Genetic Variability, Population Structure, and Relatedness Analysis of Meagre Stocks as an Informative Basis for New Breeding Schemes
Abstract
1. Introduction
2. Materials and Methods
2.1. Sampling
2.2. DNA Techniques/PCR and Microsatellite Genotyping
2.3. Population Genetics Analysis
2.3.1. Genetic Variability and Departure from Hardy–Weinberg Equilibrium
2.3.2. Population Structure
2.4. Relatedness Analysis
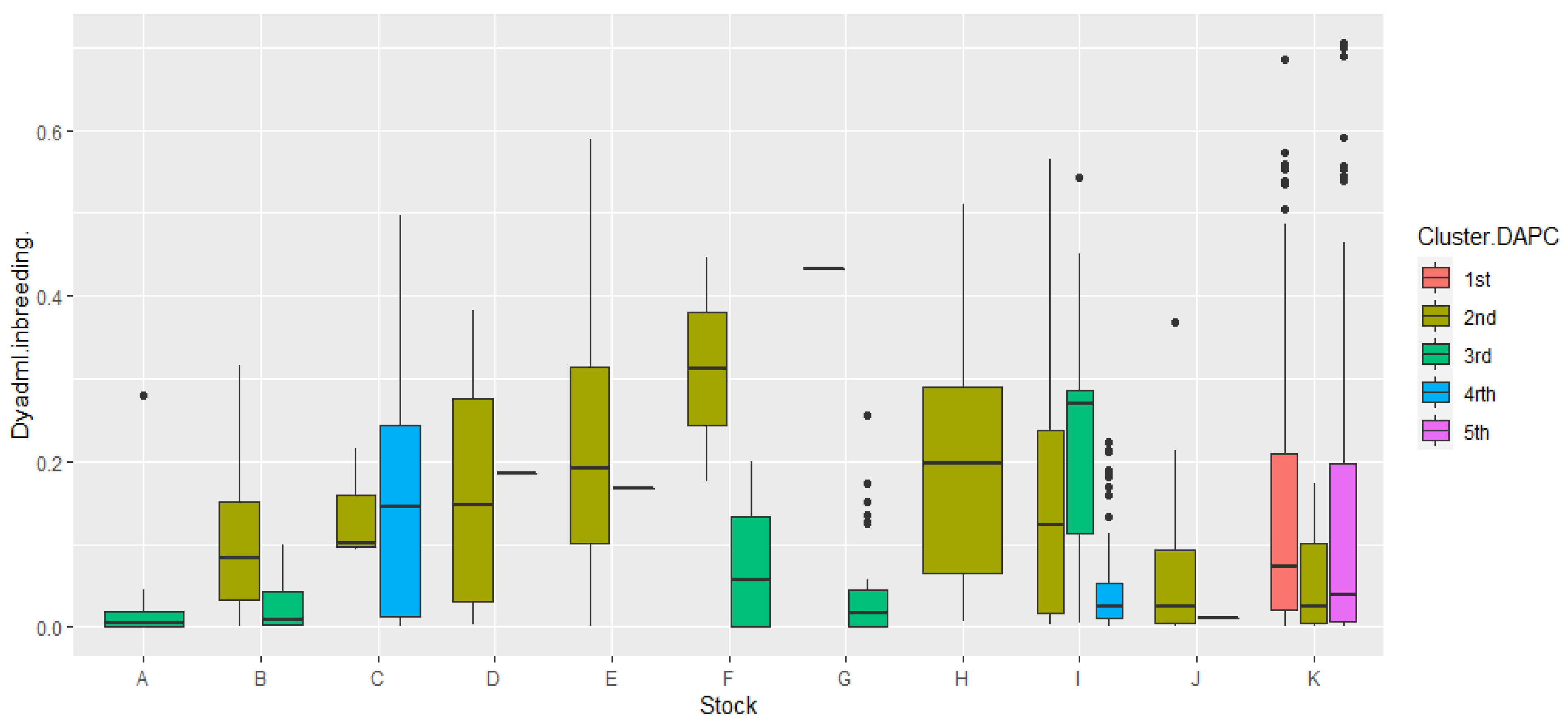
3. Results and Discussion
Population Genetics Indices
4. Conclusions
Supplementary Materials
Author Contributions
Funding
Institutional Review Board Statement
Conflicts of Interest
References
- Milla, S.; Pasquet, A.; El Mohajer, L.; Fontaine, P. How domestication alters fish phenotypes. Rev. Aquac. 2021, 13, 388–405. [Google Scholar] [CrossRef]
- Elmer, K.R.; Kusche, H.; Lehtonen, T.K.; Meyer, A. Local variation and parallel evolution: Morphological and genetic diversity across a species complex of neotropical crater lake cichlid fishes. Philos. Trans. R. Soc. B Biol. Sci. 2010, 365, 1763–1782. [Google Scholar] [CrossRef]
- Carvalho, G.R. Evolutionary aspects of fish distribution: Genetic variability and adaptation. J. Fish Biol. 1993, 43, 53–73. [Google Scholar] [CrossRef]
- Gjedrem, T.; Robinson, N. Advances by Selective Breeding for Aquatic Species: A Review. Agric. Sci. 2014, 5, 1152–1158. [Google Scholar] [CrossRef]
- DeWoody, J.A.; Avise, J.C. Microsatellite variation in marine, freshwater and anadromous fishes compared with other animals. Fish Biol. 2005, 56, 461–473. [Google Scholar] [CrossRef]
- Baillie, S.M.; Muir, A.M.; Hansen, M.J.; Krueger, C.C.; Bentzen, P. Genetic and phenotypic variation along an ecological gradient in lake trout Salvelinus namaycush. BMC Evol. Biol. 2016, 16, 1–16. [Google Scholar] [CrossRef]
- Baillie, S.M.; Hemstock, R.R.; Muir, A.M.; Krueger, C.C.; Bentzen, P. Small-scale intraspecific patterns of adaptive immunogenetic polymorphisms and neutral variation in Lake Superior lake trout. Immunogenetics 2018, 70, 53–66. [Google Scholar] [CrossRef]
- Romiguier, J.; Gayral, P.; Ballenghien, M.; Bernard, A.; Cahais, V.; Chenuil, A.; Chiari, Y.; Dernat, R.; Duret, L.; Faivre, N.; et al. Comparative population genomics in animals uncovers the determinants of genetic diversity. Nature 2014, 515, 261–263. [Google Scholar] [CrossRef]
