Dual Effects of Lamb Shift in Quantum Thermodynamical Systems
Abstract
1. Introduction
2. The Model
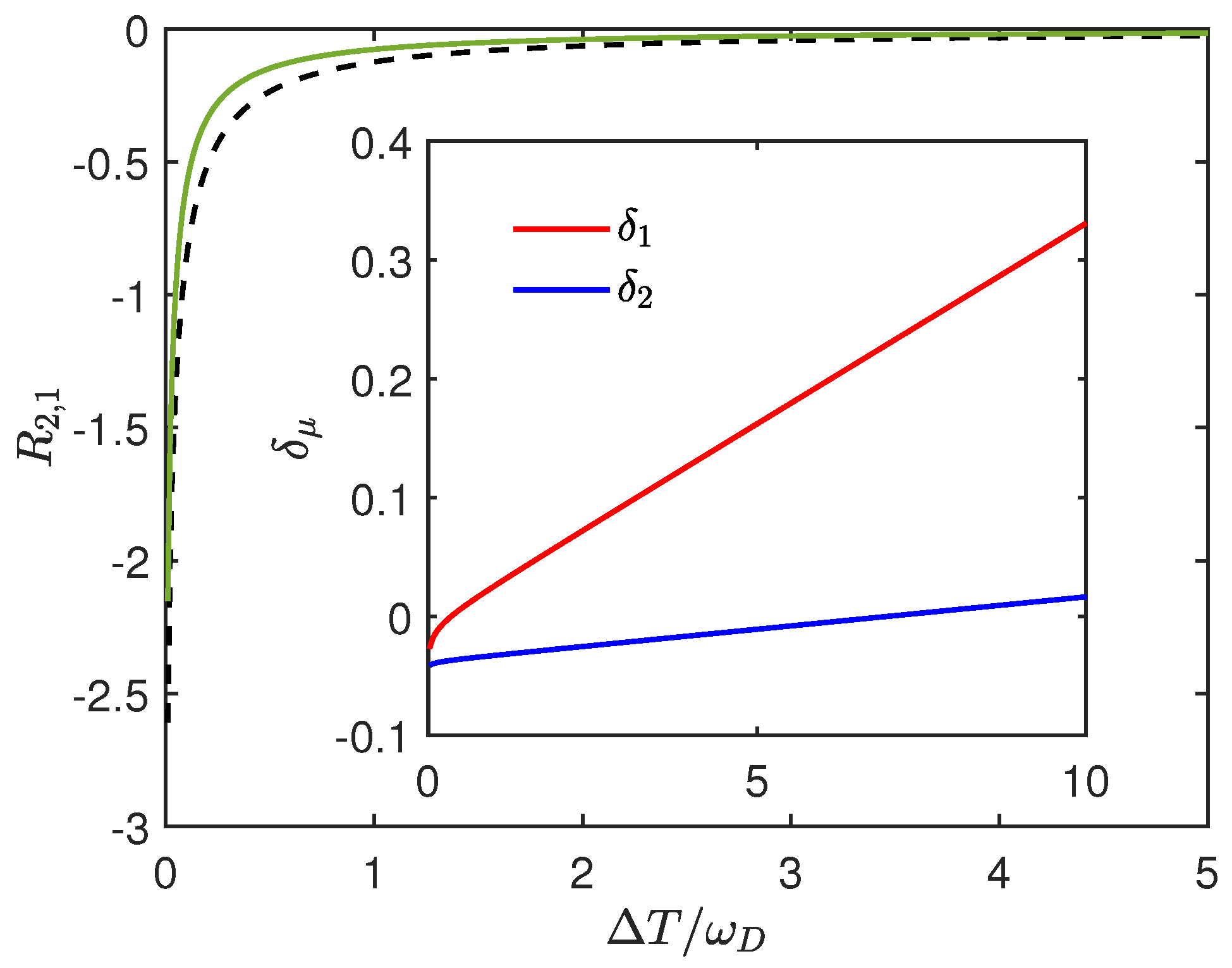
3. Lamb Shift
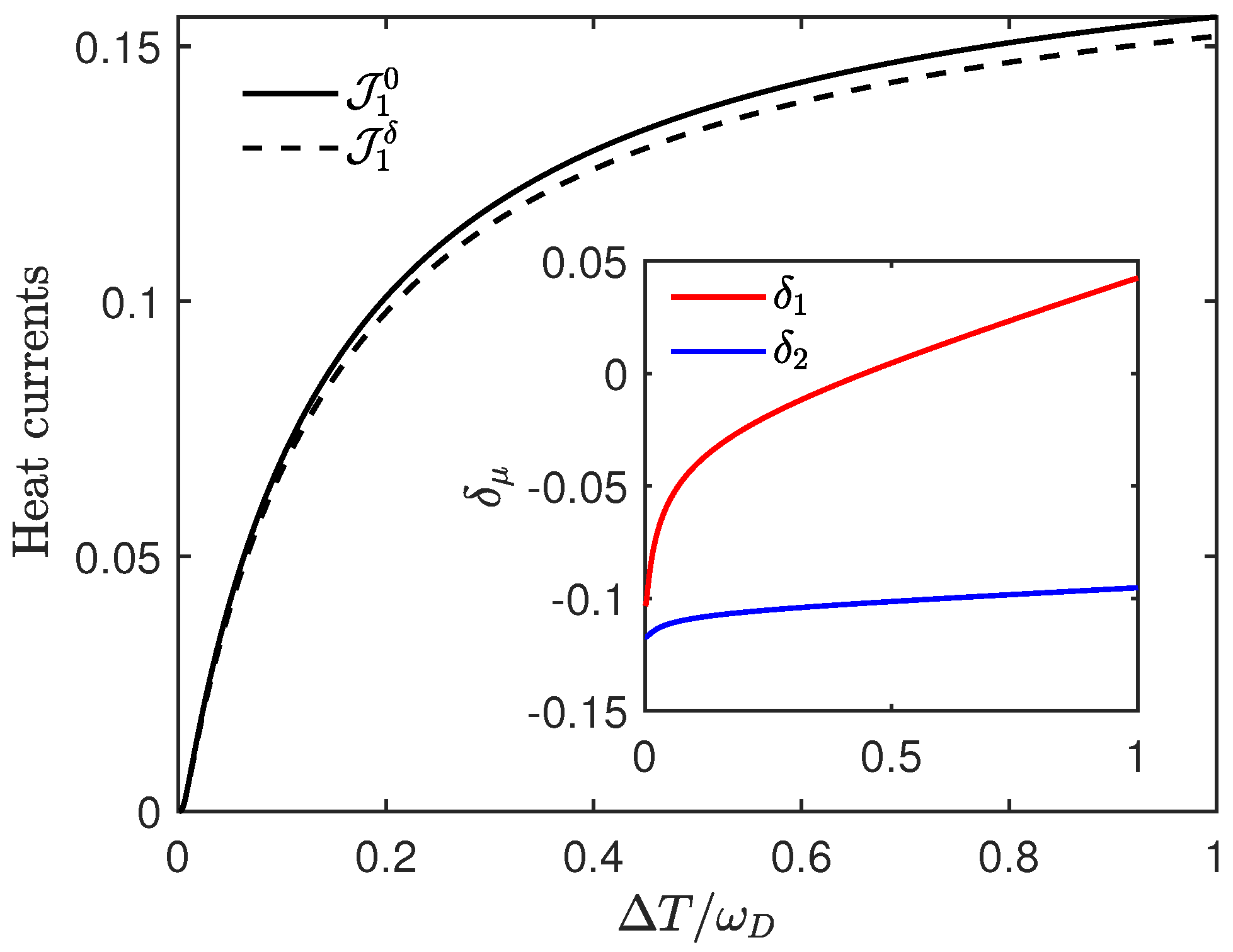
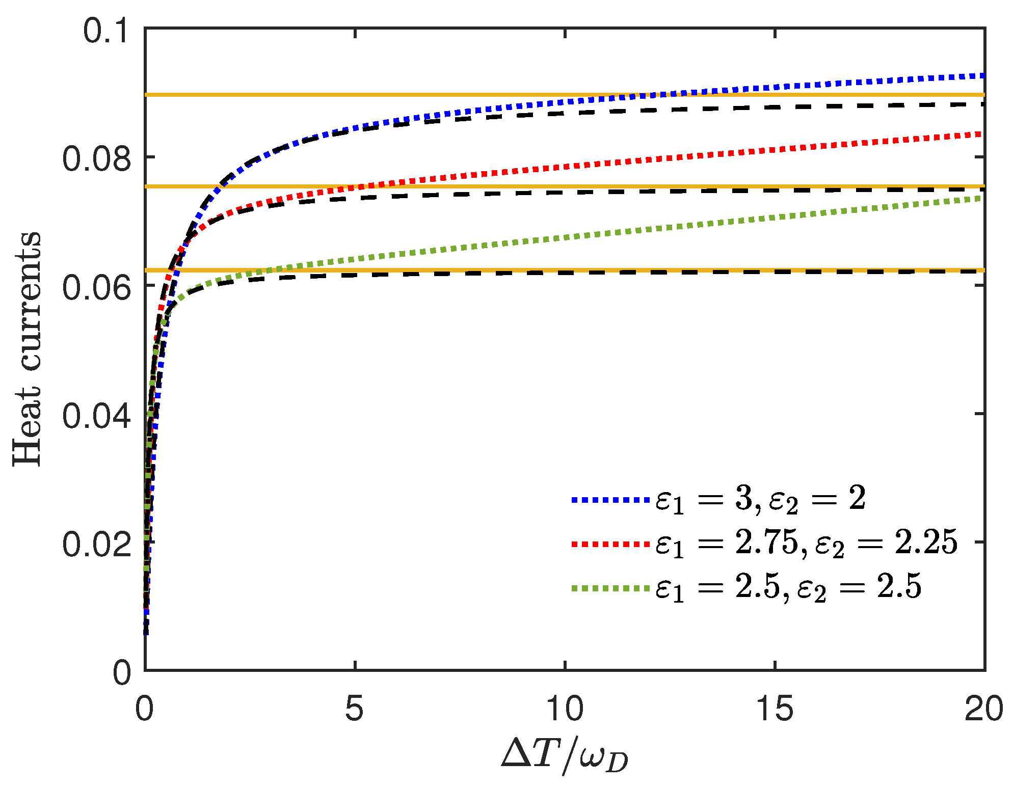
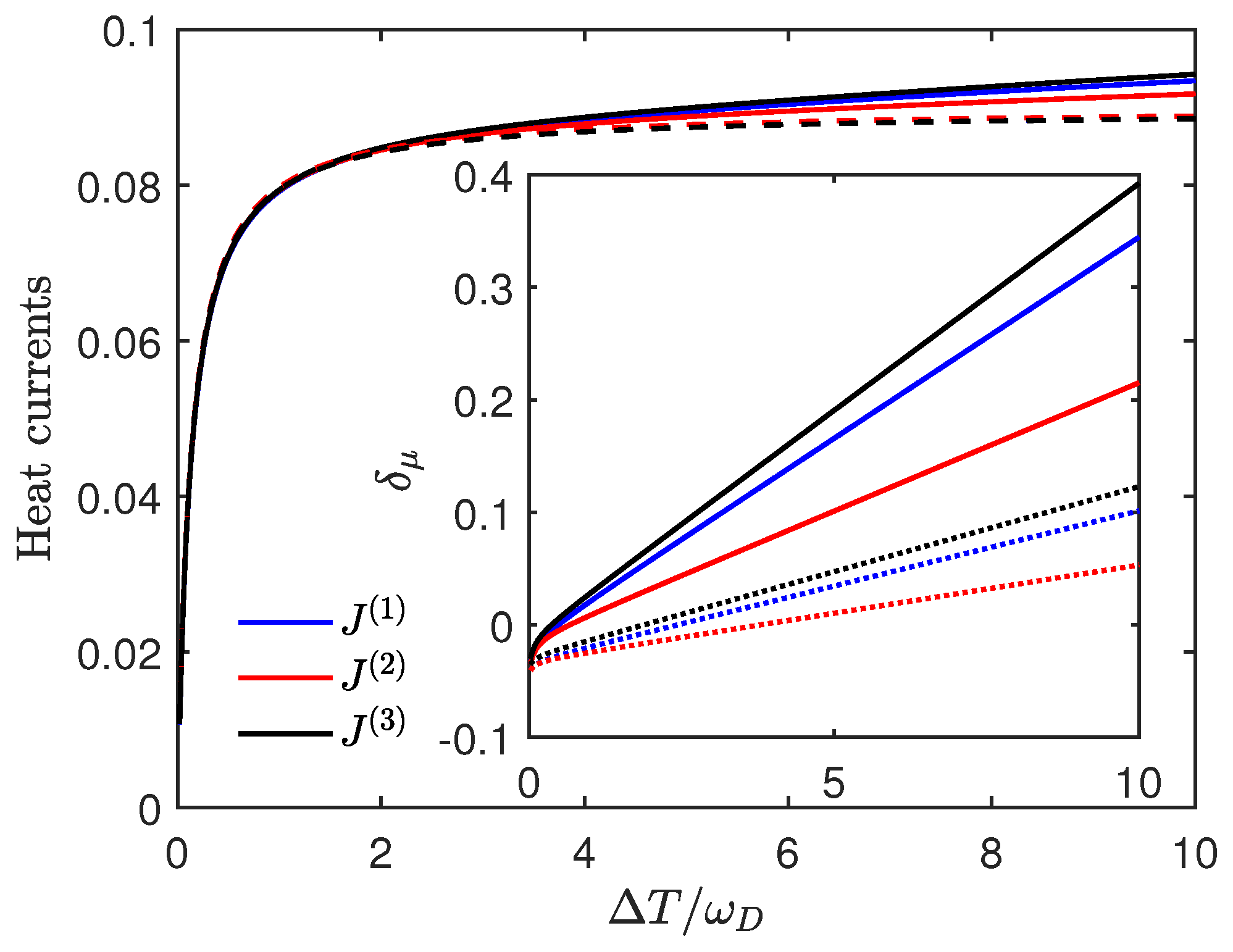
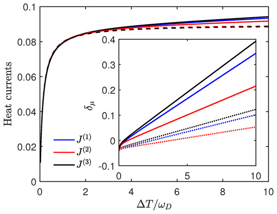
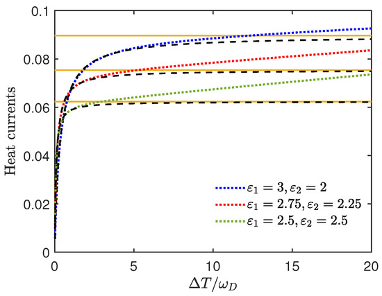
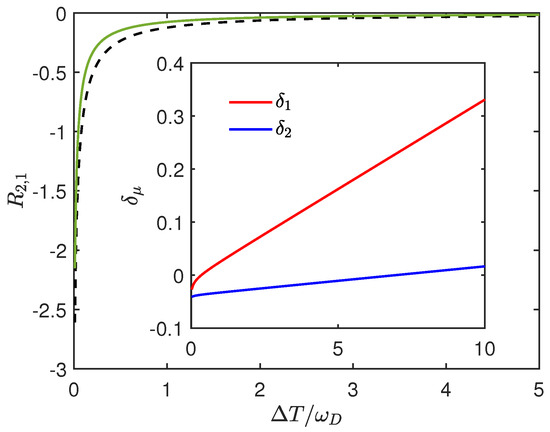
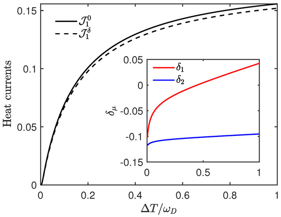
4. Heat Currents
5. Conclusions
- At small temperature differences, the Lamb shift suppresses the steady-state heat current;
- In contrast, for large temperature differences, the system exhibits distinct behavior—while the heat current saturates to an upper bound when neglecting the Lamb shift, its inclusion leads to a divergent heat current as the temperature gradient approaches infinity.
Author Contributions
Funding
Data Availability Statement
Conflicts of Interest
Appendix A. The Derivation of the Master Equation
Appendix B. Details of the Estimate of the Lamb Shift
Appendix C. Consistency with the Second Law of Thermodynamics
References
- Breuer, H.P.; Petruccione, F. The Theory of Open Quantum Systems; Oxford University Press on Demand: Oxford, UK, 2002. [Google Scholar]
- Rivas, A.; Plato, A.D.K.; Huelga, S.F.; Plenio, M.B. Markovian master equations: A critical study. New J. Phys. 2010, 12, 113032. [Google Scholar] [CrossRef]
- Carmichael, H.J. Statistical Methods in Quantum Optics 1: Master Equations and Fokker-Planck Equations; Springer Science & Business Media: Berlin/Heidelberg, Germany, 2013. [Google Scholar]
- Redfield, A. The Theory of Relaxation Processes. In Advances in Magnetic and Optical Resonance; Waugh, J.S., Ed.; Academic Press: Cambridge, MA, USA, 1965; Volume 1, pp. 1–32. [Google Scholar] [CrossRef]
- Lindblad, G. On the generators of quantum dynamical semigroups. Commun. Math. Phys. 1976, 48, 119–130. [Google Scholar] [CrossRef]
- Gorini, V.; Kossakowski, A.; Sudarshan, E.C.G. Completely positive dynamical semigroups of N-level systems. J. Math. Phys. 1976, 17, 821–825. [Google Scholar] [CrossRef]
