Abstract
A new series of salicylanilide acetates was synthesized and evaluated for their in vitro antifungal and antituberculotic activity. Some of the evaluated compounds possessed comparable or better antifungal activity than a fluconazole standard. All these compounds exhibited very good potential and their in vitro activity against drug resistant and sensitive clinical isolates of Mycobacteria were found to be equivalent or better than a standard of isoniazide, a well-known first-line drug for tuberculosis treatment.
Introduction
Salicylanilides possess a wide range of biological activities [1,2,3,4]. A new mechanism of action of these compounds was discovered in 1998. They act as inhibitors of the two-component regulatory system (TCS) in bacteria [5,6]. The importance of electron-attracting substituents in the salicyloyl ring and hydrophobic groups in the anilide moiety for optimal activity have been noted. Removal of the 2-OH group resulted in the loss of activity [5].
In studies of the antimicrobial activity of salicylanilides, blocking the phenolic hydroxyl group by esterification with amino acids (Gly or Ala) afforded benzoxazepine derivatives by 7-exo-trig cyclization, while amino acid esters (Val, Phe) immediately rearranged to N-(2-anilino-2-oxoethyl)-2-hydroxybenzamide derivatives [7]. Therefore, the essential similarity of the discussed compounds with the salicylic/acetylsalicylic acid analogy was used. The acetyl group was introduced on the phenolic moiety in the C2 position of the salicylic nucleus of the starting antimicrobial active salicylanilides to obtain new compounds with more convenient physico-chemical properties as well as a more convenient form for biotransformation of antimycobacterial and antifungal active salicylanilides.
The present study is a follow-up paper to the previous articles dealing with the antimicrobially active compounds as potential drugs [8,9,10]. This pilot study is concerned with the synthesis and antimicrobial evaluation of the novel series of variously ring-substituted salicylanilide acetates.
Results and Discussion
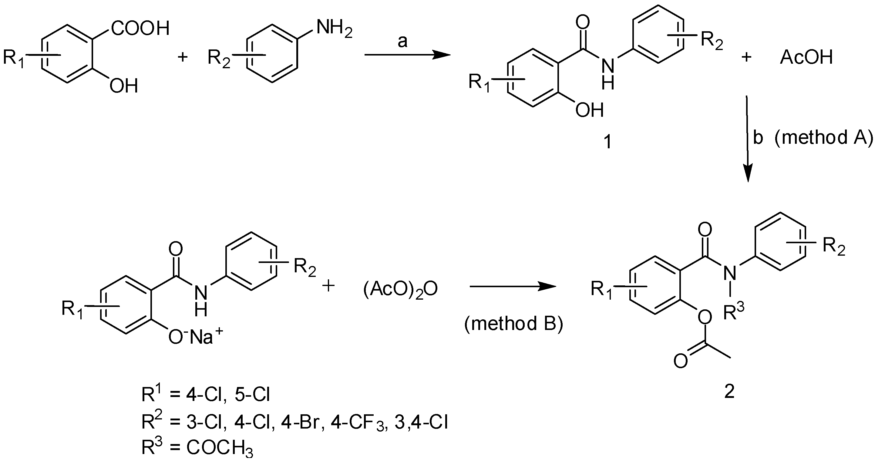
Salicylanilides were prepared from the appropriate substituted salicylic acids and substituted anilines with PCl3 in a MicroSYNTH MLS ETHOS 1600 URM microwave reactor. Preparations of starting salicylanilides 1a-i are described [8]. Acetylation was performed either by activation of the acetic acid carboxyl group with N,N´-dicyclohexylcarbodiimide (DCC), (Method A) or by reaction of phenolate and acetic anhydride (Method B) (Scheme 1). Esterification with acetyl chloride led to N-acetylsalicylamide acetate 2j.
Scheme 1.
Synthesis of salicylanilide acetates.
The lipophilicities (log P/Clog P values) of the studied compounds 1a-i and 2a-j were calculated using two commercially available programs (ChemDraw Ultra 10.0 and ACD/Log P) and measured by means of a RP-HPLC determination of the capacity factors K with a subsequent calculation of log K [9]. The results are shown in Table 1 and Table 2.
Table 1.
Comparison of the determined log K values with the calculated lipophilicities (log P/Clog P) of the synthesized ring substituted salicylanilides 1a-i.
![]() | |||||
| Comp. | R1 | R2 | log K | log P/ClogP ChemOffice | log P ACD/Log P |
| 1a | 5-Cl | 3-Cl | 0.4698 | 3.57 / 5.08085 | 5.44 ± 0.42 |
| 1b | 5-Cl | 4-Cl | 0.4021 | 3.57 / 5.08085 | 5.40 ± 0.42 |
| 1c | 5-Cl | 4-Br | 0.4927 | 3.84 / 5.23085 | 5.58 ± 0.49 |
| 1d | 5-Cl | 4-CF3 | 0.5580 | 3.93 / 5.44405 | 5.43 ± 0.46 |
| 1e | 5-Cl | 3,4-Cl | 0.6558 | 4.12 / 5.75025 | 6.31 ± 0.44 |
| 1f | 4-Cl | 3-Cl | 0.3004 | 3.57 / 5.08085 | 5.39 ± 0.42 |
| 1g | 4-Cl | 4-Cl | 0.2953 | 3.57 / 5.08085 | 5.35 ± 0.42 |
| 1h | 4-Cl | 4-CF3 | 0.4225 | 3.93 / 5.44405 | 5.37 ± 0.46 |
| 1i | 4-Cl | 3,4-Cl | 0.6132 | 4.12 / 5.75025 | 6.25 ± 0.44 |
Table 2.