- Ellegren, H.; Galtier, N. Determinants of genetic diversity. Nat. Rev. Genet. 2016, 17, 422–433. [Google Scholar] [CrossRef]
- Gjedrem, T.; Gjøen, H.M.; Gjerde, B. Genetic origin of Norwegian farmed Atlantic salmon. Aquaculture 1991, 98, 41–50. [Google Scholar] [CrossRef]
- Frankham, R.; Ballou, S.E.J.D.; Briscoe, D.A.; Ballou, J.D. Introduction to Conservation Genetics; Cambridge University Press: Cambridge, UK, 2002. [Google Scholar]
- Wang, S.; Hard, J.J.; Utter, F. Salmonid inbreeding: A review. Rev. Fish Biol. Fish. 2002, 11, 301–319. [Google Scholar] [CrossRef]
- Yates, M.C.; Bowles, E.; Fraser, D.J. Small population size and low genomic diversity have no effect on fitness in experimental translocations of a wild fish. Proc. R. Soc. B 2019, 286, 20191989. [Google Scholar] [CrossRef]
- Danzmann, R.G.; Morgan, R.P., II; Jones, M.W.; Bernatchez, L.; Ihssen, P.E. A major sextet of mitochondrial DNA phylogenetic assemblages extant in eastern North American brook trout (Salvelinus fontinalis): Distribution and postglacial dispersal patterns. Can. J. Zool. 1998, 76, 1300–1318. [Google Scholar] [CrossRef]
- Jamieson, I.G.; Allendorf, F.W. How does the 50/500 rule apply to MVPs? Trends Ecol. Evol. 2012, 27, 578–584. [Google Scholar] [CrossRef]
- Liu, D.; Zhou, Y.; Yang, K.; Zhang, X.; Chen, Y.; Li, C.; Li, H.; Song, Z. Low genetic diversity in broodstocks of endangered Chinese sucker, Myxocyprinus asiaticus: Implications for artificial propagation and conservation. ZooKeys 2018, 792, 117–132. [Google Scholar] [CrossRef]
- Kucinski, M.; Fopp-Bayat, D.; Liszewski, T.; Svinger, V.W.; Lebeda, I.; Kolman, R. Genetic analysis of four European huchen (Hucho hucho Linnaeus, 1758) broodstocks from Poland, Germany, Slovakia, and Ukraine: Implication for conservation. J. Appl. Genet. 2015, 56, 469–480. [Google Scholar] [CrossRef][Green Version]
- Montoya-López, A.F.; Tarazona-Morales, A.M.; Olivera-Angel, M.; Betancur-López, J.J. Genetic diversity of four broodstocks of tilapia (Oreochromis sp.) from Antioquia, Colombia. Rev. Colomb. Cienc. Pecu. 2019, 32, 201–213. [Google Scholar] [CrossRef]
- Loughnan, S.R.; Smith-Keune, C.; Jerry, D.R.; Beheregaray, L.B.; Robinson, N.A. Genetic diversity and relatedness estimates for captive barramundi (Lates calcarifer, B loch) broodstock informs efforts to form a base population for selective breeding. Aquac. Res. 2016, 47, 3570–3584. [Google Scholar] [CrossRef]