- Gemmer, J.; Michel, M.; Mahler, G. Quantum Thermodynamics: Emergence of Thermodynamic Behavior Within Composite Quantum Systems; Springer: Berlin/Heidelberg, Germany, 2009; Volume 784. [Google Scholar]
- Alicki, R.; Lidar, D.A.; Zanardi, P. Internal consistency of fault-tolerant quantum error correction in light of rigorous derivations of the quantum Markovian limit. Phys. Rev. A 2006, 73, 052311. [Google Scholar] [CrossRef]
- Ptaszyński, K.; Esposito, M. Thermodynamics of Quantum Information Flows. Phys. Rev. Lett. 2019, 122, 150603. [Google Scholar] [CrossRef]
- Albash, T.; Boixo, S.; Lidar, D.A.; Zanardi, P. Quantum adiabatic Markovian master equations. New J. Phys. 2012, 14, 123016. [Google Scholar] [CrossRef]
- Yang, Y.j.; Liu, Y.q.; Liu, Z.; Yu, C.s. Singular transport in non-equilibrium strongly internal-coupled 1D tilted field spin-1/2 chain. J. Chem. Phys. 2025, 162, 194308. [Google Scholar] [CrossRef] [PubMed]
- Wang, S.Y.; Yang, Q.; Zhang, F.L. Thermodynamically consistent master equation based on subsystem eigenstates. Phys. Rev. E 2023, 107, 014108. [Google Scholar] [CrossRef] [PubMed]
- Mozgunov, E.; Lidar, D. Completely positive master equation for arbitrary driving and small level spacing. Quantum 2020, 4, 227. [Google Scholar] [CrossRef]
- Nathan, F.; Rudner, M.S. Universal Lindblad equation for open quantum systems. Phys. Rev. B 2020, 102, 115109. [Google Scholar] [CrossRef]
- Davidović, D. Geometric-arithmetic master equation in large and fast open quantum systems. J. Phys. A Math. Theor. 2022, 55, 455301. [Google Scholar] [CrossRef]
- Davidović, D. Completely Positive, Simple, and Possibly Highly Accurate Approximation of the Redfield Equation. Quantum 2020, 4, 326. [Google Scholar] [CrossRef]
- Lidar, D.A. Lecture notes on the theory of open quantum systems. arXiv 2019, arXiv:1902.00967. [Google Scholar]
- Tupkary, D.; Dhar, A.; Kulkarni, M.; Purkayastha, A. Fundamental limitations in Lindblad descriptions of systems weakly coupled to baths. Phys. Rev. A 2022, 105, 032208. [Google Scholar] [CrossRef]
