Next Article in Journal / Special Issue
Syntheses, Characterization and Study of the Use of Cobalt (II) Schiff–Base Complexes as Catalysts for the Oxidation of Styrene by Molecular Oxygen
Previous Article in Journal / Special Issue
An Electron Transfer Approach to the Preparation of Highly Functionalized Anthraquinones
 
 
Font Type:
Arial Georgia Verdana
Font Size:
Aa Aa Aa
Line Spacing:
Column Width:
Background:
Article

Synthesis of Analogs of Amathamide A and Their Preliminary Antimicrobial Activity

1
Centro de Graduados e Investigación, Instituto Tecnológico de Tijuana, México
2
Escuela Nacional de Ciencias Biológicas, Instituto Politécnico Nacional, México
3
Instituto de Ciencia de Materiales de Barcelona (CSIC), Spain
*
Author to whom correspondence should be addressed.
Molecules 2005, 10(1), 295-301; https://doi.org/10.3390/10010295
Submission received: 20 August 2004 / Revised: 6 January 2005 / Accepted: 7 January 2005 / Published: 31 January 2005
(This article belongs to the Special Issue Hypervalent Iodine)

Abstract

:
Syntheses of three non-brominated analogs of amathamide A (1), a natural alkaloid isolated from the Tasmanian marine bryozoan Amathia wilsoni, are described. Antimicrobial activity against Bacillus subtilis, Staphylococcus aureus, Escherichia coli, Pseudomona aeruginosa, and Candida albicans was tested. Test results for amathamide A (1) showed a weak activity against C. albicans and E. coli. The three non-natural analogs 2-4 proved to be inactive compounds.

Introduction

Amathamide A (1) is a brominated alkaloid isolated from the Tasmanian bryozoan Amathia wilsoni Kirkpatrick [1,2]. Biological activity of this type of enamide alkaloids has not been well studied, and only nematocidal, antifungal, and antibacterial activitity has been described for amathamides A (1), B, G, H, and I, isolated from A. wilsoni and A. convolute species [3]. Our previous work relating to the synthesis of two natural amathamides (A and B) [4] prompted us to investigate the synthesis and biological evaluation of analogs of this type of alkaloid. Therefore, we selected amathamide A (1) as a lead compound and we carried out the synthesis of three non-brominated analogs 2-4, maintaining the N-methyl or substituting it by a single hydrogen or t-butylcarbamate (Figure 1). Antimicrobial activity was then determined against two Gram-positive bacteria (B. subtilis and S. aureus), two Gram-negative bacteria (E. coli and P. aeruginosa) and a yeast (C. albicans).
Figure 1.
Figure 1.
Molecules 10 00295 g001