- Loukovitis, D.; Sarropoulou, E.; Vogiatzi, E.; Tsigenopoulos, C.S.; Kotoulas, G.; Magoulas, A.; Chatziplis, D. Genetic variation in farmed populations of the gilthead sea bream Sparus aurata in Greece using microsatellite DNA markers. Aquac. Res. 2012, 43, 239–246. [Google Scholar] [CrossRef]
- Loukovitis, D.; Ioannidi, B.; Chatziplis, D.; Kotoulas, G.; Magoulas, A.; Tsigenopoulos, C.S. Loss of genetic variation in Greek hatchery populations of the European sea bass (Dicentrarchus labrax L.) as revealed by microsatellite DNA analysis. Mediterr. Mar. Sci. 2015, 16, 197–200. [Google Scholar] [CrossRef]
- Hansen, M.M.; Kenchington, E.; Nielsen, E.E. Assigning individual fish to populations using microsatellite DNA markers. Fish Fish. 2001, 2, 93–112. [Google Scholar] [CrossRef]
- Chistiakov, D.A.; Hellemans, B.; Volckaert, F.A. Microsatellites and their genomic distribution, evolution, function and applications: A review with special reference to fish genetics. Aquaculture 2006, 255, 1–29. [Google Scholar] [CrossRef]
- Layton, K.K.; Dempson, B.; Snelgrove, P.V.; Duffy, S.J.; Messmer, A.M.; Paterson, I.G.; Bradbury, I.R. Resolving fine-scale population structure and fishery exploitation using sequenced microsatellites in a northern fish. Evol. Appl. 2020, 13, 1055–1068. [Google Scholar] [CrossRef]
- Ferguson, M.M.; Danzmann, R.G. Role of genetic markers in fisheries and aquaculture: Useful tools or stamp collecting? Can. J. Fish. Aquat. Sci. 1998, 55, 1553–1563. [Google Scholar] [CrossRef]
- Wright, T.F.; Johns, P.M.; Walters, J.R.; Lerner, A.P.; Swallow, J.G.; Wilkinson, G.S. Microsatellite variation among divergent populations of stalk-eyed flies, genus Cyrtodiopsis. Genet. Res. 2004, 84, 27–40. [Google Scholar] [CrossRef]
- Liu, Z.J.; Cordes, J.F. DNA marker technologies and their applications in aquaculture genetics. Aquaculture 2004, 238, 1–37. [Google Scholar] [CrossRef]
- Fountoulaki, E.; Grigorakis, K.; Kounna, C.; Rigos, G.; Papandroulakis, N.; Diakogeorgakis, J.; Kokou, F. Growth performance and product quality of meagre (Argyrosomus regius) fed diets of different protein/lipid levels at industrial scale. Ital. J. Anim. Sci. 2017, 16, 685–694. [Google Scholar] [CrossRef]