Comparison of the determined log K values with the calculated lipophilicities (log P/Clog P) of the synthesized ring substituted salicylanilide acetates 2a-2j.
![]() | ||||||
| Comp. | R1 | R2 | R3 | log K | log P/ClogP ChemOffice | log P ACD/Log P |
| 2a | 4-Cl | 3-Cl | H | 0.3391 | 3.54 / 3.87285 | 3.46 ± 0.40 |
| 2b | 4-Cl | 4-Cl | H | 0.3377 | 3.54 / 3.87285 | 3.42 ± 0.40 |
| 2c | 4-Cl | 4-Br | H | 0.3983 | 3.81 / 4.02285 | 3.59 ± 0.44 |
| 2d | 4-Cl | 4-CF3 | H | 0.4637 | 3.90 /4.23605 | 3.44 ± 0.42 |
| 2e | 4-Cl | 3,4-Cl | H | 0.6053 | 4.10 / 4.5004 | 4.32 ± 0.41 |
| 2f | 5-Cl | 3-Cl | H | 0.2971 | 3.54 / 3.87285 | 3.74 ± 0.40 |
| 2g | 5-Cl | 4-Cl | H | 0.2806 | 3.54 / 3.87285 | 3.70 ± 0.40 |
| 2h | 5-Cl | 4-CF3 | H | 0.4188 | 3.90 / 4.23605 | 3.72 ± 0.42 |
| 2i | 5-Cl | 3,4-Cl | H | 0.5510 | 4.10 / 4.5004 | 4.60 ± 0.41 |
| 2j | 4-Cl | 4-Br | COCH3 | 0.3117 | 3.76 / 3.83856 | 3.17 ± 0.63 |
The experimentally determined lipophilicities (log K values) for both series of substituted salicylanilide derivatives 1a-i and 2a-j were lower than those calculated by log P/Clog P; only ACD/Log P for the series 1a-i correlated with log K. The ChemOffice program resolves neither C4/C5 chlorine substitution in benzene ring nor C3´/C4´ substitution in the phenylcarbamoyl moiety, respectively. In both series of salicylanilide derivatives, compounds 1 and 2 substituted with chlorine in the meta position with respect to the benzene ring carbamoyl group showed a higher lipophilicity than the compounds with para chlorine substitution. Individual substituents in the anilide part of the molecule show the following dependence with log K data: 4-Cl < 3-Cl < 4-Br < 4-CF3 < 3,4-Cl. When the experimental log K values of both series of salicylanilide derivatives 1a-i and 2a-i are compared with one another, it can be seen that series 1a-i possesses higher hydrophobicity than the acetylated series 2a-i. This is probably due to intramolecular interactions of the unsubstituted phenolic moiety with the carboxamide (-CONH-) bridge in individual compounds. Minimum differences could be observed among the pairs 1f/2f, 1g/2g, 1h/2h. All these compounds are substituted by a chlorine atom in the para position of the carboxamide moiety. The differences cannot be explained on the basis of the results presented here.
The prepared esters 2a-j exhibited antifungal activity against eight tested strains at concentrations ranging from from 31.25 to 0.49 µg/mL (Table 3). The highest activity of the tested compounds 2a-i was found against Trichophyton mentagrophytes. All the evaluated compounds showed higher activity than a fluconazole standard against Aspergillus fumigatus and Absidia corymbifera strains. Some compounds also possessed activity comparable to that of fluconazole against Candida krusei. The diacetylated salicylanilide 2j was the compound with the poorest activity (MIC ≤ 31.25) against all tested fungi and yeast strains. The hydrogen on the amidic nitrogen is evidently responsible for this effect.
Table 3.
In vitro antifungal activity of the compounds in comparison with standard fluconazole (FLU).