Results and Discussion

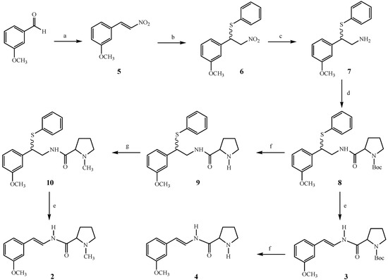
Amathamide A (1) was synthesized as previously reported [4]. For the three non-natural analogs, the synthetic route was modified as shown in Scheme 1. m-Anisaldehyde was condensed with nitromethane in 81 % yield in the presence of ammonium acetate and then thiophenol was incorporated via Michael addition with a catalytic amount of N-isopropylcyclohexylamine to obtain the product 6 in 90 % yield. Nitro group reduction was achieved in 45% yield in the conventional manner [5] using Zn in AcOH/HCl. Acylation of the amine with (S)-N-t-butoxycarbonylproline in presence of DCC/HOBt gave 8 in 20 % yield. Removal of the Boc (t-butoxycarbonyl) protective group from compound 8 affords 9 in very good yield and acylation of the latter with formaldehyde and reduction with NaBH3CN afford 10 (80 % yield). Elimination of thiophenol of 10 via oxidation with NaIO4 to the sulfoxide and refluxing in toluene/K2CO3, gave the non-brominated analogue 2. On the other hand, elimination of thiophenol from 8 led to analogue 3, and removal of Boc afforded 4. In this manner, we obtained the three non-natural analogs of amathamide A (1).
The preliminary antimicrobial activity of amathamide A (1) and the three non-natural analogs 2-4 was determined against the Gram-positive bacteria S. aureus and B. subtuilis, the Gram-negative bacteria E. coli and P. aeruginosa and the yeast C. albicans by using the agar dilution-streak assay (Mitscher method) [6]. Only compound 1 was active in the bioassay at the final concentration of 200 μg/mL. Minimal inhibitory concentrations (MIC) for 1 were determined [7,8]. The MICs of 1 for C. albicans and E. coli were weak, and less active (MICs greater than 128 μg/mL) for P. aeruginosa, S. aureus, and B. subtilis (Table 1).
Scheme 1.
Scheme 1.
Molecules 10 00295 g002
(a) CH3NO2, AcOH, AcONH4; (b) PhSH; (c) Zn, HCl, AcOH; (d) DCC/HOBt, DMAP, (S)-N-t-butoxycarbonylproline; (e) NaIO4, MeOH; Toluene, K2CO3, reflux. (f) HF, reflux (g) H2CO, NaBH3CN.
Table 1. Minimal Inhibitory Concentration (MIC) of 1, Nystatin and Streptomycin toward Pathogenic Bacteria and yeast.
Table 1. Minimal Inhibitory Concentration (MIC) of 1, Nystatin and Streptomycin toward Pathogenic Bacteria and yeast.
Pathogen1aNystatinaStreptomycina
C. albicans142.810.0-
E. coli71.4-10.0
P. aeruginosa71.4-0.5
S. aureus142.8-1.6
B. subtilis142.8-3.1
aResults are means of two determinations and are expressed as μg/mL

Conclusions

The non-brominated analogues of amathamides obtained following a simpler synthetic route proved to be inactive compounds. Thus, we conclude that the presence of bromine on the aryl ring contributes to the antimicrobial activity of amathamide A (1). According to Narkowicz et al. [3], the E orientation of the double bond of amathamide A (1) conferred the highest biological activity compared with the less constrained saturated version, as in amathamide I, or the Z orientation of the double bond as in amathamide B. This information leaves only the possibility of altering the acyl group and/or substitution on the amide nitrogen in an effort to obtain analogues with enhanced antimicrobial activity for further biological testing. The effect of other aryl substituents could also be explored.

