Molecules 2007, 12, 1153-1162. https://doi.org/10.3390/12051153
Pereira AP, Ferreira IC, Marcelino F, Valentão P, Andrade PB, Seabra R, Estevinho L, Bento A, Pereira JA. Phenolic Compounds and Antimicrobial Activity of Olive (Olea europaea L. Cv. Cobrançosa) Leaves. Molecules. 2007; 12(5):1153-1162. https://doi.org/10.3390/12051153
Chicago/Turabian StylePereira, Ana Paula, Isabel CFR Ferreira, Filipa Marcelino, Patricia Valentão, Paula B Andrade, Rosa Seabra, Leticia Estevinho, Albino Bento, and José Alberto Pereira. 2007. "Phenolic Compounds and Antimicrobial Activity of Olive (Olea europaea L. Cv. Cobrançosa) Leaves" Molecules 12, no. 5: 1153-1162. https://doi.org/10.3390/12051153
APA StylePereira, A. P., Ferreira, I. C., Marcelino, F., Valentão, P., Andrade, P. B., Seabra, R., Estevinho, L., Bento, A., & Pereira, J. A. (2007). Phenolic Compounds and Antimicrobial Activity of Olive (Olea europaea L. Cv. Cobrançosa) Leaves. Molecules, 12(5), 1153-1162. https://doi.org/10.3390/12051153