- Duncan, N.J.; Estévez, A.; Fernández-Palacios, H.; Gairin, I.; Hernández-Cruz, C.M.; Roo, J.; Vallés, R. Aquaculture production of meagre (Argyrosomus regius): Hatchery techniques, ongrowing and market. In Advances in Aquaculture Hatchery Technology; Woodhead Publishing: Sawston, UK, 2013; pp. 519–541. [Google Scholar]
- Monfort, M.C. Present market situation and prospects of meagre (Argyrosomus regius), as an emerging species in mediterranean aquaculture. In Studies and Reviews-General Fisheries Commission for the Mediterranean; Food and Agriculture Organization of the United Nations (FAO): Rome, Italy, 2010. [Google Scholar]
- Tsertou, M.I.; Smyrli, M.; Kokkari, C.; Antonopoulou, E.; Katharios, P. The aetiology of systemic granulomatosis in meagre (Argyrosomus regius): The “Nocardia” hypothesis. Aquac. Rep. 2018, 12, 5–11. [Google Scholar] [CrossRef]
- Exploring the Biological and Socio-Economic Potential of New/Emerging Candidate Fish Species for the Expansion of the European Aquaculture Industry. 2017. Available online: www.diversifyfish.eu/uploads/1/4/2/0/14206280/di-versify_featured_article_aes_42_sept_2017.pdf (accessed on 10 April 2019).
- Miller, S.A.; Dykes, D.D.; Polesky, H.F. A simple salting out procedure for extracting DNA from human nucleated cells. Nucleic Acids Res. 1988, 16, 1215. [Google Scholar] [CrossRef]
- Schuelke, M. An economic method for the fluorescent labeling of PCR fragments. Nat. Biotechnol. 2000, 18, 233–234. [Google Scholar] [CrossRef] [PubMed]
- Nousias, O.; Tsakogiannis, A.; Duncan, N.; Villa, J.; Tzokas, K.; Estevez, A.; Chatziplis, D.; Tsigenopoulos, C.S. Parentage assignment, estimates of heritability and genetic correlation for growth-related traits in meagre Argyrosomus regius. Aquaculture 2020, 518, 734663. [Google Scholar] [CrossRef]
- Nei, M. Estimation of average heterozygosity and genetic distance from a small number of individuals. Genetics 1978, 89, 583–590. [Google Scholar] [CrossRef]
- Shannon, C.E.; Weaver, W. The Mathematical Theory of Information; University of Illinois Press: Urbana, IL, USA, 1949; Volume 97. [Google Scholar]
- Belkhir, K. GENETIX 4.05, Logiciel Sous Windows TM Pour la Génétique des Populations. 2004. Available online: http://www.genetix.univ-montp2.fr/genetix/genetix.htm (accessed on 10 August 2019).