| Comp. | MIC [µg/mL] | |||||||
| CA | CT | CK | CG | TB | AF | AC | TM | |
| 24 h | 24 h | 24 h | 24 h | 24 h | 24 h | 24 h | 72 h | |
| 48 h | 48 h | 48 h | 48 h | 48 h | 48 h | 48 h | 120 h | |
| 2a | 31.25 | 31.25 | 7.81 | 62.5 | 15.63 | 7.81 | 7.81 | 0.98 |
| 250 | 250 | 62.5 | 500 | 500 | 7.81 | 7.81 | 0.98 | |
| 2b | 31.25 | 31.25 | 15.63 | 15.63 | 15.63 | 7.81 | 15.63 | 1.95 |
| 125 | 15.63 | 15.63 | 15.63 | 15.63 | 7.81 | 15.63 | 1.95 | |
| 2c | 7.81 | 7.81 | 3.91 | 15.63 | 7.81 | 7.81 | 7.81 | 0.98 |
| 15.63 | 7.81 | 3.91 | 15.63 | 7.81 | 7.81 | 7.18 | 0.98 | |
| 2d | 7.81 | 3.91 | 3.91 | 3.91 | 3.91 | 7.81 | 3.91 | 0.49 |
| 7.81 | 7.81 | 3.91 | 7.81 | 7.81 | 7.81 | 7.81 | 0.49 | |
| 2e | 31.25 | 31.25 | 31.25 | 31.25 | 62.5 | 7.81 | 250 | 0.98 |
| 62.50 | 62.50 | 31.25 | 250 | 250 | 31.25 | 250 | 0.98 | |
| 2f | 31.25 | 7.81 | 31.25 | 15.63 | 15.63 | 15.63 | 15.63 | 1.95 |
| 62.50 | 31.25 | 62.50 | 62.50 | 62.50 | 15.63 | 15.63 | 1.95 | |
| 2g | 15.63 | 15.63 | 7.81 | 15.63 | 3.91 | 15.63 | 7.81 | 0.89 |
| 31.25 | 31.25 | 7.91 | 15.63 | 7.81 | 15.63 | 15.63 | 0.98 | |
| 2h | 7.81 | 15.63 | 3.91 | 15.63 | 7.81 | 3.91 | 7.81 | 0.49 |
| 15.63 | 15.63 | 3.91 | 15.63 | 7.81 | 3.91 | 7.81 | 0.49 | |
| 2i | 3.91 | 15.63 | 1.95 | 3.91 | 7.81 | 15.63 | 7.81 | 0.98 |
| 7.81 | 31.25 | 3.91 | 3.91 | 31.25 | 62.50 | 7.81 | 0.98 | |
| 2j | ≤ 31.25 | 31.25 | 31.25 | 31.25 | ≤ 31.25 | ≤ 31.25 | ≤ 31.25 | ≤ 31.25 |
| 31.25 | 31.25 | 31.25 | 62.50 | ≤ 31.25 | ≤ 31.25 | ≤ 31.25 | ≤ 31.25 | |
| FLU | 0.06 | 0.12 | 3.91 | 0.98 | 0.24 | >125 | >125 | 1.95 |
| 0.12 | >125 | 15.62 | 3.91 | 0.48 | >125 | >125 | 3.91 | |
CA-Candida albicans ATCC 44859, CT-Candida tropicalis 156, CK-Candida krusei E28, CG- Candida glabrata 20/I, TB-Trichosporon beigelii 1188, AF-Aspergillus fumigatus 231, AC-Absidia corymbifera 272 and TM-Trichophyton mentagrophytes 445.
The dependence between the sum of in vitro antifungal activities against all the tested fungal strains and the logarithm of the retention factor (log K) of the studied compounds 2a-i is described in Figure 1. Generally, it could be assumed that an optimum lipophilicity (log K ranging from 0.40 to 0.50) corresponded with high antifungal activity − see compounds 2c, 2d, 2h, 2i. Bromine and especially a trifluoromethyl substituent on the anilide moiety are the most beneficial for high antifungal activity. 4-Chloro-2-[4-(trifluoromethyl)phenylcarbamoyl]phenyl acetate (2d), log K = 0.4637 showed the highest activities against all fungal strains tested.
Figure 1.
Dependence between the sum of in vitro antifungal activity against all the eight tested fungal strains {log (1/MIC [mol/mL])} and logarithm of the retention factor (log K) of the studied compounds 2a-i.
All prepared salicylanilide acetates 2a-j were evaluated for their in vitro antimycobacterial activity. Most compounds showed activity comparable with isoniazide (INH) against clinically isolated Mycobacterium kansasii 6500/96 and they have also shown very good activity against non tuberculous strains M. avium My 330/88 and M. kansasii My 235/80 while INH is inactive; for details see Table 4. N-Acetylation of the amidic nitrogen did not lead to a decrease of activity as was found in the case of the antifungal activity. Compound 2a, as in the antifungal evaluations, possessed the lowest antituberculotic activities against all tested Mycobacteria strains.
Chlorine substitution in the meta position of the acetylsalicylic nucleus (except 2a) shows a positive influence on antituberculotic activity, contrary to antifungal effects, which showed the opposite order. Substitution in the position C4´ or disubstitution in the C3´ and C4´ positions of the anilide moiety seems to be very important for high activity. The best activity against M. tuberculosis was shown by 4-chloro-2-(3,4-dichlorophenylcarbamoyl)phenyl acetate (2e) that also possesses the highest hydrophobicity. Similar dependence between lipophilicity/antimycobacterial activity against atypical strains can be found between lipophilicity/antifungal activity. 4-Chloro-2-[4-(trifluoromethyl)phenylcarbamoyl]phenyl acetate (2d) was found the most active against all atypical strains in concentration range 2-4 μg/mL. This compound also showed the best antifungal activity. Although the hydrophobicity seems to be one of the important parameters influencing biological activity, no direct dependence between antimycobacterial activities and lipophilicity of the discussed compounds was found. Cytotoxicity assessments made on human intestinal cells HCT-8, unfortunately, showed higher toxicity of the prepared salicylanilide acetates than the standard isoniazide.
Table 4.
