Ergodicity Breaking and Ageing in a Vibrational Motor
Abstract
1. Introduction
2. Model
3. Observables
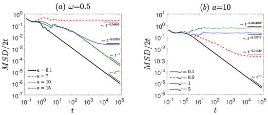
4. Results
5. Discussion
6. Conclusions
Author Contributions
Funding
Institutional Review Board Statement
Data Availability Statement
Conflicts of Interest
References
- Madhok, V.; Dogra, S.; Lakshminarayan, A. Quantum correlations as probes of chaos and ergodicity. Opt. Commun. 2018, 420, 189–193. [Google Scholar] [CrossRef]
- Piga, A.; Lewenstein, M.; Quach, J.Q. Quantum chaos and entanglement in ergodic and nonergodic systems. Phys. Rev. E 2019, 99, 032213. [Google Scholar] [CrossRef] [PubMed]
- Kos, P.; Bertini, B.; Prosen, T. Chaos and ergodicity in extended quantum systems with noisy driving. Phys. Rev. Lett. 2021, 126, 190601. [Google Scholar] [CrossRef] [PubMed]
- Serbyn, M.; Abanin, D.A.; Papić, Z. Quantum many-body scars and weak breaking of ergodicity. Nat. Phys. 2021, 17, 675–685. [Google Scholar] [CrossRef]
- Sinha, S.; Ray, S.; Sinha, S. Classical route to ergodicity and scarring in collective quantum systems. J. Phys. Condens. Matter 2024, 36, 163001. [Google Scholar] [CrossRef]
- Bellet, L.R. Ergodic properties of Markov processes. In Open Quantum Systems II: The Markovian Approach; Springer: Berlin/Heidelberg, Germany, 2006; pp. 1–39. [Google Scholar]
- Croft, J.F.; Bohn, J.L. Long-lived complexes and chaos in ultracold molecular collisions. Phys. Rev. A 2014, 89, 012714. [Google Scholar] [CrossRef]
- Dulieu, O.; Osterwalder, A. Cold Chemistry: Molecular Scattering and Reactivity Near Absolute Zero; Royal Society of Chemistry: Cambridge, UK, 2017. [Google Scholar]
- Liu, Y.; Luo, L. Molecular collisions: From near-cold to ultra-cold. Front. Phys. 2021, 16, 42300. [Google Scholar] [CrossRef]
- Klett, K.; Cherstvy, A.G.; Shin, J.; Sokolov, I.M.; Metzler, R. Non-Gaussian, transiently anomalous, and ergodic self-diffusion of flexible dumbbells in crowded two-dimensional environments: Coupled translational and rotational motions. Phys. Rev. E 2021, 104, 064603. [Google Scholar] [CrossRef]
- Barkai, E.; Garini, Y.; Metzler, R. Strange kinetics of single molecules in living cells. Phys. Today 2012, 65, 29–35. [Google Scholar] [CrossRef]
- Tsallis, C. Possible generalization of Boltzmann-Gibbs statistics. J. Stat. Phys. 1988, 52, 479–487. [Google Scholar] [CrossRef]
- Metzler, R.; Jeon, J.H.; Cherstvy, A.G.; Barkai, E. Anomalous diffusion models and their properties: Non-stationarity, non-ergodicity, and ageing at the centenary of single particle tracking. Phys. Chem. Chem. Phys. 2014, 16, 24128–24164. [Google Scholar] [CrossRef]
- Friedman, N.; Cai, L.; Xie, X.S. Stochasticity in Gene Expression as Observed by Single-molecule Experiments in Live Cells. Isr. J. Chem. 2009, 49, 333–342. [Google Scholar] [CrossRef]
- Bernaschi, M.; Billoire, A.; Maiorano, A.; Parisi, G.; Ricci-Tersenghi, F. Strong ergodicity breaking in aging of mean-field spin glasses. Proc. Natl. Acad. Sci. USA 2020, 117, 17522–17527. [Google Scholar] [CrossRef]
- Roy, S.; Lazarides, A. Strong ergodicity breaking due to local constraints in a quantum system. Phys. Rev. Res. 2020, 2, 023159. [Google Scholar] [CrossRef]
- Meroz, Y.; Sokolov, I.M. A toolbox for determining subdiffusive mechanisms. Phys. Rep. 2015, 573, 1–29. [Google Scholar] [CrossRef]
- Duan, Y.; Mahault, B.; Ma, Y.Q.; Shi, X.Q.; Chaté, H. Breakdown of ergodicity and self-averaging in polar flocks with quenched disorder. Phys. Rev. Lett. 2021, 126, 178001. [Google Scholar] [CrossRef]
- Shi, H.D.; Du, L.C.; Huang, F.J.; Guo, W. Collective topological active particles: Non-ergodic superdiffusion and ageing in complex environments. Chaos Solitons Fractals 2022, 157, 111935. [Google Scholar] [CrossRef]
- Metzler, R.; Jeon, J.H.; Cherstvy, A.G. Non-Brownian diffusion in lipid membranes: Experiments and simulations. Biochim. Biophys. Acta (BBA)-Biomembr. 2016, 1858, 2451–2467. [Google Scholar] [CrossRef] [PubMed]