Experimental

General

Melting points were determined on a Fisher-Johns melting point apparatus and are uncorrected. (IR) spectra were taken on a Perkin Elmer FT-IR 1600 spectrometer. 1H- (200 MHz) and 13C-NMR (75 MHz) spectra were recorded on a Bruker Avance DPX-300 MHz spectrometer. Spectra were run in CDCl3 with tetramethylsilane (TMS) used as internal standard. The EIMS data was obtained on a Finnigan MAT-90 instrument and all experiments were performed in the electron-impact mode (EI) at 70 eV using a direct insertion probe.
(E)-3-Methoxy-β-nitrostyrene (5): To a solution of m-anisaldehyde (73.4 mmol, 10.0 g) in glacial AcOH (120 mL) was added AcONH4 (2.71 g) and nitromethane (13.1 mL). The solution was heated under reflux for 1 h. The mixture was cooled and the precipitate was washed with water and recrystalized from AcOH/H2O to give a yellowish solid (10.6 g, 81%); mp 88-89° C; IR (KBr): 3108, 1636, 1577, 1511 cm-1; 1H-NMR: δ 7.97 (d, J = 14.0 Hz), 7.56 (d, J = 14.0 Hz), 7.41-7.02 (m, 4H), 3.85 (s, 3H, OCH3).
2-(3-Methoxyphenyl)-2-(thiophenyl)-1-nitroethane (6): Compound 5 (22.3 mmol, 4.0 g) was dissolved in CH2Cl2 (100 mL) and was added thiophenol (22.9 mmol, 2.6 mL) and 0.5 mL of N-isopropylcyclo-hexylamine. The resulting solution was stirred for 1 h. at rt. The solution was concentrated and subjected to flash chromatography using hexane/CH2Cl2 (80:20). Removal of the solvent gave a brownish oil (5.8 g, 90%). IR (film): 3057, 2957, 1599, 1554, 1262 cm-1; 1H-NMR: δ 7.45-7.22 (m, 6H), 6.85-6.79 (m, 3H), 4.83-4.60 (m, 3H), 3.75 (s, 3H, OCH3).
2-(3-Methoxyphenyl)-2-(thiophenyl)-1-aminoethane (7): Compound 6 (17.3 mmol, 5.0 g) was dissolved in AcOH (46 mL) and Zn powder (172.4 mmol, 11.3 g) was added. Then conc. HCl (37 mL) was added dropwise and the solution was stirred overnight at rt. The solution was neutralized with 2 N NH4OH. The residue was extracted into ethyl acetate (2 × 100 mL) and the solvent was removed under reduced pressure to give a yellowish green oil (2.0 g, 45%); IR (film): 3372, 3057, 2936, 1587, 1483, 1261, 1044, 694 cm-1; 1H-NMR: δ 7.4-7.18 (m, 6H), 6.96-6.70 (m, 3H), 4.12 (t, J = 8 Hz), 3.77 (s, 3H, OCH3), 3.20-3.00 (m, 2H), 2.00-1.40 (bs, 2H, NH2).
2(S)-N-[2(3-Methoxyphenyl)-2-(thiophenyl)ethanyl]-1-t-butoxycarbonylproline (8): To a solution of (S)-N-t-butoxycarbonylproline (19.5 mmol, 4.1 g) in dry THF (100 mL) was added dicyclohexyl-carbodiimide (19.5 mmol, 4.0 g), 1-hydroxybenzotriazole (19.5 mmol, 2.6 g) and 4-N,N-dimethyl-aminopyridine in catalytic amounts. A solution of 7 (19.5 mmol, 5.05 g) in dry THF (20 mL) was added and the suspension was stirred for 24 