In vitro antimycobacterial activity expressed as MIC [μmol/L] against M. tuberculosis and atypical strains M. kansasii and M. avium in comparison with standard isoniazide as well as cytotoxicity of the compounds on HCT-8 cells expressed as IC50 [μg/mL].
| Comp. | M. tuberculosis My 331/88 | M. avium My 330/88 | M. kansasii My 235/80 | M. kansasii My 6500/96 | Cytotoxicity IC50 [μg/mL] | ||||
| 14 d | 21 d | 14 d | 21 d | 14 d | 21 d | 14 d | 21 d | ||
| 2a | 8 | 8 | 16 | 16 | 8 | 8 | 8 | 16 | 9.82 |
| 2b | 2 | 2 | 8 | 8 | 4 | 8 | 4 | 4 | 5.19 |
| 2c | 2 | 2 | 8 | 8 | 4 | 8 | 4 | 8 | 60.60 |
| 2d | 4 | 4 | 4 | 4 | 2 | 2 | 2 | 4 | 12.60 |
| 2e | 1 | 1 | 8 | 8 | 4 | 4 | 4 | 4 | 0.82 |
| 2f | 4 | 4 | 8 | 16 | 8 | 8 | 8 | 8 | 7.25 |
| 2g | 4 | 4 | 8 | 8 | 8 | 16 | 8 | 16 | 7.74 |
| 2h | 4 | 4 | 8 | 8 | 2 | 4 | 4 | 4 | 0.27 |
| 2i | 2 | 2 | 8 | 8 | 4 | 4 | 4 | 4 | 1.18 |
| 2j | 4 | 4 | 8 | 8 | 4 | 8 | 4 | 8 | 1.23 |
| INH | 0.5 | 1 | >250 | >250 | >250 | >250 | 4 | 4 | >100 |
Conclusions
In summary, synthesis and biological evaluation of ten salicylanilide esters of acetic acid 2a-2j are described. All the target products were tested for their in vitro antifungal and antituberculotic activities. 4-Chloro-2-[4-(trifluoromethyl)phenylcarbamoyl]phenyl acetate (2d), log K = 0.4637, showed the highest in vitro activities against all eight fungal strains tested. The high activity shows continuity with the 4-trifluoromethyl substitution in the anilide part of the molecule and the optimum lipophilicity (log K) ranged from 0.40 to 0.50. The 4-trifluoromethyl substitution in the anilide moiety (compound 2d) also seems to be optimal for high activity against atypical strains of Mycobacteria. 4-Chloro-2-(3,4-dichlorophenylcarbamoyl)phenyl acetate (2e) possesses the highest activity against M. tuberculosis. This compound showed the highest lipophilicity in the discussed series, log K = 0.6053. N-Acetylation of the amidic nitrogen decreases antifungal activity, but does not affect antituberculotic activity. The lowest cytotoxicity was found for the compound 2c. All the most active compounds unfortunately showed relatively high cytotoxicity.
Experimental
General
The chemicals were purchased from Aldrich. Melting points (uncorrected) were determined on a Kofler block. Elemental analyses were performed on an automatic microanalyser CHNS-O CE instrument (FISONS EA 1110, Milano, Italy). Infrared spectra were recorded in Nicolet Impact 400 spectrometer in KBr pellets. NMR spectra were measured in CDCl3 solutions at ambient temperature on a Varian Mercury-VxBB 300 spectrometer (299.95 MHz for 1H and 75.43 MHz for 13C; Varian Comp., Palo Alto, CA, U.S.A.). The chemical shifts δ are given in ppm related to tetramethylsilane (TMS) as internal standard. The coupling constants (J) are reported in Hz. Mass spectra were measured on ABI/MSD SCIEX API 3000™ LC/MS/MS System (MSD SCIEX, Concord, ON, Canada). The reactions were monitored and the purity of the products was checked by TLC (Silufol UV 254, Kavalier Votice, Czech Republic and Merck TLC plates Silica gel 60 F254). The plates were visualized using UV light. Synthesis, physico-chemical data and analytical parameters of the discussed starting salicylanilide derivatives 1a-1j are described in ref [8].
HPLC determination of lipophilicity (capacity factor K / calculated log K)
A Waters Alliance 2695 XE HPLC separation module equipped with a Waters Photodiode Array Detector 2996 (Waters Corp., Milford, MA, U.S.A.) and a Symmetry® C18 5 μm, 4.6×250 mm column (Waters Corp., Milford, MA, U.S.A.) was used. The HPLC separation process was monitored using Waters Millennium32® Chromatography Manager Software (Waters Corp., Milford, MA, U.S.A.). A mixture of MeOH (p.a., 70 %) and H2O-HPLC–Mili-Q Grade (30.0 %) was used as a mobile phase. The total flow of the column was 1.0 mL/min, injection 30 μL, column temperature 45 °C and sample temperature 10 °C. The detection wavelength 210 nm was chosen. The KI methanolic solution was used for the dead time (TD) determination. Retention times (TR) were measured in minutes. The capacity factors K were calculated using the Millennium32® software according to the formula K = (TR-TD)/TD, where TR is the retention time of the solute, whereas TD denotes the dead time obtained via an unretained analyte. Log K, calculated from the capacity factor K, is used as the lipophilicity index converted to log P scale. The log K values of the individual compounds are shown in Table 1 and Table 2.
