Synthesis of New Unsymmetrical 4,5-Dihydroxy-2-imidazolidinones. Dynamic NMR Spectroscopic Study of the Prototropic Tautomerism in 1-(2-Benzimidazolyl)-3-phenyl-4,5-dihydroxy-2-imidazolidinone
Abstract
:Introduction

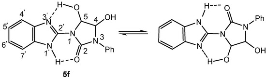
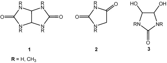
Results and Discussion

| Entry | Ar | Time/h | Mp °C | Yield % | Elemental Analysis (%) Calcd. (Found) | ||
|---|---|---|---|---|---|---|---|
| C | H | N | |||||
| 5a | ![]() | 3 | 160-162 | 70 | 51.98 (51.76) | 3.97 (4.02) | 15.16 (14.96) |
| 5b | ![]() | 10 | 204-206 | 90 | 57.35 (57.17) | 4.41 (4.45) | 20.58 (20.43) |
| 5c | ![]() | 8 | 164-166 | 80 | 57.35 (57.23) | 4.41 (4.38) | 20.58 (20.51) |
| 5d | ![]() | 0.5 | 124-126 | 85 | 61.99 (61.78) | 4.79 (4.90) | 15.49 (15.38) |
| 5e | ![]() | 5 | 173-175 | 75 | 61.99 (61.94) | 4.79 (4.83) | 15.49 (15.42) |
| 5f | ![]() | 4 | 226-228 | 65 | 61.93 (61.90) | 4.51 (4.60) | 18.06 (17.95) |


