Subdiffusion Equation with Fractional Caputo Time Derivative with Respect to Another Function in Modeling Superdiffusion
Abstract
1. Introduction
2. Anomalous Diffusion Equations
2.1. Ordinary Subdiffusion Equation
2.2. Factional Superdiffusion Equation
3. -Subdiffusion Equation
4. Using the -Subdiffusion Equation to Describe Superdiffusion
4.1. Finding the Function g
4.2. G-Superdiffusion Equation
4.3. Stochastic Interpretation
4.4. The Influence of Parameter on g-Superdiffusion
4.5. G-Subdiffusion for
5. Filtration in a Superdiffusion System
6. Final Remarks
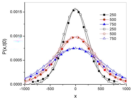
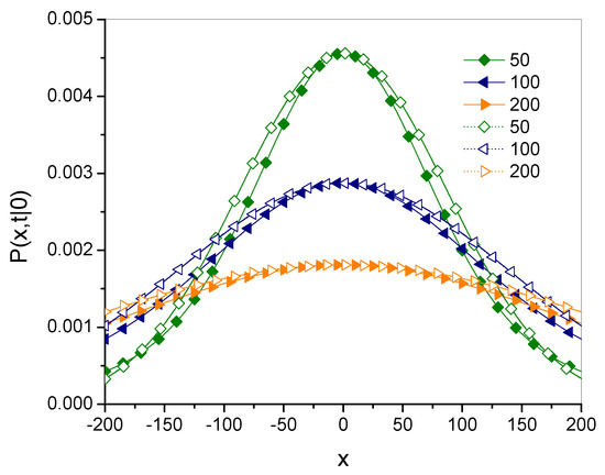
- The g-superdiffusion equation is defined as the g-subdiffusion equation given in Equation (27) with the function g given by Equation (36). This equation can be written in an equivalent form as Equation (41), which contains a Caputo-type fractional time derivative controlled by two parameters, and . The parameter controls the exponent of the time evolution of the MSD given in Equation (39), which defines the type of diffusion. This parameter also defines the order of the Riesz-type derivative with respect to the spatial variable in the fractional superdiffusion equation, which gives the same Green’s function as the g-subdiffusion equation in the limit . The parameter controls the rate of convergence of Green’s functions.
- More generally, due to the relation , the solution to the g-subdiffusion equation asymptotically converges to the solution of the fractional superdiffusion equation when the initial conditions and the parameter are the same for both equations.
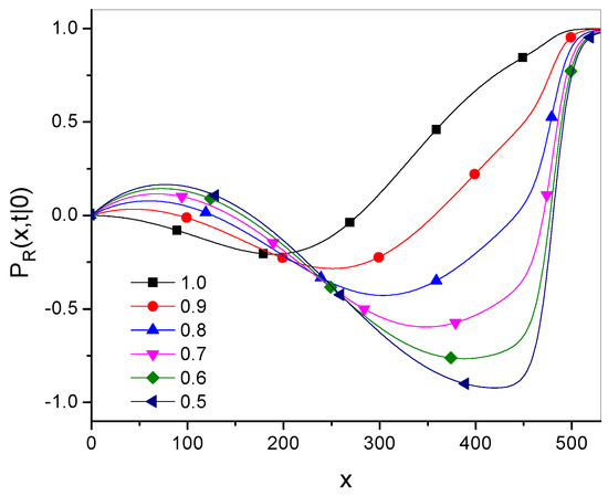
- It appears that the parameter for which the Green’s functions for g-superdiffusion are qualitatively most similar to that for fractional superdiffusion is . This case is considered in Section 4.5.
- The g-subdiffusion equation is “local in space”, so “typical” boundary conditions at partially permeable walls can be used in the superdiffusion model.
- The stochastic interpretation of the g-superdiffusion process is that the jump frequency of a diffusing particle increases over time to infinity. The probability distribution of the jump lengths of a diffusing molecule has finite moments.
- Green’s function for g-subdiffusion gives with .