h, filtered and the solvent was removed in vacuo. The residue was purified by flash chromatography using CH2Cl2/MeOH (95:5). Removal of the solvent gave a brownish oil (1.8 g, 20%); IR (film): 3313, 3056, 2974, 1697 cm-1; 1H-NMR: δ 7.50-7.20 (m, 6H), 6.90-6.76 (m, 3H), 4.50-4.30 (m, 1H), 4.30-4.10 (m, 1H), 3.75 (s, 3H, OCH3), 3.90-3.50 (m, 2H), 3.50-3.20 (m, 2H), 2.40-1.60 (m, 4H), 1.39 (s, 9H, boc); 13C-NMR: δ 159.6, 140.7, 133.7, 132.2, 129.5, 128.8, 127.3, 127.2, 120.0, 113.3, 113.2, 113.1, 80.3, 55.1, 52.3, 46.9, 43.8, 43.6, 28.3: IEMS, m/z: M+ 456 (nd), [M-PhSH]+ 346 (23), 198 (3), 149 (62), 132 (2), 70 (100), 57 (33).
2(S)-N-[2(3-Methoxyphenyl)-2-(thiophenyl)ethanyl]-2-pyrrolinecarboxamide (9): Compound 8 (4.38 mmol, 2.0 g) was dissolved in acetonitrile (30 mL) and HF (50%, 0.7 mL) was added and the mixture heated overnight under reflux with magnetic stirring. The mixture was cooled and the solvent was removed in vacuo. The residue was treated with K2CO3 (50%, 20 mL) and extracted with dichloromethane (2 × 20 mL). The organic layer was dried over anhydrous sodium sulfate and concentrated to give 9 (1.51 g, 97%). Compound 9 was used in the next step without further purification. IR (film): 3322, 3054, 2960, 1665 cm-1.
2(S)-N-[2(3-Methoxyphenyl)-2-(thiophenyl)ethanyl]-1-methyl-2-pyrrolinecarboxamide (10): 9 (4.24 mmol, 1.5 g) was dissolved in acetonitrile (14 mL) and formaldehyde (37%, 2.3 mL) and sodium cyanoborohydride (9.19 mmol, 0.6 g) were added and the solution was stirred for 2 h. at rt. The solution was neutralized with AcOH and stirring was continued for 2 h. The solvent was removed under vacuum and the residue was washed with water and extracted with CH2Cl2 (2 × 15 mL). The organic layer was dried over anhydrous sodium sulfate and concentrated to give a brownish oil of the title compound as a mixture of diastereomers (1.2 g, 80%). IR (film): 3328, 3056, 2942, 1663, 1261 cm-1; 1H-NMR: δ 7.56 (bs, 2H, N-H), 7.38-7.160 (m, 12H), 6.88-6.75 (m, 6H), 4.42-4.32 (m, 2H), 3.87-3.55 (m, 4H), 3.76 (s, 6H, OCH3), 3.00-2.93 (m, 2H), 2.80 (dd, J =10.0, 4.0 Hz, 2H), 2.32-2.00 (m, 4H), 2.22 (s, 3H, NCH3), 2.15 (s, 3H, NCH3), 1.50-1.80 (m, 6H); 13C-NMR: δ 174.9, 174.8, 159.8, 141.0, 141.0, 134.1, 132.1, 132.1, 129.9, 129.6, 129.1, 128.9, 127.5, 127.4, 127.3, 120.4, 120.3, 113.4, 113.4, 113.4, 113.3, 68.8, 56.6, 56.5, 55.2, 52.2, 43.6, 43.5, 41.6, 41.5, 31.0, 30.9, 24.22.