Lipophilicity calculations
Log P, i. e. the logarithm of the partition coefficient for n-octanol/water, was calculated using the programs CS ChemOffice Ultra ver. 7.0 (CambridgeSoft, Cambridge, MA, U.S.A.) and ACD/Log P ver. 1.0 (Advanced Chemistry Development Inc., Toronto, Canada). Clog P values (the logarithm of n-octanol/water partition coefficient based on established chemical interactions) were generated by means of CS ChemOffice Ultra ver. 7.0 (CambridgeSoft, Cambridge, MA, U.S.A.) software. The results are shown in Table 1 and Table 2.
Synthesis of salicylanilide acetates 2a-j
Method A: Substituted 2-hydroxybenzamide (5 mmol) was dissolved in dry N,N-dimethylformamide (25 mL). The solution was cooled to -10 °C and glacial acetic acid (5 mmol) was added via micropipette. N,N´-Dicyclohexylcarbodiimide (DCC, 5.5 mmol) was added in three portions during 1 h. The mixture was then stirred for 3 h at the same temperature and stored at 4 °C for 24 h. The precipitate of N,N´-dicyclohexylurea was removed by filtration and the solvent was evaporated under vacuum. The crude product was crystallized from ethyl acetate-hexane.
Method B: Substituted 2-hydroxybenzamide (5 mmol) was dissolved in sodium hydroxide solution (50 mmol in 80 mL distilled water). The solution was cooled in water-ice mixture and acetic anhydride (55 mmol) was added. The mixture was stirred for 30 min at the same temperature. The precipitate was collected by filtration, washed with cold distilled water and dried under vacuum at room temperature. The crude product was purified by crystallization from ethyl acetate-hexane.
4-Chloro-2-(3-chlorophenylcarbamoyl)phenyl acetate (2a). Yield 72 % (method A); mp 122-125 °C; Anal. Calc. for C15H11Cl2NO3 (324.16): 55.58% C, 3.42% H, 4.32% N; found 55.65% C, 3.77% H, 4.47% N; IR cm-1: 3280 (NH), 1765 (CO ester), 1655 (CONH); MS: 325.2 (M+); 1H-NMR δ: 8.14 (bs, 1H, NH), 7.79 (d, J = 2.75 Hz, 1H, H6), 7.74-7.72 (m 1H, H2´), 7.47 (dd, J = 8.79 Hz, J = 2.75 Hz, 1H, H4), 7.44-7.39 (m, 1H, H6´), 7.29 (t, J = 7.97 Hz, 1H, H5´), 7.18-7.12 (m, 1H, H4´), 7.12 (d overlapped, J = 8.79 Hz, 1H, H3), 2.34 (s, 3H, CH3); 13C-NMR δ: 169.0, 162.3, 146.2, 138.6, 134.7, 132.2, 132.1, 130.2, 129.7, 129.7, 125.0, 124.8, 120.0, 117.9, 21.0.
4-Chloro-2-(4-chlorophenylcarbamoyl)phenyl acetate (2b). Yield 56 % (method B); mp 151-154 °C (lit. [12] Mp 156-157 °C); Anal. Calc. for C15H11Cl2NO3 (324.16): 55.58% C, 3.42% H, 4.32% N; found 55.58% C, 3.67% H, 4.34% N; IR cm-1: 3293 (NH), 1762 (CO ester), 1653 (CONH); MS: 325.4 (M+); 1H-NMR (CDCl3), δ: 8.10 (bs, 1H, NH), 7.77 (d, J = 2.47 Hz, 1H, H6), 7.57-7.48 (m AA´BB´, 2H, H2´, H6´), 7.45 (dd, J = 8.79 Hz, J = 2.48 Hz, 1H, H4), 7.34-7.28 (m, AA´BB´, 2H, H3´, H5´), 7.10 (d, J = 8.79 Hz, 1H, H3), 2.32 (s, H3, CH3); 13C-NMR (CDCl3), δ: 169.0, 162.3, 146.1, 138.3, 136.0, 132.2, 132.1, 129.9, 129.7, 129.2, 124.8, 121.2, 21.0.
4-Chloro-2-(4-bromophenylcarbamoyl)phenyl acetate (2c). Yield 25% (method A); mp 159-162 °C (lit. [9] mp 159-160 °C); Anal. Calc. for C15H11BrClNO3 (368.61): 48.88% C, 3.01% H, 3.80% N; found 49.04% C, 3.31% H, 3.86% N; IR cm-1: 3273 (NH), 1759 (CO ester), 1652 (CONH). MS: 369.7 (M+); 1H-NMR δ: 8.08 (bs, 1H, NH), 7.77 (d, J = 2.47 Hz, 1H, H6), 7.48-7.43 (m, 5H, H2´, H3´, H5´, H6´), 7.10 (d, J = 8.79 Hz, 1H, H3), 2.32 (s, 3H, CH3); 13C-NMR δ: 169.0, 162.3, 146.1, 138.4, 136.5, 132.2, 129.9, 129.7, 129.2, 124.8, 121.5, 117.6, 21.0.