- Manzo, C.; Torreno-Pina, J.A.; Massignan, P.; Lapeyre Jr, G.J.; Lewenstein, M.; Garcia Parajo, M.F. Weak ergodicity breaking of receptor motion in living cells stemming from random diffusivity. Phys. Rev. X 2015, 5, 011021. [Google Scholar] [CrossRef]
- Weigel, A.V.; Simon, B.; Tamkun, M.M.; Krapf, D. Ergodic and nonergodic processes coexist in the plasma membrane as observed by single-molecule tracking. Proc. Natl. Acad. Sci. USA 2011, 108, 6438–6443. [Google Scholar] [CrossRef] [PubMed]
- Burov, S.; Jeon, J.H.; Metzler, R.; Barkai, E. Single particle tracking in systems showing anomalous diffusion: The role of weak ergodicity breaking. Phys. Chem. Chem. Phys. 2011, 13, 1800–1812. [Google Scholar] [CrossRef]
- Chen, Q.; Chen, S.A.; Zhu, Z. Weak ergodicity breaking in non-Hermitian many-body systems. SciPost Phys. 2023, 15, 052. [Google Scholar] [CrossRef]
- Turner, C.J. Weak Ergodicity Breaking and Quantum Scars in Constrained Quantum Systems. Ph.D. Thesis, University of Leeds, Leeds, UK, 2019. [Google Scholar]
- Desaules, J.Y.; Banerjee, D.; Hudomal, A.; Papić, Z.; Sen, A.; Halimeh, J.C. Weak ergodicity breaking in the Schwinger model. Phys. Rev. B 2023, 107, L201105. [Google Scholar] [CrossRef]
- Bouchaud, J.P. Weak ergodicity breaking and aging in disordered systems. J. De Phys. I 1992, 2, 1705–1713. [Google Scholar] [CrossRef]
- Cugliandolo, L.F.; Kurchan, J. Analytical solution of the off-equilibrium dynamics of a long-range spin-glass model. Phys. Rev. Lett. 1993, 71, 173. [Google Scholar] [CrossRef] [PubMed]
- Guo, W.; Li, Y.; Song, W.-H.; Du, L.-C. Ergodicity breaking and ageing of underdamped Brownian dynamics with quenched disorder. J. Stat. Mech. Theory Exp. 2018, 2018, 033303. [Google Scholar] [CrossRef]
- Struik, L.C.E. Physical Aging in Amorphous Polymers and Other Materials; Elsevier Scientific Publishing Company: Amsterdam, The Netherlands, 1978; Volume 106. [Google Scholar]
- Horner, H. Glassy Dynamics and Aging in Disordered Systems. In Collective Dynamics of Nonlinear and Disordered Systems; Springer: Berlin/Heidelberg, Germany, 2005; pp. 203–236. [Google Scholar]
- Bouchaud, J.P.; Cugliandolo, L.F.; Kurchan, J.; Mezard, M. Out of equilibrium dynamics in spin-glasses and other glassy systems. Spin Glas. Random Fields 1998, 12, 161. [Google Scholar]
- Cipelletti, L.; Ramos, L. Slow dynamics in glassy soft matter. J. Phys. Condens Matter 2005, 17, R253. [Google Scholar] [CrossRef]
- Du, L.; Mei, D. Absolute negative mobility in a vibrational motor. Phys. Rev. E 2012, 85, 011148. [Google Scholar] [CrossRef]
- Du, L.; Mei, D. Coexisting attractors control of anomalous transport in a vibrational motor. Eur. Phys. J. B 2014, 87, 1–5. [Google Scholar] [CrossRef]
- Guo, W.; Du, L.C.; Mei, D.C. Anomalous diffusion and enhancement of diffusion in a vibrational motor. J. Stat. Mech. Theory Exp. 2014, 2014, P04025. [Google Scholar] [CrossRef]
- Kautz, R.L. Noise, chaos, and the Josephson voltage standard. Rep. Prog. Phys. 1996, 59, 935. [Google Scholar] [CrossRef]
- Jung, P.; Kissner, J.G.; Hänggi, P. Regular and chaotic transport in asymmetric periodic potentials: Inertia ratchets. Phys. Rev. Lett. 1996, 76, 3436. [Google Scholar] [CrossRef] [PubMed]
- Mateos, J.L. Chaotic transport and current reversal in deterministic ratchets. Phys. Rev. Lett. 2000, 84, 258. [Google Scholar] [CrossRef]
- Risken, H. Fokker-Planck Equation for One Variable; Methods of Solution. In The Fokker-Planck Equation: Methods of Solution and Applications; Springer: Berlin/Heidelberg, Germany, 1996; pp. 96–132. [Google Scholar]
- Fieguth, D.M. Dynamical active particles in the overdamped limit. J. Phys. Commun. 2024, 8, 075001. [Google Scholar] [CrossRef]
- Bouchaud, J. P; Georges, A. Anomalous diffusion in disordered media: Statistical mechanisms, models and physical applications. Phys. Rep. 1990, 195, 127–293. [Google Scholar] [CrossRef]
