Fast Quantum Gates with Electric Field Pulses and Optical Tweezers in Trapped Ions
Abstract
1. Introduction
2. System Description: Two Ions
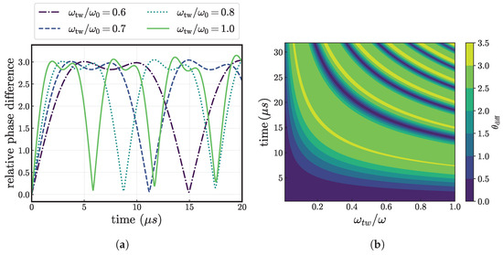
3. Results
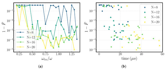
Gates in a Four-Ion Crystal
4. Experimental Considerations
5. Conclusions and Outlook
Author Contributions
Funding
Institutional Review Board Statement
Data Availability Statement
Acknowledgments
Conflicts of Interest
Abbreviations
| ZPE | Zero-point energy |
| COM | Center-of-mass |
Appendix A. New-Mode Coherent State Preparation


Appendix B. The Gate Performance with Tweezer Stability

Appendix C. Sensitivity to Timing Errors

Appendix D. Zero-Point Energy Rephasing Points

Appendix E. Spin-Dependent Phase Factors
Appendix F. State-Dependent Motional Eigenmodes upon the Introduction of Optical Tweezers into the System
| 1 | 3 | |||
References
- Gaebler, J.; Tan, T.; Lin, Y.; Wan, Y.; Bowler, R.; Keith, A.; Glancy, S.; Coakley, K.; Knill, E.; Leibfried, D.; et al. High-Fidelity Universal Gate Set for 9Be+ Ion Qubits. Phys. Rev. Lett. 2016, 117, 060505. [Google Scholar] [CrossRef]
- Ballance, C.; Harty, T.; Linke, N.; Sepiol, M.; Lucas, D. High-Fidelity Quantum Logic Gates Using Trapped-Ion Hyperfine Qubits. Phys. Rev. Lett. 2016, 117, 060504. [Google Scholar] [CrossRef]
- Wang, P.; Luan, C.Y.; Qiao, M.; Um, M.; Zhang, J.; Wang, Y.; Yuan, X.; Gu, M.; Zhang, J.; Kim, K. Single ion qubit with estimated coherence time exceeding one hour. Nat. Commun. 2021, 12, 233. [Google Scholar] [CrossRef] [PubMed]
- García-Ripoll, J.J.; Zoller, P.; Cirac, J.I. Speed optimized two-qubit gates with laser coherent control techniques for ion trap quantum computing. Phys. Rev. Lett. 2003, 91, 157901. [Google Scholar] [CrossRef] [PubMed]
- Duan, L.M. Scaling ion trap quantum computation through fast quantum gates. Phys. Rev. Lett. 2004, 93, 100502. [Google Scholar] [CrossRef]
- Palmero, M.; Martinez-Garaot, S.; Leibfried, D.; Wineland, D.J.; Muga, J.G. Fast phase gates with trapped ions. Phys. Rev. A 2017, 95, 022328. [Google Scholar] [CrossRef]
- Gale, E.P.G.; Mehdi, Z.; Oberg, L.M.; Ratcliffe, A.K.; Haine, S.A.; Hope, J.J. Optimized fast gates for quantum computing with trapped ions. Phys. Rev. A 2020, 101, 052328. [Google Scholar] [CrossRef]
- García-Ripoll, J.J.; Zoller, P.; Cirac, J.I. Coherent control of trapped ions using off–resonant lasers. Phys. Rev. A 2005, 71, 062309. [Google Scholar] [CrossRef]
- Schäfer, V.M.; Ballance, C.J.; Thirumalai, K.; Stephenson, L.J.; Ballance, T.G.; Steane, A.M.; Lucas, D.M. Fast quantum logic gates with trapped-ion qubits. Nature 2018, 555, 75. [Google Scholar] [CrossRef]
- Wong-Campos, J.D.; Moses, S.A.; Johnson, K.G.; Monroe, C. Demonstration of Two-Atom Entanglement with Ultrafast Optical Pulses. Phys. Rev. Lett. 2017, 119, 230501. [Google Scholar] [CrossRef]
- Bentley, C.D.B.; Carvalho, A.R.R.; Hope, J.J. Trapped ion scaling with pulsed fast gates. New J. Phys. 2015, 17, 103025. [Google Scholar] [CrossRef]
- Mehdi, Z.; Ratcliffe, A.K.; Hope, J.J. Fast entangling gates in long ion chains. Phys. Rev. Res. 2021, 3, 013026. [Google Scholar] [CrossRef]
- Ratcliffe, A.K.; Taylor, R.L.; Hope, J.J.; Carvalho, A.R.R. Scaling Trapped Ion Quantum Computers Using Fast Gates and Microtraps. Phys. Rev. Lett. 2018, 120, 220501. [Google Scholar] [CrossRef]
- Vogel, J.; Li, W.; Mokhberi, A.; Lesanovsky, I.; Schmidt-Kaler, F. Shuttling of Rydberg Ions for Fast Entangling Operations. Phys. Rev. Lett. 2019, 123, 153603. [Google Scholar] [CrossRef] [PubMed]
- Vasquez, A.; Mordini, C.; Kienzler, D.; Home, J. State-dependent control of the motional modes of trapped ions using an integrated optical lattice. arXiv 2024, arXiv:2411.03301. [Google Scholar] [CrossRef]
- Mazzanti, M.; Schüssler, R.X.; Arias Espinoza, J.D.; Wu, Z.; Gerritsma, R.; Safavi-Naini, A. Trapped Ion Quantum Computing Using Optical Tweezers and Electric Fields. Phys. Rev. Lett. 2021, 127, 260502. [Google Scholar] [CrossRef]
- Teoh, Y.H.; Sajjan, M.; Sun, Z.; Rajabi, F.; Islam, R. Manipulating phonons of a trapped-ion system using optical tweezers. Phys. Rev. A 2021, 104, 022420. [Google Scholar] [CrossRef]
- Arias Espinoza, J.D.; Mazzanti, M.; Fouka, K.; Schüssler, R.X.; Wu, Z.; Corboz, P.; Gerritsma, R.; Safavi-Naini, A. Engineering spin-spin interactions with optical tweezers in trapped ions. Phys. Rev. A 2021, 104, 013302. [Google Scholar] [CrossRef]
- Bond, L.; Lenstra, L.; Gerritsma, R.; Safavi-Naini, A. Effect of micromotion and local stress in quantum simulations with trapped ions in optical tweezers. Phys. Rev. A 2022, 106, 042612. [Google Scholar] [CrossRef]
- Olsacher, T.; Postler, L.; Schindler, P.; Monz, T.; Zoller, P.; Sieberer, L.M. Scalable and Parallel Tweezer Gates for Quantum Computing with Long Ion Strings. PRX Quantum 2020, 1, 020316. [Google Scholar] [CrossRef]
- Blümel, R.; Grzesiak, N.; Pisenti, N.; Wright, K.; Nam, Y. Power-optimal, stabilized entangling gate between trapped-ion qubits. npj Quantum Inf. 2021, 7, 147. [Google Scholar] [CrossRef]
- Nielsen, M.A. A simple formula for the average gate fidelity of a quantum dynamical operation. Phys. Lett. A 2002, 303, 249–252. [Google Scholar] [CrossRef]
- Schindler, P.; Nigg, D.; Monz, T.; Barreiro, J.T.; Martinez, E.; Wang, S.X.; Quint, S.; Brandl, M.F.; Nebendahl, V.; Roos, C.F. A quantum information processor with trapped ions. New J. Phys. 2013, 15, 123012. [Google Scholar] [CrossRef]
- Safronova, M.S.; Safronova, U.I. Blackbody radiation shift, multipole polarizabilities, oscillator strengths, lifetimes, hyperfine constants, and excitation energies in Ca+. Phys. Rev. A 2011, 83, 012503. [Google Scholar] [CrossRef]
- Stopp, F.; Verde, M.; Katz, M.; Drechsler, M.; Schmiegelow, C.T.; Schmidt-Kaler, F. Coherent Transfer of Transverse Optical Momentum to the Motion of a Single Trapped Ion. Phys. Rev. Lett. 2022, 129, 263603. [Google Scholar] [CrossRef]
- Mazzanti, M.; Gerritsma, R.; Spreeuw, R.J.C.; Safavi-Naini, A. Trapped ions quantum logic gate with optical tweezers and the Magnus effect. Phys. Rev. Res. 2023, 5, 033036. [Google Scholar] [CrossRef]
- Grimm, R.; Weidemüller, M.; Ovchinnikov, Y.B. Optical Dipole Traps for Neutral Atoms. In Advances In Atomic, Molecular, and Optical Physics; Academic Press: Cambridge, MA, USA, 2000; Volume 42, pp. 95–170. [Google Scholar] [CrossRef]
- James, D.F.V. Quantum dynamics of cold trapped ions with application to quantum computation. Appl. Phys. B 1998, 66, 181. [Google Scholar] [CrossRef]