- Hartmann, R.; Strunz, W.T. Accuracy assessment of perturbative master equations: Embracing nonpositivity. Phys. Rev. A 2020, 101, 012103. [Google Scholar] [CrossRef]
- Ghoshal, A.; Sen, U. Heat current and entropy production rate in local non-Markovian quantum dynamics of global Markovian evolution. Phys. Rev. A 2022, 105, 022424. [Google Scholar] [CrossRef]
- D’Abbruzzo, A.; Rossini, D. Self-consistent microscopic derivation of Markovian master equations for open quadratic quantum systems. Phys. Rev. A 2021, 103, 052209. [Google Scholar] [CrossRef]
- Ridolfo, A.; Leib, M.; Savasta, S.; Hartmann, M.J. Photon Blockade in the Ultrastrong Coupling Regime. Phys. Rev. Lett. 2012, 109, 193602. [Google Scholar] [CrossRef]
- Stassi, R.; Ridolfo, A.; Di Stefano, O.; Hartmann, M.J.; Savasta, S. Spontaneous Conversion from Virtual to Real Photons in the Ultrastrong-Coupling Regime. Phys. Rev. Lett. 2013, 110, 243601. [Google Scholar] [CrossRef]
- Ridolfo, A.; Vilardi, R.; Di Stefano, O.; Portolan, S.; Savasta, S. All Optical Switch of Vacuum Rabi Oscillations: The Ultrafast Quantum Eraser. Phys. Rev. Lett. 2011, 106, 013601. [Google Scholar] [CrossRef]
- Sarandy, M.S.; Lidar, D.A. Adiabatic Quantum Computation in Open Systems. Phys. Rev. Lett. 2005, 95, 250503. [Google Scholar] [CrossRef]
- Childs, A.M.; Farhi, E.; Preskill, J. Robustness of adiabatic quantum computation. Phys. Rev. A 2001, 65, 012322. [Google Scholar] [CrossRef]
- Guimarães, J.D.; Lim, J.; Vasilevskiy, M.I.; Huelga, S.F.; Plenio, M.B. Noise-Assisted Digital Quantum Simulation of Open Systems Using Partial Probabilistic Error Cancellation. PRX Quantum 2023, 4, 040329. [Google Scholar] [CrossRef]
- Lanka, A.; Brun, T. Improving a quantum-dot-based single-photon source with continuous measurements. Phys. Rev. A 2023, 108, 053711. [Google Scholar] [CrossRef]
- Joulain, K.; Drevillon, J.; Ezzahri, Y.; Ordonez-Miranda, J. Quantum Thermal Transistor. Phys. Rev. Lett. 2016, 116, 200601. [Google Scholar] [CrossRef] [PubMed]