2(S)-N-[(E)-2(3-Methoxyphenyl)ethanyl]-1-methyl-2-pyrrolinecarboxamide (2): To a solution of 10 (1.7 mmol, 0.6 g) in methanol (10 mL) was added a solution of sodium periodate (1.9 mmol, 0.4 g) in water (10 mL) and the resulting mixture heated under reflux for 1.5 h. The methanol was removed in vacuo and the aqueous residue was extracted with dichloromethane (2 × 20 mL). The organic layer was dried over anhydrous sodium sulfate and concentrated to give sulfoxide as a brownish oil (0.57 g, 70%). The crude product was then used in the next step without purification. The sulfoxide (1.20 mmol, 0.465 g) was dissolved in toluene (30 mL), sodium carbonate was added (166 mg) and the mixture heated under reflux for 2 h. The solvent was removed under vacuum and the residue was purified by circular chromatography using CH2Cl2/MeOH (95:5). Removal of the solvent gave a brownish oil (0.16 g, 35%). IR (film): 3286, 2942, 1681, 1650, 1504, 1262 cm-1; 1H-NMR: δ 9.21 (d, J = 10.8 Hz, 1H, N-H), 7.40 (dd, J = 14.0, 12.0 Hz, 1H), 7.20 (t, J = 8.0 Hz, 1H), 6.94-6.85 (m, 2H), 6.73 (ddd, J = 8.2, 2.6, 0.8 Hz, 1H), 6.17 (d, J = 14.0 Hz, 1H), 3.81 (s, 3H, OCH3), 3.24-3.17 (m, 1H), 3.07 (dd, J = 9.8, 4.8 Hz, 1H), 2.42 (s, 3H, NCH3), 2.50-2.20 (m, 2H), 2.00-1.7 0 (m, 3H); 13C-NMR: δ 172.2, 159.9, 137.7, 129.6, 122.5, 118.4, 113.3, 112.5, 110.6, 68.7, 56.7, 55.2, 41.9, 31.0, 24.5; IEMS, m/z: M+ 260 (26), 132 (15), 112 (18), 70 (100).
2(S)-N-[(E)-2(3-Methoxyphenyl)ethanyl]-1-t-butoxycarbonyl-2-pyrrolinecarboxamide (3): Compound 3 was synthesized from 8 (2.2 mmol, 1.0 g) using the same procedure described for amide 2. Compound 3 was obtained as a white solid (0.30 g, 30%); IR (KBr): 3283, 2974, 1695, 1653, 1400, 1257, 1161, 774 cm-1; 1H-NMR: δ 9.28 (bs, 1H, N-H), 7.46 (dd, J = 14.6, 10.8 Hz, 1H), 7.19 (t, J = 7.8 Hz, 1H), 6.90 (d, J = 7.8, 1H), 6.85 (d, J = 2.4, 1H), 6.73 (dd, J = 8.2, 2.4 Hz, 1H), 6.08 (d, J = 14.6 Hz, 1H), 4.42-4.22 (m, 1H), 3.77 (s, 3H, OCH3), 3.56-3.2 (m, 2H), 2.60-1.80 (m, 4H), 1.49 (s, 9H); IEMS, m/z M+ 346 (23), 245 (1), 198 (2), 149 (42), 132 (6), 70 (100), 57 (33).
2(S)-N-[(E)-2(3-Methoxyphenyl)ethanyl]-2-pyrrolinecarboxamide (4): Compound 4 was obtained from 3 (0.6 mmol, 0.2 g) as a brownish oil (0.13 g, 90%) using the same procedure described for amide 9. IR (film) 3272, 3062, 2956, 1679, 1649, 1528, 1260, 1043, 692 cm-1; 1H-NMR: δ 9.58 (d, J = 10.6 Hz, 1H, N-H), 7.44 (dd, J = 15.0, 11.3 Hz, 1H), 7.19 (t, J = 8.0 Hz, 1H), 6.91 (d, J = 7.8, 1H), 6.87 (d, J = 2.0 Hz, 1H), 6.72 (ddd, J = 8.0, 2.4, 0.8 Hz, 1H), 6.16 (d, J = 15 Hz, 1H), 3.91-3.75 (m, 1H), 3.80 (s, 3H, OCH3), 3.10-2.90 (m, 2H), 2.65-2.3 (bs, 1H, NH), 2.26-2.15 (m, 1H), 2.06-1.90 (m, 1H), 1.81-1.71 (m, 2H); 13C-NMR: δ 172.9, 160.0, 138.0, 129.8, 122.6, 118.5, 113.5, 112.6, 110.7, 60.5, 55.4, 47.5, 30.9, 26.4; IEMS m/z M+ 246 (25), 149 (16), 132 (3), 70 (100).