| N | (s) | ||
|---|---|---|---|
| 0.4 | 16 | 0.0373 | 22.5717 |
| 0.4 | 20 | 0.0100 | 17.2863 |
| 0.4 | 28 | 0.0402 | 41.5518 |
| 0.4 | 30 | 0.0002 | 16.3239 |
| 0.8 | 16 | 0.0039 | 37.0045 |
Disclaimer/Publisher’s Note: The statements, opinions and data contained in all publications are solely those of the individual author(s) and contributor(s) and not of MDPI and/or the editor(s). MDPI and/or the editor(s) disclaim responsibility for any injury to people or property resulting from any ideas, methods, instructions or products referred to in the content. |
© 2025 by the authors. Licensee MDPI, Basel, Switzerland. This article is an open access article distributed under the terms and conditions of the Creative Commons Attribution (CC BY) license (https://creativecommons.org/licenses/by/4.0/).
Share and Cite
Robalo Pereira, C.; Bond, L.J.; Mazzanti, M.; Gerritsma, R.; Safavi-Naini, A. Fast Quantum Gates with Electric Field Pulses and Optical Tweezers in Trapped Ions. Entropy 2025, 27, 595. https://doi.org/10.3390/e27060595
Robalo Pereira C, Bond LJ, Mazzanti M, Gerritsma R, Safavi-Naini A. Fast Quantum Gates with Electric Field Pulses and Optical Tweezers in Trapped Ions. Entropy. 2025; 27(6):595. https://doi.org/10.3390/e27060595
Chicago/Turabian StyleRobalo Pereira, Clara, Liam J. Bond, Matteo Mazzanti, Rene Gerritsma, and Arghavan Safavi-Naini. 2025. "Fast Quantum Gates with Electric Field Pulses and Optical Tweezers in Trapped Ions" Entropy 27, no. 6: 595. https://doi.org/10.3390/e27060595
APA StyleRobalo Pereira, C., Bond, L. J., Mazzanti, M., Gerritsma, R., & Safavi-Naini, A. (2025). Fast Quantum Gates with Electric Field Pulses and Optical Tweezers in Trapped Ions. Entropy, 27(6), 595. https://doi.org/10.3390/e27060595