- Peakall, R.; Smouse, P.E. GenAlEx 6.5: Genetic analysis in Excel. Population genetic software for teaching and research. Bioinformatics 2012, 28, 2537–2539. [Google Scholar] [CrossRef] [PubMed]
- Weir, B.S.; Cockerham, C.C. Estimating F-statistics for the analysis of population structure. Evolution 1984, 38, 1358–1370. [Google Scholar]
- Rice, W.R. Analyzing tables of statistical tests. Evolution 1989, 43, 223–225. [Google Scholar] [CrossRef]
- Van Oosterhout, C.; Hutchinson, W.F.; Wills, D.P.; Shipley, P. MICRO-CHECKER: Software for identifying and correcting genotyping errors in microsatellite data. Mol. Ecol. Notes 2004, 4, 535–538. [Google Scholar] [CrossRef]
- Falush, D.; Stephens, M.; Pritchard, J.K. Inference of population structure using multilocus genotype data: Linked loci and correlated allele frequencies. Genetics 2003, 164, 1567–1587. [Google Scholar] [CrossRef]
- Evanno, G.; Regnaut, S.; Goudet, J. Detecting the number of clusters of individuals using the software STRUCTURE: A simulation study. Mol. Ecol. 2005, 14, 2611–2620. [Google Scholar] [CrossRef]
- Jombart, T. Adegenet: A R package for the multivariate analysis of genetic markers. Bioinformatics 2008, 24, 1403–1405. [Google Scholar] [CrossRef]
- Wang, J. COANCESTRY: A program for simulating, estimating and analysing relatedness and inbreeding coefficients. Mol. Ecol. Resour. 2011, 11, 141–145. [Google Scholar] [CrossRef]
- Pew, J.; Muir, P.H.; Wang, J.; Frasier, T.R. Related: An R package for analysing pairwise relatedness from codominant molecular markers. Mol. Ecol. Resour. 2015, 15, 557–561. [Google Scholar] [CrossRef]
- Hill, W.G.; Robertson, A. Linkage disequilibrium in finite populations. Theor. Appl. Genet. 1968, 38, 226–231. [Google Scholar] [CrossRef]
- Wright, S. The Theory of Gene Frequencies Evolution and the Genetics of Populations: A Treatise in Three Volumes; No. 576.58 W9301t Ej. 1 025186; The University of Chicago Press: Chicago, IL, USA, 1969. [Google Scholar]
- Wang, J. The computer program structure for assigning individuals to populations: Easy to use but easier to misuse. Mol. Ecol. Resour. 2017, 17, 981–990. [Google Scholar] [CrossRef] [PubMed]
- Evans, B.; Bartlett, J.; Sweijd, N.; Cook, P.; Elliott, N.G. Loss of genetic variation at microsatellite loci in hatchery produced abalone in Australia (Haliotis rubra) and South Africa (Haliotis midae). Aquaculture 2004, 233, 109–127. [Google Scholar] [CrossRef]
- Li, Q.; Park, C.; Endo, T.; Kijima, A. Loss of genetic variation at microsatellite loci in hatchery strains of the Pacific abalone (Haliotis discus hannai). Aquaculture 2004, 235, 207–222. [Google Scholar] [CrossRef]
- Alam, M.S.; Islam, M.S. Population genetic structure of Catla catla (Hamilton) revealed by microsatellite DNA markers. Aquaculture 2005, 246, 151–160. [Google Scholar] [CrossRef]