- Balachandran, V.; Benenti, G.; Pereira, E.; Casati, G.; Poletti, D. Perfect Diode in Quantum Spin Chains. Phys. Rev. Lett. 2018, 120, 200603. [Google Scholar] [CrossRef] [PubMed]
- Tajima, H.; Funo, K. Superconducting-like Heat Current: Effective Cancellation of Current-Dissipation Trade-Off by Quantum Coherence. Phys. Rev. Lett. 2021, 127, 190604. [Google Scholar] [CrossRef]
- Guo, B.Q.; Liu, T.; Yu, C.S. Quantum thermal transistor based on qubit-qutrit coupling. Phys. Rev. E 2018, 98, 022118. [Google Scholar] [CrossRef]
- Naseem, M.T.; Xuereb, A.; Müstecaplıoğlu, O.E. Thermodynamic consistency of the optomechanical master equation. Phys. Rev. A 2018, 98, 052123. [Google Scholar] [CrossRef]
- Ordonez-Miranda, J.; Ezzahri, Y.; Joulain, K. Quantum thermal diode based on two interacting spinlike systems under different excitations. Phys. Rev. E 2017, 95, 022128. [Google Scholar] [CrossRef]
- Konar, T.K.; Ghosh, S.; Pal, A.K.; Sen, A. Designing refrigerators in higher dimensions using quantum spin models. Phys. Rev. A 2023, 107, 032602. [Google Scholar] [CrossRef]
- Mandarino, A.; Joulain, K.; Gómez, M.D.; Bellomo, B. Thermal Transistor Effect in Quantum Systems. Phys. Rev. Appl. 2021, 16, 034026. [Google Scholar] [CrossRef]
- Tabesh, F.T.; Kamin, F.H.; Salimi, S. Environment-mediated charging process of quantum batteries. Phys. Rev. A 2020, 102, 052223. [Google Scholar] [CrossRef]
- Farina, D.; Andolina, G.M.; Mari, A.; Polini, M.; Giovannetti, V. Charger-mediated energy transfer for quantum batteries: An open-system approach. Phys. Rev. B 2019, 99, 035421. [Google Scholar] [CrossRef]
- Zhao, F.; Dou, F.Q.; Zhao, Q. Quantum battery of interacting spins with environmental noise. Phys. Rev. A 2021, 103, 033715. [Google Scholar] [CrossRef]
- Morrone, D.; Rossi, M.A.; Smirne, A.; Genoni, M.G. Charging a quantum battery in a non-Markovian environment: A collisional model approach. Quantum Sci. Technol. 2023, 8, 035007. [Google Scholar] [CrossRef]