4-Chloro-2-[4-(trifluoromethyl)phenylcarbamoyl]phenyl acetate (2d). Yield 42% (method A); mp 169-171 °C; Anal. Calc. for C16H11ClF3NO3 (357.71): 53.72% C, 3.10% H, 3.92% N; found 53.67% C, 3.24% H, 3.82% N; IR cm-1: 3276 (NH), 1759 (CO ester), 1656 (CONH); MS: 358.5 (M+); 1H-NMR δ: 8.26 (bs, 1H, NH), 7.78 (d, J = 2.50 Hz, 1H, H6), 7.78-7.65 (m AA´BB´, 2H, H2´, H6´), 7.64-7.57 (m AA´BB´, 2H, H3´, H5´), 7.47 (dd, J = 8.50 Hz, J = 2.50 Hz, 1H, H4) 7.12 (d, J = 8.50 Hz, 1H, H3), 2.33 (s, 3H, CH3); 13C-NMR δ: 169.0, 162.5, 146.2, 140.4, 132.4, 132.2, 129.7, 129.5, 126.7, (q, J = 33.0 Hz), 126.4 (q, J = 4.0 Hz), 124.8, 123.9 (q, J = 271.7 Hz), 119.6, 21.0.
4-Chloro-2-(3,4-dichlorophenylcarbamoyl)phenyl acetate (2e). Yield 48% (method B); mp 134-136 °C; Anal. Calc. for C15H10Cl3NO3 (356.97): 50.24% C, 2.81% H, 3.91% N; found 50.26% C, 3.43% H, 3.79% N; IR cm-1: 3278 (NH), 1757 (CO ester), 1659 (CONH); MS: 358.0 (M+); 1H-NMR δ: 8.15 (bs, 1H, NH), 7.82-7.79 (m, 1H, H2´), 7.73 (d, J = 2.75 Hz, 1H, H6), 7.45 (dd, J = 8.79 Hz, J = 2.75 Hz, 1H, H4), 7.40-7.36 (m, 2H, H5´, H6´), 7.10 (d, J = 8.79 Hz, 1H, H3), 2.33 (s, 3H, CH3); 13C-NMR δ: 168.6, 162.7, 148.2, 137.8, 136.1, 130.8, 129.8, 129.2, 127.1, 126.9, 126.8, 124.3, 123.8, 121.2, 21.0.
5-Chloro-2-(3-chlorophenylcarbamoyl)phenyl acetate (2f). Yield 36% (method A); mp 97-99 °C; Anal. Calc. for C15H11Cl2NO3 (324.16): 55.58% C, 3.42% H, 4.32% N; found 55.92% C, 3.80% H, 4.53% N; IR cm-1: 3345 (NH), 1771 (CO ester), 1661 (CONH). MS: 325.2 (M+); 1H-NMR δ: 10 (bs, 1H, NH), 7.76 (d, J = 8.24 Hz, 1H, H6), 7.74-7.70 (m, 1H, 2H´), 7.42-7.37 (m, 1H, H6´), 7.32 (dd, J = 8.24 Hz, J = 1.92 Hz, 1H, H5), 7.27 (t, J = 8.10 Hz, 1H, H5´), 7.19 (d, J = 1.92 Hz, 1H, H3), 7.13 (ddd, J = 8.10 Hz, J = 1.92 Hz, J = 1.10 Hz, 1H, H4´), 2.34 (s, 3H, CH3); 13C-NMR δ: 168.6, 162.8, 148.2, 138.6, 137.9, 134.9, 130.9, 130.2, 126.9, 126.7, 124.9, 124.8, 120.0, 117.8, 21.0.
5-Chloro-2-(4-chlorophenylcarbamoyl)phenyl acetate (2g). Yield 56 % (method B); mp 135-136 °C; Anal. Calc. for C15H11Cl2NO3 (324.16): 55.58% C, 3.42% H, 4.32% N; found 55.92% C, 3.80% H, 4.53% N; IR cm-1: 3334 (NH), 1756 (CO ester), 1687 (CONH); MS: 325.1 (M+); 1H- NMR δ: 8.12 (bs, 1H, NH), 7.75(d, J = 8.25 Hz, 1H, H6), 7.57-7.48 (m AA´BB´, 2H, H2´, H6´), 7.60-7.27 (m, 3H, H5, H3´, H5´), 7.19 (d, J = 1.93 Hz, 1H, H3), 2.32 (s, 3H, CH3); 13C-NMR δ: 168.6, 162.7, 148.2, 137.8, 136.1, 130.8, 129.8, 129.2, 126.9, 126.8, 123.8, 121.2, 21.0.
5-Chloro-2-[4-(trifluoromethyl)phenylcarbamoyl]phenyl acetate (2h). Yield 48% (method B); mp 134-136 °C; Anal. Calc. for C16H11ClF3NO3 (357.04): 53.72% C, 3.10% H, 3.92% N; found 53.35% C, 3.50% H, 3.74% N; IR cm-1: 3352 (NH), 1771, (CO ester), 1668 (CONH); MS: 358.1 (M+); 1H-NMR δ: 8.22 (bs, 1H, NH), 7.79 (d, J = 1.93 Hz, 1H, H6), 7.73-7.68 (m AA´BB´, 2H, H2´, H6´), 7.64-7.59 (m AA´BB´, 2H, H3´, H5´), 7.34 (dd, J = 8.24 Hz, J = 1.92 Hz, 1H, H5), 7.21 (d, J = 1.92 Hz, 1H, H3), 2.34 (s, 3H, CH3); 13C-NMR δ: 168.6, 162.9, 148.2, 140.5, 138.1, 130.9, 127.0, 126.6, 126.5, 126.4, 126.3, 123.9, 119.5, 21.0.