- Lundrigan, T.A.; Reist, J.D.; Ferguson, M.M. Microsatellite genetic variation within and among Arctic charr (Salvelinus alpinus) from aquaculture and natural populations in North America. Aquaculture 2005, 244, 63–75. [Google Scholar] [CrossRef]
- Li, Q.; Xu, K.; Yu, R. Genetic variation in Chinese hatchery populations of the Japanese scallop (Patinopecten yessoensis) inferred from microsatellite data. Aquaculture 2007, 269, 211–219. [Google Scholar] [CrossRef]
- Haffray, P.; Malha, R.; Sidi, M.O.T.; Prista, N.; Hassan, M.; Castelnaud, G.; Karahan-Nomm, B.; Gamsiz, K.; Sadek, S.; Bruant, J.S.; et al. Very high genetic fragmentation in a large marine fish, the meagre Argyrosomus regius (Sciaenidae, Perciformes): Impact of reproductive migration, oceanographic barriers and ecological factors. Aquat. Living Resour. 2012, 25, 173–183. [Google Scholar] [CrossRef]







| Gene Diversity per Locus and Population | |||||||||||
|---|---|---|---|---|---|---|---|---|---|---|---|
| Stock A | Stock B | Stock C | Stock D | Stock E | Stock F | Stock G | Stock H | Stock I | Stock J | Stock K | |
| Number of samples | 39 | 81 | 67 | 10 | 45 | 6 | 32 | 22 | 119 | 35 | 491 |
| Cascmic14 | 0.5302 | 0.5605 | 0.6533 | 0.585 | 0.6632 | 0.6389 | 0.6968 | 0.6994 | 0.7449 | 0.5351 | 0.5647 |
| Soc-11 | 0.7436 | 0.7438 | 0.6691 | 0.685 | 0.559 | 0.7361 | 0.6245 | 0.657 | 0.784 | 0.6657 | 0.6857 |
| Soc-35 | 0.3346 | 0.487 | 0.449 | 0.485 | 0.4886 | 0.6111 | 0.6841 | 0.0444 | 0.2363 | 0.602 | 0.533 |
| Soc-405 | 0.473 | 0.5118 | 0.3247 | 0.34 | 0.022 | 0.4861 | 0.5488 | 0.3512 | 0.5913 | 0.571 | 0.4699 |
| Soc-42 | 0.7988 | 0.8156 | 0.6883 | 0.78 | 0.4516 | 0.75 | 0.7983 | 0.5155 | 0.8144 | 0.6208 | 0.5858 |
| Soc-431 | 0.6496 | 0.5871 | 0.1273 | 0.185 | 0.2526 | 0.7083 | 0.6587 | 0.5196 | 0.5203 | 0.2886 | 0.5424 |
| Soc-44 | 0.4356 | 0.5021 | 0.4003 | 0.48 | 0.3968 | 0.5417 | 0.7046 | 0.2779 | 0.4614 | 0.4624 | 0.2359 |
| Uba-005 | 0.5 | 0.4972 | 0.4639 | 0.18 | 0.4723 | 0.4861 | 0.6606 | 0.2975 | 0.4105 | 0.4412 | 0.5055 |
| Uba-006 | 0.6052 | 0.4439 | 0.6479 | 0.585 | 0.3316 | 0.6944 | 0.6865 | 0 | 0.4194 | 0.3367 | 0.4436 |
| Uba-042 | 0.429 | 0.3282 | 0.5711 | 0.445 | 0.4837 | 0.4861 | 0.6484 | 0.3967 | 0.5725 | 0.1327 | 0.1537 |
| Uba-050 | 0.7449 | 0.7655 | 0.1898 | 0.51 | 0.664 | 0.7361 | 0.7422 | 0.5 | 0.5062 | 0.5029 | 0.5942 |
| Uba-054 | 0.2041 | 0.178 | 0.3306 | 0.375 | 0.4109 | 0.2778 | 0.4956 | 0.4339 | 0.2366 | 0.4984 | 0.376 |
| He | 0.5374 | 0.5351 | 0.4596 | 0.4696 | 0.433 | 0.5961 | 0.6624 | 0.3911 | 0.5248 | 0.4715 | 0.4742 |
| Hobs | 0.5791 | 0.608 | 0.5498 | 0.5167 | 0.4593 | 0.5972 | 0.8359 | 0.4053 | 0.5183 | 0.5429 | 0.4888 |
| FIS per stock | |||||||||||
|---|---|---|---|---|---|---|---|---|---|---|---|
| Stocks | A | B | C | D | E | F | G | H | I | J | K |
| Cascmic14 | −0.051 | −0.073 | −0.135 | −0.5 | 0.106 | 0.302 | −0.151 | −0.213 | −0.145 | 0 | −0.228 |