- Fasihi, M.A.; Jafarzadeh Bahrbeig, R.; Mojaveri, B.; Haji Mohammadzadeh, R. Fast stable adiabatic charging of open quantum batteries. Phys. Rev. E 2025, 112, 024117. [Google Scholar] [CrossRef]
- Trushechkin, A. Unified Gorini-Kossakowski-Lindblad-Sudarshan quantum master equation beyond the secular approximation. Phys. Rev. A 2021, 103, 062226. [Google Scholar] [CrossRef]
- Vadimov, V.; Tuorila, J.; Orell, T.; Stockburger, J.; Ala-Nissila, T.; Ankerhold, J.; Möttönen, M. Validity of Born-Markov master equations for single- and two-qubit systems. Phys. Rev. B 2021, 103, 214308. [Google Scholar] [CrossRef]
- Wen, P.Y.; Lin, K.T.; Kockum, A.F.; Suri, B.; Ian, H.; Chen, J.C.; Mao, S.Y.; Chiu, C.C.; Delsing, P.; Nori, F.; et al. Large Collective Lamb Shift of Two Distant Superconducting Artificial Atoms. Phys. Rev. Lett. 2019, 123, 233602. [Google Scholar] [CrossRef]
- Frisk Kockum, A.; Delsing, P.; Johansson, G. Designing frequency-dependent relaxation rates and Lamb shifts for a giant artificial atom. Phys. Rev. A 2014, 90, 013837. [Google Scholar] [CrossRef]
- Fragner, A.; Göppl, M.; Fink, J.M.; Baur, M.; Bianchetti, R.; Leek, P.J.; Blais, A.; Wallraff, A. Resolving Vacuum Fluctuations in an Electrical Circuit by Measuring the Lamb Shift. Science 2008, 322, 1357–1360. [Google Scholar] [CrossRef]
- Gramich, V.; Solinas, P.; Möttönen, M.; Pekola, J.P.; Ankerhold, J. Measurement scheme for the Lamb shift in a superconducting circuit with broadband environment. Phys. Rev. A 2011, 84, 052103. [Google Scholar] [CrossRef]
- Linden, N.; Popescu, S.; Skrzypczyk, P. How Small Can Thermal Machines Be? The Smallest Possible Refrigerator. Phys. Rev. Lett. 2010, 105, 130401. [Google Scholar] [CrossRef]
- Yu, C.S.; Zhu, Q.Y. Re-examining the self-contained quantum refrigerator in the strong-coupling regime. Phys. Rev. E 2014, 90, 052142. [Google Scholar] [CrossRef]
- Thierschmann, H.; Sánchez, R.; Sothmann, B.; Arnold, F.; Heyn, C.; Hansen, W.; Buhmann, H.; Molenkamp, L.W. Three-terminal energy harvester with coupled quantum dots. Nat. Nanotechnol. 2015, 10, 854–858. [Google Scholar] [CrossRef]