Bioassay Evaluation Procedures.

Antimicrobial activity against Gram-positive bacteria Staphylococcus aureus ATCC 6538 and Bacillus subtilis ATCC 6633, Gram-negative bacteria Escherichia coli ATCC 8739 and Pseudomona aeruginosa ATCC 9027, and yeast Candida albicans ATCC 10231 was determined by the agar Mitscher method as previously described [5]. Test samples were dissolved (2 mg/mL) in 10 mL nutrient agar medium No. 1 (Merck) for bacterial cultures and Sabouraud agar (Merck) supplemented with glucose (4 %) for yeast, and added aseptically to each Petri dish and swirled carefully until the agar began to set. After 24 h. of incubation (sterility test) the bacteria or yeast in a concentration of approximately 0.5 McFarland were streaked in radial patterns on the agar plates containing the samples, incubated at 37oC for 24 h, except for C. albicans which was incubated at 25oC. Complete inhibition of bacterial growth was expected for a sample to be declared active. Inhibition was present at 200 μg/mL only for amathamide A (1). Minimal inhibitory concentrations (MICs) values were determined by the dilution method previously described [6,7]. Two-fold serial dilutions were tested in nutrient broth (Merck) for B. subtilis, S. aureus, E. coli and P. aeruginosa, and Sabouraud-glucose (2 %) nutrient broth (Merck) for C. albicans. An initial concentration of 1 mg/mL of sample was prepared by dissolving in dimethyl sulphoxide. Serial dilutions (100-0.1 μg/mL) of sample were prepared, and the liquid medium was inoculated by cultures in stationary phase at concentration of 105 CFU/mL. After overnight incubation, the MIC was determined as the lowest concentration of compound preventing any visible growth. Streptomycin sulfate (Sigma) (1 μg/mL) and nystatin (Sigma) (3 μg/mL) were used as positive controls.

Acknowledgments

We gratefully acknowledge support for this project by CONACYT grant E130,1517 (2001).

References

  1. Blackman, A. J.; Matthews, D. J. Heterocycles 1985, 23, 2829–2832.
  2. Blackman, A. J.; Green, R. D. Aust. J. Chem. 1987, 40, 1655–1662.
  3. Narkowicz, C.; Blackman, A. J.; Lacey, E.; Gill, J.; Heiland, K. Proceedings of ICNP-2002-Trabzon / Türkiye 2002, 26–29.
  4. Ramirez-Osuna, M.; Aguirre, G.; Somanathan, R.; Molins, E. Tetrahedron-Asymmetry 2002, 13, 2261–2266.
  5. Ioeffe, S. L.; Tartakovskii, V. A.; Novikov, S. S. Russ. Chem. Rev. 1966, 35, 19–32.
  6. Mitscher, L. A.; Leu, R. P.; Bathala, M. S.; Wu, W. N.; Beal, J.L. Lloydia 1972, 35, 157–166.
  7. Vanden Berghie, D. A.; Vlietinck, A. J. Methods in Plant Biochemistry; Hostettman, K., Ed.; Academic Press: London, 1991; Chapter 3; pp. 47–69. [Google Scholar]
  8. Sahm, D. F.; Washington, J. A., II. Manual of Clinical MicrobiologyBalows, A., Ed.; American Society for Microbiology: Washington, DC, 1991, 5th ed.; Chapter 6; pp. 1105–1116. [Google Scholar]
  • Sample availability: Contact authors

Share and Cite

MDPI and ACS Style

Ramírez-Osuna, M.; Chávez, D.; Hernández, L.; Molins, E.; Somanathan, R.; Aguirre, G. Synthesis of Analogs of Amathamide A and Their Preliminary Antimicrobial Activity. Molecules 2005, 10, 295-301. https://doi.org/10.3390/10010295

AMA Style

Ramírez-Osuna M, Chávez D, Hernández L, Molins E, Somanathan R, Aguirre G. Synthesis of Analogs of Amathamide A and Their Preliminary Antimicrobial Activity. Molecules. 2005; 10(1):295-301. https://doi.org/10.3390/10010295

Chicago/Turabian Style

Ramírez-Osuna, M., D. Chávez, L. Hernández, E. Molins, R. Somanathan, and G. Aguirre. 2005. "Synthesis of Analogs of Amathamide A and Their Preliminary Antimicrobial Activity" Molecules 10, no. 1: 295-301. https://doi.org/10.3390/10010295

APA Style

Ramírez-Osuna, M., Chávez, D., Hernández, L., Molins, E., Somanathan, R., & Aguirre, G. (2005). Synthesis of Analogs of Amathamide A and Their Preliminary Antimicrobial Activity. Molecules, 10(1), 295-301. https://doi.org/10.3390/10010295

Article Metrics

Back to TopTop