| Soc-11 | −0.091 | −0.256 | −0.175 | 0.459 | 0.017 | 0.184 | −0.085 | 0.192 | −0.046 | −0.318 | 0.123 |
| Soc-35 | −0.137 | −0.135 | −0.356 | −0.4 | −0.08 | 0.268 | −0.403 | 0 | 0.151 | −0.22 | −0.006 |
| Soc-405 | −0.017 | −0.2 | −0.234 | 0.455 | 0 | 0.394 | −0.7 | 0.246 | −0.062 | −0.288 | −0.002 |
| Soc-42 | −0.175 | −0.144 | −0.055 | −0.233 | −0.121 | −0.25 | −0.08 | −0.035 | 0.137 | −0.09 | 0.012 |
| Soc-431 | 0.026 | −0.214 | −0.048 | −0.029 | 0.043 | −0.087 | −0.362 | −0.202 | 0.1 | −0.174 | 0.011 |
| Soc-44 | −0.106 | 0.195 | −0.111 | −0.636 | 0.282 | −0.471 | −0.093 | −0.122 | 0.457 | −0.222 | −0.08 |
| Uba-005 | 0.141 | −0.161 | −0.248 | 1 | −0.024 | 0.706 | −0.31 | 0.106 | −0.04 | 0.429 | 0.189 |
| Uba-006 | −0.131 | −0.051 | −0.052 | −0.145 | 0.34 | 0.13 | −0.168 | −0.023 | −0.198 | −0.089 | −0.08 |
| Uba-042 | −0.003 | −0.122 | −0.458 | −0.301 | −0.508 | 0.062 | −0.433 | −0.355 | −0.097 | −0.062 | −0.061 |
| Uba-050 | −0.158 | −0.171 | −0.093 | −0.125 | −0.228 | −0.042 | −0.291 | 0.294 | 0.124 | −0.236 | −0.308 |
| Uba-054 | 0.134 | −0.103 | −0.257 | 0.757 | −0.179 | −0.111 | 0.07 | −0.024 | −0.142 | −0.19 | 0.046 |
| All | −0.064 | −0.13 | −0.188 | −0.047 | −0.049 | 0.089 | −0.247 | −0.013 | 0.017 | −0.137 | −0.029 |
Publisher’s Note: MDPI stays neutral with regard to jurisdictional claims in published maps and institutional affiliations. |
© 2021 by the authors. Licensee MDPI, Basel, Switzerland. This article is an open access article distributed under the terms and conditions of the Creative Commons Attribution (CC BY) license (https://creativecommons.org/licenses/by/4.0/).
Share and Cite
Nousias, O.; Tzokas, K.; Papaharisis, L.; Ekonomaki, K.; Chatziplis, D.; Batargias, C.; Tsigenopoulos, C.S. Genetic Variability, Population Structure, and Relatedness Analysis of Meagre Stocks as an Informative Basis for New Breeding Schemes. Fishes 2021, 6, 78. https://doi.org/10.3390/fishes6040078
Nousias O, Tzokas K, Papaharisis L, Ekonomaki K, Chatziplis D, Batargias C, Tsigenopoulos CS. Genetic Variability, Population Structure, and Relatedness Analysis of Meagre Stocks as an Informative Basis for New Breeding Schemes. Fishes. 2021; 6(4):78. https://doi.org/10.3390/fishes6040078
Chicago/Turabian StyleNousias, Orestis, Konstantinos Tzokas, Leonidas Papaharisis, Katerina Ekonomaki, Dimitrios Chatziplis, Costas Batargias, and Costas S. Tsigenopoulos. 2021. "Genetic Variability, Population Structure, and Relatedness Analysis of Meagre Stocks as an Informative Basis for New Breeding Schemes" Fishes 6, no. 4: 78. https://doi.org/10.3390/fishes6040078
APA StyleNousias, O., Tzokas, K., Papaharisis, L., Ekonomaki, K., Chatziplis, D., Batargias, C., & Tsigenopoulos, C. S. (2021). Genetic Variability, Population Structure, and Relatedness Analysis of Meagre Stocks as an Informative Basis for New Breeding Schemes. Fishes, 6(4), 78. https://doi.org/10.3390/fishes6040078