- Kannan, B.; Ruckriegel, M.J.; Campbell, D.L.; Frisk Kockum, A.; Braumüller, J.; Kim, D.K.; Kjaergaard, M.; Krantz, P.; Melville, A.; Niedzielski, B.M.; et al. Waveguide quantum electrodynamics with superconducting artificial giant atoms. Nature 2020, 583, 775–779. [Google Scholar] [CrossRef]
- Glatthard, J.; Aznar-Menargues, G.; Palao, J.P.; Alonso, D.; Correa, L.A. Accurate heat currents via reorganized master equation. Phys. Rev. E 2025, 112, 024109. [Google Scholar] [CrossRef] [PubMed]
- Quiroga, L.; Rodriguez, F.J.; Ramirez, M.E.; Paris, R. Nonequilibrium thermal entanglement. Phys. Rev. A 2007, 75, 032308. [Google Scholar] [CrossRef]
- Sinaysky, I.; Petruccione, F.; Burgarth, D. Dynamics of nonequilibrium thermal entanglement. Phys. Rev. A 2008, 78, 062301. [Google Scholar] [CrossRef]
- Hu, L.Z.; Man, Z.X.; Xia, Y.J. Steady-state entanglement and thermalization of coupled qubits in two common heat baths. Quantum Inf. Process. 2018, 17, 45. [Google Scholar] [CrossRef]
- Yang, Y.J.; Liu, Y.Q.; Yu, C.S. Heat transfer in transversely coupled qubits: Optically controlled thermal modulator with common reservoirs. J. Phys. A Math. Theor. 2022, 55, 395303. [Google Scholar] [CrossRef]
- Segal, D. Single Mode Heat Rectifier: Controlling Energy Flow Between Electronic Conductors. Phys. Rev. Lett. 2008, 100, 105901. [Google Scholar] [CrossRef]
- Terraneo, M.; Peyrard, M.; Casati, G. Controlling the Energy Flow in Nonlinear Lattices: A Model for a Thermal Rectifier. Phys. Rev. Lett. 2002, 88, 094302. [Google Scholar] [CrossRef]
- Pereira, E. Sufficient conditions for thermal rectification in general graded materials. Phys. Rev. E 2011, 83, 031106. [Google Scholar] [CrossRef]
- Yang, J.; Elouard, C.; Splettstoesser, J.; Sothmann, B.; Sánchez, R.; Jordan, A.N. Thermal transistor and thermometer based on Coulomb-coupled conductors. Phys. Rev. B 2019, 100, 045418. [Google Scholar] [CrossRef]
- Schaller, G. Non-Equilibrium Master Equations; Lecture Notes; TU Berlin: Berlin, Germany, 2014. [Google Scholar]
- Weiss, U. Quantum Dissipative Systems; World Scientific: Singapore, 2012. [Google Scholar]