Funding
Institutional Review Board Statement
Data Availability Statement
Conflicts of Interest
References
- Metzler, R.; Klafter, J. The random walk’s guide to anomalous diffusion: A fractional dynamics approach. Phys. Rep. 2000, 339, 1. [Google Scholar] [CrossRef]
- Metzler, R.; Klafter, J.; Sokolov, I.M. Anomalous transport in external fields: Continuous time random walks and fractional diffusion equations extended. Phys. Rev. E 1998, 58, 1621. [Google Scholar] [CrossRef]
- Compte, A. Stochastic foundations of fractional dynamics. Phys. Rev. E 1996, 53, 4191. [Google Scholar] [CrossRef] [PubMed]
- Denisov, S.I.; Kantz, H. Continuous-time random walk with a superheavy-tailed distribution of waiting times. Phys. Rev. E 2011, 83, 041132. [Google Scholar] [CrossRef]
- Montroll, E.W.; Weiss, G.H. Random walks on lattices. II. J. Math. Phys. 1965, 6, 167. [Google Scholar] [CrossRef]
- Klafter, J.; Sokolov, I.M. First Step in Random Walks. From Tools to Applications; Oxford UP: New York, NY, USA, 2011. [Google Scholar]
- Barkai, E.; Metzler, R.; Klafter, J. From continuous time random walks to the fractional Fokker-Planck equation. Phys. Rev. E 2000, 61, 132. [Google Scholar] [CrossRef]
- Barkai, E. Fractional Fokker-Planck equation, solution, and application. Phys. Rev. E 2001, 63, 046118. [Google Scholar] [CrossRef]
- Klages, R.; Radons, G.; Sokolov, I.M. Anomalous Transport: Foundations and Applications; Wiley: New York, NY, USA, 2008. [Google Scholar]
- Sokolov, I.M.; Klafter, J.; Blumen, A. Fractional kinetics. Phys. Today 2002, 55, 48–54. [Google Scholar] [CrossRef]
- Sokolov, I.M.; Klafter, J. From diffusion to anomalous diffusion: A century after Einstein’s Brownian motion. Chaos 2005, 15, 026103. [Google Scholar] [CrossRef]
- Hilfer, R.; Anton, L. Fractional master equations and fractal time random walks. Phys. Rev. E 1995, 51, R848. [Google Scholar] [CrossRef]
- Wyss, W. The fractional diffusion equation. J. Math. Phys. 1986, 27, 2782. [Google Scholar] [CrossRef]
- Chechkin, A.V.; Klafter, J.; Sokolov, I.M. Fractional Fokker-Planck equation for ultraslow kinetics. Europhys. Lett. 2003, 63, 326. [Google Scholar] [CrossRef]
- Chechkin, A.V.; Gonchar, V.Y.; Gorenflo, R.; Korabel, N.; Sokolov, I.M. Generalized fractional diffusion equations for accelerating subdiffusion and truncated Levy flights. Phys Rev. E 2008, 78, 021111. [Google Scholar] [CrossRef] [PubMed]
- Barkai, E.; Garini, Y.; Metzler, R. Strange kinetics of single molecules in living cells. Phys. Today 2012, 65, 29. [Google Scholar] [CrossRef]
- Metzler, R.; Jeon, J.H.; Cherstvy, A.G.; Barkai, E. Anomalous diffusion models and their properties: Non-stationarity, non-ergodicity, and ageing at the centenary of single particle tracking. Phys. Chem. Chem. Phys. 2014, 16, 24128. [Google Scholar] [CrossRef]
- Cherstvy, A.G.; Safdari, H.; Metzler, R. Anomalous diffusion, nonergodicity, and ageing for exponentially and logarithmically time–dependent diffusivity: Striking differences for massive versus massless particles. J. Phys. D Appl. Phys. 2021, 54, 195401. [Google Scholar] [CrossRef]
- Metzler, R.; Klafter, J. The restaurant at the end of the random walk: Recent developments in the description of anomalous transport by fractional dynamics. J. Phys. A 2004, 37, R161. [Google Scholar] [CrossRef]
- Kosztołowicz, T.; Dutkiewicz, A. Subdiffusion equation with Caputo fractional derivative with respect to another function. Phys. Rev. E 2021, 104, 014118. [Google Scholar] [CrossRef]
- Almeida, R. A Caputo fractional derivative of a function with respect to another function. Commun. Nonlinear Sci. Numer. Simul. 2017, 44, 460. [Google Scholar] [CrossRef]
- Sokolov, I.M. Thermodynamics and fractional Fokker-Planck equations. Phys. Rev. E 2001, 63, 056111. [Google Scholar] [CrossRef]
- Feller, W. An Introduction to Probability Theory and Its Applications, Volume 2; Wiley: New York, NY, USA, 1968. [Google Scholar]
- Chechkin, A.V.; Seno, F.; Metzler, R.; Sokolov, I.M. Brownian yet non-Gaussian diffusion: From superstatistics to subordination of diffusing diffusivities. Phys. Rev. X 2017, 7, 021002. [Google Scholar] [CrossRef]