5-Chloro-2-(3,4-dichlorophenylcarbamoyl)phenyl acetate (2i). Yield 31% (method A); mp 124-126 °C; Anal. Calc. for C15H10Cl3NO3 (356.97): 50.24% C, 2.81% H, 3.91% N; found 50.56% C, 3.19% H, 4.01% N; IR cm-1: 3386 (NH), 1779 (CO ester), 1661 (CONH); MS: 357.2 (M+); 1H-NMR δ: 8.10 (bs, 1H, NH), 7.83 (d, J = 1.93 Hz, 1H, H6), 7.75 (d, J = 8.38 Hz, 1H, H2´), 7.41-7.37 (m, 2H, H5´, H6´), 7.33 (dd, J = 8.38 Hz, J = 1.92 Hz, 1H, H4), 7.20 (d, J = 1.92 Hz, 1H, H3), 2.34 (s, 3H, CH3); 13C-NMR δ: 168.6, 162.8, 148.2, 138.1, 136.9, 133.0, 130.7, 129.2, 128.1, 127.0, 126.5, 123.9, 121.3, 119.1, 21.0.
2-[Acetyl(4-bromophenyl)carbamoyl]-4-chlorophenyl acetate (2j). N-(4-Bromophenyl)-5-chloro-2-hydroxybenzamide (5 mmol) was dissolved in chlorobenzene (15 mL) and acetyl chloride was added (20 mmol). The mixture was refluxed for 5 h, concentrated to dryness in vacuum evaporator. Crude product was purified by crystallization from ethyl acetate. Yield 45%; mp 114-116 °C; Anal. Calc. for C17H13BrClNO4 (410.65): 49.72% C, 3.19% H, 3.41%N; found 50.09% C, 3.55% H, 3.42% N; IR cm-1: 1754 (CO ester), 1728 (CONHCO), 1685 (CONH). MS: 411.7 (M+1+); 1H-NMR δ: 7.55-7.47 (m AA´BB´, 2H, H3´, H5´), 7.38-7.32 (m, 2H, H4, H6), 7.08-6.99 (m, 3H, H3, H2´, H6´), 2.39 (s, 3H, CH3), 2.3 (s, 3H, CH3); 13C-NMR δ: 172.5, 168.5, 167.6, 145.8, 136.9, 132.8, 131.8, 131.3, 130.1. 128.7, 126.2, 124.5, 122.9, 25.9, 20.9.
Antifungal evaluation
The broth microdilution test M27-A [13] was used for the assessment of in vitro antifungal activity of the synthesized compounds against Candida albicans ATCC 44859 (CA), Candida tropicalis 156 (CT), Candida krusei E28 (CK), Candida glabrata 20/I (CG), Trichosporon beigelii 1188 (TB), Aspergillus fumigatus 231 (AF), Absidia corymbifera 272 (AC) and Trichophyton mentagrophytes 445 (TM). Fluconazole was used as a reference drug. The procedure was performed with twofold dilution of the compounds in RPMI 1640 medium (Sevapharma, Prague, Czech Republic) buffered to pH 7.0 with 3-morpholinopropane-1-sulfonic acid (0.165 mol). Drug–free controls were included. The minimal inhibitory concentrations (MICs) were determined after 24 h and 48 h of static incubation at 35 °C. With T. mentagrophytes, the final MICs were determined after 72 h and 120 h of incubation. The results of all in vitro tested compounds are summarized in Table 3.
Antimycobacterial evaluation
In vitro antimycobacterial activity was evaluated against M. tuberculosis CNCTC My 331/88, Mycobacterium kansasii CNCTC My 235/80, M. kansasii 6509/96 and Mycobacterium avium CNCTC My 330/88. All strains were obtained from Czech National Collection of Type cultures (CNCTC), except M. kansasii 6509/96 which was clinical isolate. The antimycobacterial activities were determined in Sula semisynthetic medium (SEVAC, Prague, Czech Republic) at pH 6.0 and 37 °C. The compounds were added to medium as dimethyl sulphoxide solutions. The following concentrations were used: 250, 125, 62, 32, 16, 8, 4, 2 and 1 μmol/L. MIC values were determined after incubation at 37 °C for 7, 14 and 21 days. MIC was the lowest concentration of a substance at which the inhibition of the growth of mycobacteria occurred, see Table 4.
Cytotoxicity assay
The cytotoxic effect of the compounds was tested at concentrations equal to and higher than the MIC for M. tuberculosis by MTT assay [14] on human intestinal cell line HCT-8. The cells were grown in RPMI medium supplemented by 10% horse serum and 2 mM sodium pyruvate at 37 °C in a humidified atmosphere of 5% CO2. For the experiments, the cells were harvested with trypsin, resuspended in a fresh medium to a final concentration of 5×104 cells/mL and seeded in aliquots (100 µL) onto 96-well Nunclon® tissue culture plates (Nunc GmbH & Co. KG, Germany). The medium was removed after 72 hours of cell incubation and replaced by RPMI culture medium containing the tested compounds dissolved in DMSO (1%). In control wells, the cells were incubated in a medium containing DMSO without the tested compound (positive control for cell viability) and in the medium containing 5% DMSO (positive control for cytotoxic effect). The ability of the compounds to inhibit cellular growth was determined after 72 h by adding MTT solution (10 µL, 5.5 mg/mL, Sigma-Aldrich, USA) to each well. After incubation for 4 hours, the dark blue formasan crystal product was dissolved in lysis solution (10% SDS with 0.01 M HCl, 100 µL). The absorbance was read at 590 nm using multiplate spectrofluorimeter GENios PlusTM (Tecan, Switzerland). Each concentration of the compounds was tested in triplicates; the assays were repeated three times in separate experiments.