- Sancho, J.M.; Lacasta, A.; Lindenberg, K.; Sokolov, I.M.; Romero, A. Diffusion on a solid surface: Anomalous is normal. Phys. Rev. Lett. 2004, 92, 250601. [Google Scholar] [CrossRef]
- Khoury, M.; Lacasta, A.M.; Sancho, J.M.; Lindenberg, K. Weak Disorder: Anomalous Transport and Diffusion Are Normal Yet Again. Phys. Rev. Lett. 2011, 106, 090602. [Google Scholar] [CrossRef]
- Weiss, M.; Elsner, M.; Kartberg, F.; Nilsson, T. Anomalous subdiffusion is a measure for cytoplasmic crowding in living cells. Biophys. J. 2004, 87, 3518–3524. [Google Scholar] [CrossRef]
- Golding, I.; Cox, E.C. Physical nature of bacterial cytoplasm. Phys. Rev. Lett. 2006, 96, 098102. [Google Scholar] [CrossRef]
- Ramaswamy, S. The mechanics and statistics of active matter. Annu. Rev. Condens. Matter Phys 2010, 1, 323–345. [Google Scholar] [CrossRef]
- Bechinger, C.; Di Leonardo, R.; Löwen, H.; Reichhardt, C.; Volpe, G.; Volpe, G. Active particles in complex and crowded environments. Rev. Mod. Phys. 2016, 88, 045006. [Google Scholar] [CrossRef]
- Cherstvy, A.G.; Thapa, S.; Mardoukhi, Y.; Chechkin, A.V.; Metzler, R. Time averages and their statistical variation for the Ornstein-Uhlenbeck process: Role of initial particle distributions and relaxation to stationarity. Phys. Rev. E 2018, 98, 022134. [Google Scholar] [CrossRef] [PubMed]
- He, Y.; Burov, S.; Metzler, R.; Barkai, E. Random time-scale invariant diffusion and transport coefficients. Phys. Rev. Lett. 2008, 101, 058101. [Google Scholar] [CrossRef] [PubMed]
- Thiel, F.; Sokolov, I.M. Scaled Brownian motion as a mean-field model for continuous-time random walks. Phys. Rev. E 2014, 89, 012115. [Google Scholar] [CrossRef]
- Burov, S.; Metzler, R.; Barkai, E. Aging and nonergodicity beyond the Khinchin theorem. Proc. Natl. Acad. Sci. USA 2010, 107, 13228–13233. [Google Scholar] [CrossRef]
- Cherstvy, A.G.; Wang, W.; Metzler, R.; Sokolov, I.M. Inertia triggers nonergodicity of fractional Brownian motion. Phys. Rev. E 2021, 104, 024115. [Google Scholar] [CrossRef]
- Safdari, H.; Cherstvy, A.G.; Chechkin, A.V.; Thiel, F.; Sokolov, I.M.; Metzler, R. Theoretical. Quantifying the non-ergodicity of scaled Brownian motion. J. Phys. A: Math. Theor. 2015, 48, 375002. [Google Scholar] [CrossRef]
- Liang, Y.; Wang, W.; Metzler, R.; Cherstvy, A.G. Anomalous diffusion, nonergodicity, non-Gaussianity, and aging of fractional Brownian motion with nonlinear clocks. Phys. Rev. E 2023, 108, 034113. [Google Scholar] [CrossRef]
- Christiansen, H.; Majumder, S.; Henkel, M.; Janke, W. Aging in the long-range Ising model. Phys. Rev. Lett. 2020, 125, 180601. [Google Scholar] [CrossRef]






Disclaimer/Publisher’s Note: The statements, opinions and data contained in all publications are solely those of the individual author(s) and contributor(s) and not of MDPI and/or the editor(s). MDPI and/or the editor(s) disclaim responsibility for any injury to people or property resulting from any ideas, methods, instructions or products referred to in the content. |
© 2025 by the authors. Licensee MDPI, Basel, Switzerland. This article is an open access article distributed under the terms and conditions of the Creative Commons Attribution (CC BY) license (https://creativecommons.org/licenses/by/4.0/).
Share and Cite
Yang, Y.; Shi, H.; Du, L.; Guo, W. Ergodicity Breaking and Ageing in a Vibrational Motor. Entropy 2025, 27, 802. https://doi.org/10.3390/e27080802
Yang Y, Shi H, Du L, Guo W. Ergodicity Breaking and Ageing in a Vibrational Motor. Entropy. 2025; 27(8):802. https://doi.org/10.3390/e27080802
Chicago/Turabian StyleYang, Yaqin, Hongda Shi, Luchun Du, and Wei Guo. 2025. "Ergodicity Breaking and Ageing in a Vibrational Motor" Entropy 27, no. 8: 802. https://doi.org/10.3390/e27080802
APA StyleYang, Y., Shi, H., Du, L., & Guo, W. (2025). Ergodicity Breaking and Ageing in a Vibrational Motor. Entropy, 27(8), 802. https://doi.org/10.3390/e27080802