- Dybiec, B.; Gudowska-Nowak, E. Subordinated diffusion and continuous time random walk asymptotics. Chaos 2010, 20, 043129. [Google Scholar] [CrossRef] [PubMed]
- Chechkin, A.; Sokolov, I.M. Relation between generalized diffusion equations and subordination schemes. Phys. Rev. E 2021, 103, 032133. [Google Scholar] [CrossRef]
- Kosztołowicz, T. Subdiffusion equation with fractional Caputo time derivative with respect to another function in modeling transition from ordinary subdiffusion to superdiffusion. Phys. Rev. E 2023, 107, 064103. [Google Scholar] [CrossRef]
- Kosztołowicz, T.; Dutkiewicz, A. Composite subdiffusion equation that describes transient subdiffusion. Phys. Rev. E 2022, 106, 044119. [Google Scholar] [CrossRef]
- Kosztołowicz, T. From the solutions of diffusion equation to the solutions of subdiffusive one. J. Phys. A Math. Gen. 2004, 37, 10779. [Google Scholar] [CrossRef][Green Version]
- Mainardi, F. The fundamental solutions for the fractional diffusion–wave equation. Appl. Math. Lett. 1996, 9, 23. [Google Scholar] [CrossRef]
- Mainardi, F.; Luchko, Y.; Pagnini, G. The fundamental solutions of the space–time fractional diffusion equation. Fract. Calc. Appl. Anal. 2001, 4, 153. [Google Scholar]
- Mainardi, F.; Pagnini, G.; Saxena, R.K. Fox H functions in fractional diffusion. J. Comput. Appl. Math. 2005, 178, 321. [Google Scholar] [CrossRef]
- Apelblat, A.; Mainardi, F. Application of the Efros theorem to the function represented by the inverse Laplace transform of s−μe−sν. Symmetry 2021, 13, 354. [Google Scholar] [CrossRef]
- Kosztołowicz, T. Model of anomalous diffusion-absorption process in a system consisting of two different media separated by a thin membrane. Phys. Rev. E 2019, 99, 022127. [Google Scholar] [CrossRef] [PubMed]
- Mathai, A.M.; Saxena, R.K.; Haubold, H.J. The H-Function. Theory and Applications; Springer: New York, NY, USA, 2010. [Google Scholar]
- Fahad, H.M.; Rehman, M.U.; Fernandez, A. On Laplace transforms with respect to functions and their applications to fractional differential equations. arXiv 2021, arXiv:1907.04541. [Google Scholar] [CrossRef]
- Jarad, F.; Abdeljawad, T. Generalized fractional derivatives and Laplace transform. Discret. Contin. Dyn. Syst.-Ser. S 2020, 13, 709. [Google Scholar] [CrossRef]
- Kosztołowicz, T.; Dutkiewicz, A. Stochastic interpretation of g-subdiffusion process. Phys. Rev. E 2021, 104, L042101. [Google Scholar] [CrossRef]
- Metzler, R.; Klafter, J. Boundary value problems for fractional diffusion equations. Physica A 2000, 278, 107. [Google Scholar] [CrossRef]







Disclaimer/Publisher’s Note: The statements, opinions and data contained in all publications are solely those of the individual author(s) and contributor(s) and not of MDPI and/or the editor(s). MDPI and/or the editor(s) disclaim responsibility for any injury to people or property resulting from any ideas, methods, instructions or products referred to in the content. |
© 2025 by the author. Licensee MDPI, Basel, Switzerland. This article is an open access article distributed under the terms and conditions of the Creative Commons Attribution (CC BY) license (https://creativecommons.org/licenses/by/4.0/).
Share and Cite
Kosztołowicz, T. Subdiffusion Equation with Fractional Caputo Time Derivative with Respect to Another Function in Modeling Superdiffusion. Entropy 2025, 27, 48. https://doi.org/10.3390/e27010048
Kosztołowicz T. Subdiffusion Equation with Fractional Caputo Time Derivative with Respect to Another Function in Modeling Superdiffusion. Entropy. 2025; 27(1):48. https://doi.org/10.3390/e27010048
Chicago/Turabian StyleKosztołowicz, Tadeusz. 2025. "Subdiffusion Equation with Fractional Caputo Time Derivative with Respect to Another Function in Modeling Superdiffusion" Entropy 27, no. 1: 48. https://doi.org/10.3390/e27010048
APA StyleKosztołowicz, T. (2025). Subdiffusion Equation with Fractional Caputo Time Derivative with Respect to Another Function in Modeling Superdiffusion. Entropy, 27(1), 48. https://doi.org/10.3390/e27010048