- Kosloff, R. Quantum Thermodynamics: A Dynamical Viewpoint. Entropy 2013, 15, 2100–2128. [Google Scholar] [CrossRef]
- Levy, A.; Kosloff, R. The local approach to quantum transport may violate the second law of thermodynamics. Europhys. Lett. 2014, 107, 20004. [Google Scholar] [CrossRef]
- Trushechkin, A.S.; Volovich, I.V. Perturbative treatment of inter-site couplings in the local description of open quantum networks. Europhys. Lett. 2016, 113, 30005. [Google Scholar] [CrossRef]
- Hofer, P.P.; Perarnau-Llobet, M.; Miranda, L.D.M.; Haack, G.; Silva, R.; Brask, J.B.; Brunner, N. Markovian master equations for quantum thermal machines: Local versus global approach. New J. Phys. 2017, 19, 123037. [Google Scholar] [CrossRef]
- Thomas, G.; Johal, R.S. Coupled quantum Otto cycle. Phys. Rev. E—Stat. Nonlinear Soft Matter Phys. 2011, 83, 031135. [Google Scholar] [CrossRef]
- Kosloff, R.; Rezek, Y. The quantum harmonic Otto cycle. Entropy 2017, 19, 136. [Google Scholar] [CrossRef]
- Sonkar, S.; Johal, R.S. Spin-based quantum Otto engines and majorization. Phys. Rev. A 2023, 107, 032220. [Google Scholar] [CrossRef]
- Dann, R.; Kosloff, R.; Salamon, P. Quantum Finite-Time Thermodynamics: Insight from a Single Qubit Engine. Entropy 2020, 22, 1255. [Google Scholar] [CrossRef]
- Kloc, M.; Cejnar, P.; Schaller, G. Collective performance of a finite-time quantum Otto cycle. Phys. Rev. E 2019, 100, 042126. [Google Scholar] [CrossRef]
- Ozaydin, F.; Müstecaplıoğlu, Ö.E.; Hakioğlu, T. Powering quantum Otto engines only with q-deformation of the working substance. Phys. Rev. E 2023, 108, 054103. [Google Scholar] [CrossRef] [PubMed]
- Güvenilir, E.; Ozaydin, F.; Müstecaplıoğlu, Ö.E.; Hakioğlu, T. Work harvesting by q-deformed statistical mutations in an Otto engine. arXiv 2022, arXiv:2208.08565. [Google Scholar]
- Xiao, Y.; Li, K.; He, J.; Wang, J. Performance of quantum heat engines enhanced by adiabatic deformation of trapping potential. Entropy 2023, 25, 484. [Google Scholar] [CrossRef] [PubMed]