Acknowledgements
The work was supported by the research project MSM0021620822 of the Ministry of Education of the Czech Republic.
References
- Vinsova, J.; Imramovsky, A. Salicylanilides: Still a Topical Potential Antibacterially active Group. Ces. Slov. Farm. 2004, 53, 294–299. [Google Scholar]
- Hassan, G. S.; Hegazy, G. H.; Safwat, H. M. Synthesis of Furo-salicylanilides and Their Heterocyclic Derivatives with Anticipated Molluscicidal Activity. Arch. Pharm. Chem. Life Sci. 2006, 339, 448–455. [Google Scholar] [CrossRef]
- Deng, W.; Guo, Z.; Guo, Y.; Feng, Z.; Jiang, Y.; Chu, F. Acryolylamino-salicylanilides as EGFR PTK inhibitors. Bioorg. Med. Chem. Lett. 2006, 16, 469–472. [Google Scholar]
- Liechti, Ch.; Séquin, U.; Bold, G.; Furet, P.; Meyer, T.; Traxler, P. Salicylanilides as inhibitors of the protein tyrosine kinase epidermal growth factor receptor. Eur. J. Med. Chem. 2004, 39, 11–26. [Google Scholar] [CrossRef] [PubMed]
- Hlasta, D. J.; Demers, J. P.; Foleno, B. D.; Fraga-Spano, S. A.; Guan, J.; Hilliard, J. J.; Macielag, M. J.; Ohemeng, K. A.; Sheppard, C. M.; Sui, Z.; Webb, G. C.; Weidner-Wells, M. A.; Barret, J. F. Novel inhibitors of bacterial two-component systems with gram positive antibacterial activity: Pharmacophore identification based on the screening hit closantel. Bioorg. Med. Chem. Lett. 1998, 8, 1923–1928. [Google Scholar] [CrossRef] [PubMed]
- Macielag, M. J.; Demers, J. P.; Fraga-Spano, S. A.; Hlasta, D. J.; Johnson, S. G.; Kanojia, R. M.; Russell, R. K.; Sui, Z.; Weidner-Wells, M. A.; Werblood, H.; Foleno, B. D.; Goldschmidt, R. M.; Loeloff, M. J.; Webb, G.C.; Barrett, J. F. Substituted Salicylanilides as Inhibitors of Two-Component Regulatory Systems in Bacteria. J. Med. Chem. 1998, 41, 2939–2945. [Google Scholar]
- Imramovsky, A.; Vinsova, J.; Ferriz, J. M.; Kunes, J.; Pour, M.; Dolezal, M. Salicylanilide esterification: unexpected formation of novel seven-membered rings. Tetrahedron Lett. 2006, 47, 5007–5511. [Google Scholar]
- Waisser, K.; Hladuvkova, J.; Kunes, J.; Kubicova, L.; Klimesova, V.; Karajannis, P.; Kaustova, J. Synthesis and antimycobacterial activity of salicylanilides substituted in position 5. Chem. Pap. 2001, 55, 121–129. [Google Scholar]
- Dolezal, M.; Palek, L.; Vinsova, J.; Buchta, V.; Jampilek, J.; Kralova, K. Substituted Pyrazinecarboxamides: Synthesis and Biological Evaluation. Molecules 2006, 11, 242–256. [Google Scholar] [CrossRef] [PubMed]
- Musiol, R.; Jampilek, J.; Buchta, V.; Silva, L.; Niedbala, H.; Podeszwa, B.; Palka, A.; Majerz-Maniecka, K.; Oleksyn, B.; Polanski, J. Antifungal properties of new series of quinoline derivatives. Bioorg. Med. Chem. 2006, 14, 3592–3598. [Google Scholar] [CrossRef] [PubMed]
- Vinsova, J.; Cermakova, K.; Tomeckova, A.; Ceckova, M.; Buchta, V.; Jampilek, J.; Cermak, P.; Kunes, J.; Dolezal, M.; Staud, F. Synthesis and antimicrobial evaluation of new 2-substituted 5,7-di-tert-butylbenzoxazoles. Bioorg. Med. Chem. 2006, 14, 5850–5865. [Google Scholar] [CrossRef] [PubMed]
- Ciampa, G.; Tricko, C. Rend. Accad. Sci. Fis. Naples 1966, 33, 385, [Chem. Abstr. 1968, 68, 95469].
- National Committee for Clinical Laboratory Standards. Reference method for broth dilution antifungal susceptibility testing of yeast: Approved Standard, NCCLS document, M27-A; NCCLS: Villanova, PA, U.S.A, 1997. [Google Scholar]
- Mosmann, T. Rapid colorimetric assay for cellular growth and survival – Application to proliferation and cyto-toxicity assays. J. Immunol. Meth. 1983, 65, 55–63. [Google Scholar] [CrossRef]
- Sample Availability: Contact the authors.
© 2007 by MDPI (http://www.mdpi.org). Reproduction is permitted for noncommercial purposes.