Conclusions
Experimental
General
General procedure for the synthesis of 1-heteroaryl-3-phenyl-4,5-dihydroxy-2-imidazolidinones 5a-f.
Acknowledgements
References and Notes
- Nematollahi, J.; Ketcham, R.; Imidazoimidazoles, I. The reaction of ureas with glyoxal. Tetrahydroimidazo[4,5-d]imidazole-2,5-diones. J. Org. Chem. 1963, 28, 2378–2380. [Google Scholar] [CrossRef]
- Vail, S. L.; Moran, C. M.; Moore, H. B.; Kullman, R. M. H. Amide-glyoxal reaction products. J. Org. Chem. 1962, 27, 2071–2074. [Google Scholar]
- Ghandi, M.; Salimi, F.; Olyaei, A. One-pot stereoselective synthesis of trans-4,5-dialkoxy-1,3-bis(2-pyrimidinyl)imidazolidines through a three-component reaction. J. Heterocyclic Chem. 2006, 43, 791–794. [Google Scholar] [CrossRef]
- Katritzky, A. R.; Suzuki, K.; He, H.-Y. Convenient syntheses of unsymmetrical imidazolidines. J. Org. Chem. 2002, 67, 3109–3114. [Google Scholar] [CrossRef]
- Larter, M. L.; Phillips, M.; Ortega, F.; Aguirre, G.; Somanathan, R.; Walsh, P. J. Synthesis of racemic cis and trans 2,4,5-tripyridylimidazolines. Tetrahedron Lett. 1998, 39, 4785–4788. [Google Scholar] [CrossRef]
- Alexakis, A.; Tranchier, J.-P.; Lensen, N.; Mangeney, P. Monoaminals of glyoxal: Versatile chirons. J. Am. Chem. Soc. 1995, 117, 10767–10768. [Google Scholar] [CrossRef]
- Gilbert, E. E. Tetramido derivatives of glyoxal. J. Chem. Eng. Data 1974, 19, 182–183. [Google Scholar] [CrossRef]
- Koppes, W. M.; Chaykovsky, M.; Adolph, H. G.; Gilardi, R.; George, C. Synthesis and structure of some peri-substituted 2,4,6,8-tetraazabicyclo[3.3.0]octanes. J. Org. Chem. 1987, 52, 1113–1119. [Google Scholar] [CrossRef]
- Frick, J. G., Jr.; Harper, R. J., Jr. Reaction of dimethylurea and glyoxal. Ind. Eng. Chem. Prod. Res. Dev. 1982, 21, 599–600. [Google Scholar] [CrossRef]
- Ghandi, M.; Olyaei, A.; Salimi, F. Four-component cyclocondensation of aminodiazines, glyoxal, formaldehyde and methanol to imidazolidines. Synth. Commun. 2006, 37. in press. [Google Scholar]
- Slezak, F. B.; Bluestone, H.; Magee, T. A.; Wotiz, J. H. Preparation of substituted glycolurils and their N-chlorinated derivatives. J. Org. Chem. 1962, 27, 2181–1283. [Google Scholar] [CrossRef]
- Dunnavant, W. R.; James, F. L. Molecular rearrangements. I. The base-catalyzed condensation of benzil with urea. J. Am. Chem. Soc. 1956, 78, 2740–2743. [Google Scholar] [CrossRef]
- Vail, S. L.; Barker, R. H.; Mennitt, P. G. Formation and identification of cis- and trans-dihydroxyimidazolidinones from ureas and glyoxal. J. Org. Chem. 1965, 30, 2179–2182. [Google Scholar] [CrossRef]
- Wright, W. B., Jr.; Brabander, H. J.; Hardy, R. A., Jr.; Osterberg, A. C. Central nervous system depressant. I. 1-Aminoalkyl-3-aryl derivatives of 2-imidazolidinone, 1a-c 2-imidazolidinethione and tetrahydro-2(1H)-pyrimidinone1d. J. Med. Chem. 1966, 9, 852–857. [Google Scholar] [CrossRef]
- Lien, E. J.; Hussain, M.; Golden, M. P. Structure-activity correlations for the central nervous system depressant 2-imidazolidinones. J. Med. Chem. 1970, 13, 623–626. [Google Scholar] [CrossRef]
- Smissman, E. E.; Inloes, R. L.; El-Antably, S.; Shaffer, P. J. Specificity in enzyme inhibition. 3. Synthesis of 5-substituted 2,2-dimethyl-4-imidazolidinones as inhibitors of tyrosine decarboxylase and histidine decarboxylase. J. Med. Chem. 1976, 19, 161–163. [Google Scholar] [CrossRef]
- Beachem, M. T. Novel imidazolidinones and their use as textile finishing agents. U.S. Patent 3,260,565, 1966. [Google Scholar]
- Dyre, E.; Gluntz, M. L.; Tanck, E. J. Carbamates and ureas derived from amino- and oxo-pyrimidines. J. Org. Chem. 1962, 27, 982–985. [Google Scholar] [CrossRef]
- Browne, E. J.; Polya, J. B. Preparation of amides derived from heterocyclic amines. J. Chem. Soc. C 1968, 2904–2908. [Google Scholar] [CrossRef]
- Novikov, E. G.; Tugarinova, I. N. The reaction of 3- and 4-aminopyridines with isocyanates and isothiocyanates. Khim. Geterotsikl. Soedin. 1968, 281–283. [Google Scholar]
- Kaufmann, H. P.; Schulz, P. IX. Benzothiazolylureas. Arch. Pharm. 1935, 273, 31–52. [Google Scholar] [CrossRef]
- For reviews, see, e.g.: (a)Grimmett, M. R. Comprehensive Heterocyclic Chemistry II; Katritzky, A. R., Rees, C. W., Scriven, E. F. V., Eds.; Pergamon Press: Oxford, U. K., 1996; Volume 3, p. 77. [Google Scholar](b)Rauhut, G. Advances in Heterocyclic Chemistry; Katritzky, A. R., Ed.; Academic Press: San Diego, CA, 2001; Volume 81, p. 1. [Google Scholar]
- Gunther, H. NMR Spectroscopy, 2nd ed.; Wiley: New York, 1995; Chapter 9. [Google Scholar]
- Anet, F. A. L.; Anet, R. Dynamic Nuclear Magnetic Resonance Spectroscopy; Cotton, F. A., Jackman, L. M., Eds.; Academic: New York, 1975; pp. 543–619. [Google Scholar]
- Sample Availability: Samples of compounds 5a-f are available from the authors.
© 2006 by MDPI (http://www.mdpi.org). Reproduction is permitted for noncommercial purposes.
Share and Cite
Ghandi, M.; Olyaei, A.; Salimi, F. Synthesis of New Unsymmetrical 4,5-Dihydroxy-2-imidazolidinones. Dynamic NMR Spectroscopic Study of the Prototropic Tautomerism in 1-(2-Benzimidazolyl)-3-phenyl-4,5-dihydroxy-2-imidazolidinone. Molecules 2006, 11, 768-775. https://doi.org/10.3390/11100768
Ghandi M, Olyaei A, Salimi F. Synthesis of New Unsymmetrical 4,5-Dihydroxy-2-imidazolidinones. Dynamic NMR Spectroscopic Study of the Prototropic Tautomerism in 1-(2-Benzimidazolyl)-3-phenyl-4,5-dihydroxy-2-imidazolidinone. Molecules. 2006; 11(10):768-775. https://doi.org/10.3390/11100768
Chicago/Turabian StyleGhandi, Mehdi, Abolfazl Olyaei, and Farshid Salimi. 2006. "Synthesis of New Unsymmetrical 4,5-Dihydroxy-2-imidazolidinones. Dynamic NMR Spectroscopic Study of the Prototropic Tautomerism in 1-(2-Benzimidazolyl)-3-phenyl-4,5-dihydroxy-2-imidazolidinone" Molecules 11, no. 10: 768-775. https://doi.org/10.3390/11100768
APA StyleGhandi, M., Olyaei, A., & Salimi, F. (2006). Synthesis of New Unsymmetrical 4,5-Dihydroxy-2-imidazolidinones. Dynamic NMR Spectroscopic Study of the Prototropic Tautomerism in 1-(2-Benzimidazolyl)-3-phenyl-4,5-dihydroxy-2-imidazolidinone. Molecules, 11(10), 768-775. https://doi.org/10.3390/11100768