- González-Tudela, A.; Paulisch, V.; Kimble, H.J.; Cirac, J.I. Efficient Multiphoton Generation in Waveguide Quantum Electrodynamics. Phys. Rev. Lett. 2017, 118, 213601. [Google Scholar] [CrossRef] [PubMed]
- Ladd, T.D.; van Loock, P.; Nemoto, K.; Munro, W.J.; Yamamoto, Y. Hybrid quantum repeater based on dispersive CQED interactions between matter qubits and bright coherent light. New J. Phys. 2006, 8, 184. [Google Scholar] [CrossRef]
- Agarwal, G.; Zhu, Y. Photon trapping in cavity quantum electrodynamics. Phys. Rev. A 2015, 92, 023824. [Google Scholar] [CrossRef]
- Ghulinyan, M.; Manzano, F.R.; Prtljaga, N.; Bernard, M.; Pavesi, L.; Pucker, G.; Carusotto, I. Intermode reactive coupling induced by waveguide-resonator interaction. Phys. Rev. A 2014, 90, 053811. [Google Scholar] [CrossRef]






Disclaimer/Publisher’s Note: The statements, opinions and data contained in all publications are solely those of the individual author(s) and contributor(s) and not of MDPI and/or the editor(s). MDPI and/or the editor(s) disclaim responsibility for any injury to people or property resulting from any ideas, methods, instructions or products referred to in the content. |
© 2025 by the authors. Licensee MDPI, Basel, Switzerland. This article is an open access article distributed under the terms and conditions of the Creative Commons Attribution (CC BY) license (https://creativecommons.org/licenses/by/4.0/).
Share and Cite
Zhang, Z.; Yu, C. Dual Effects of Lamb Shift in Quantum Thermodynamical Systems. Entropy 2025, 27, 1012. https://doi.org/10.3390/e27101012
Zhang Z, Yu C. Dual Effects of Lamb Shift in Quantum Thermodynamical Systems. Entropy. 2025; 27(10):1012. https://doi.org/10.3390/e27101012
Chicago/Turabian StyleZhang, Zichen, and Changshui Yu. 2025. "Dual Effects of Lamb Shift in Quantum Thermodynamical Systems" Entropy 27, no. 10: 1012. https://doi.org/10.3390/e27101012
APA StyleZhang, Z., & Yu, C. (2025). Dual Effects of Lamb Shift in Quantum Thermodynamical Systems. Entropy, 27(10), 1012. https://doi.org/10.3390/e27101012

