Estimating Molecular Thermal Averages with the Quantum Equation of Motion and Informationally Complete Measurements
Abstract
1. Introduction
2. Quantum Equation of Motion
3. Informationally-Complete POVMs
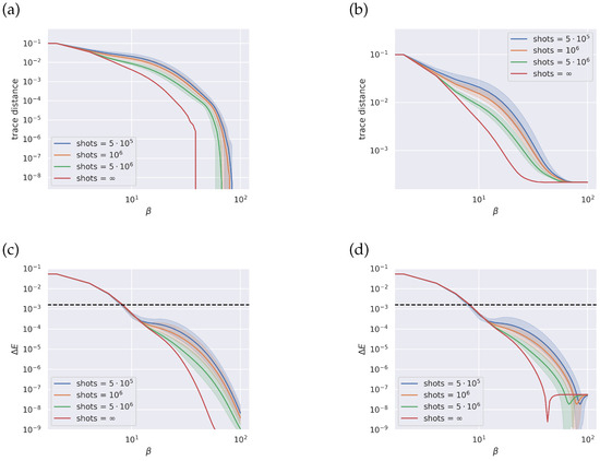
4. Results
5. Conclusions
Author Contributions
Funding
Institutional Review Board Statement
Data Availability Statement
Acknowledgments
Conflicts of Interest
References
- McArdle, S.; Endo, S.; Aspuru-Guzik, A.; Benjamin, S.C.; Yuan, X. Quantum computational chemistry. Rev. Mod. Phys. 2020, 92, 015003. [Google Scholar] [CrossRef]
- Alhambra, A.M. Quantum Many-Body Systems in Thermal Equilibrium. PRX Quantum 2023, 4, 040201. [Google Scholar] [CrossRef]
- Wiese, U.J. Ultracold quantum gases and lattice systems: Quantum simulation of lattice gauge theories. Annalen Physik 2013, 525, 777–796. [Google Scholar] [CrossRef]
- Booth, G.H.; Alavi, A. Approaching Chemical Accuracy Using Full Configuration-Interaction Quantum Monte Carlo: A Study of Ionization Potentials. J. Chem. Phys. 2010, 132, 174104. [Google Scholar] [CrossRef]
- Tubman, N.M.; Lee, J.; Takeshita, T.Y.; Head-Gordon, M.; Whaley, K.B. A Deterministic Alternative to the Full Configuration Interaction Quantum Monte Carlo Method. J. Chem. Phys. 2016, 145, 044112. [Google Scholar] [CrossRef] [PubMed]
- Heger, M.W.; Koch, C.P.; Reich, D.M. Optimized sampling of mixed-state observables. Phys. Rev. E 2019, 100, 052105. [Google Scholar] [CrossRef] [PubMed]
- Knecht, S.; Hedegård, E.D.; Keller, S.; Kovyrshin, A.; Ma, Y.; Muolo, A.; Stein, C.J.; Reiher, M. New Approaches for Ab Initio Calculations of Molecules with Strong Electron Correlation. Chimia 2016, 70, 244. [Google Scholar] [CrossRef] [PubMed]
- Hastings, M.B. Quantum Belief Propagation: An Algorithm for Thermal Quantum Systems. Phys. Rev. B 2007, 76, 201102. [Google Scholar] [CrossRef]
- Stoudenmire, E.M.; White, S.R. Minimally Entangled Typical Thermal State Algorithms. New J. Phys. 2010, 12, 055026. [Google Scholar] [CrossRef]
- White, S.R. Minimally Entangled Typical Quantum States at Finite Temperature. Phys. Rev. Lett. 2009, 102, 190601. [Google Scholar] [CrossRef] [PubMed]
- Nielsen, M.A.; Chuang, I.L. Quantum Computation and Quantum Information: 10th Anniversary Edition; Cambridge University Press: Cambridge, UK, 2010. [Google Scholar]
- Lau, J.W.Z.; Lim, K.H.; Shrotriya, H.; Kwek, L.C. NISQ computing: Where are we and where do we go? AAPPS Bull. 2022, 32, 27. [Google Scholar] [CrossRef]
- Temme, K.; Osborne, T.J.; Vollbrecht, K.G.; Poulin, D.; Verstraete, F. Quantum Metropolis Sampling. Nature 2011, 471, 87–90. [Google Scholar] [CrossRef] [PubMed]
- Yung, M.H.; Aspuru-Guzik, A. A quantum–quantum Metropolis algorithm. Proc. Natl. Acad. Sci. USA 2012, 109, 754–759. [Google Scholar] [CrossRef] [PubMed]
- Poulin, D.; Wocjan, P. Sampling from the Thermal Quantum Gibbs State and Evaluating Partition Functions with a Quantum Computer. Phys. Rev. Lett. 2009, 103, 220502. [Google Scholar] [CrossRef] [PubMed]
- Selisko, J.; Amsler, M.; Hammerschmidt, T.; Drautz, R.; Eckl, T. Extending the Variational Quantum Eigensolver to Finite Temperatures. arXiv 2022, arXiv:2208.07621. [Google Scholar] [CrossRef]
- Verdon, G.; Marks, J.; Nanda, S.; Leichenauer, S.; Hidary, J. Quantum Hamiltonian-Based Models and the Variational Quantum Thermalizer Algorithm. arXiv 2019, arXiv:1910.02071. [Google Scholar]
- Wu, J.; Hsieh, T.H. Variational Thermal Quantum Simulation via Thermofield Double States. Phys. Rev. Lett. 2019, 123, 220502. [Google Scholar] [CrossRef]
- Sagastizabal, R.; Premaratne, S.P.; Klaver, B.A.; Rol, M.A.; Negîrneac, V.; Moreira, M.S.; Zou, X.; Johri, S.; Muthusubramanian, N.; Beekman, M.; et al. Variational preparation of finite-temperature states on a quantum computer. NPJ Quantum Inf. 2021, 7, 130. [Google Scholar] [CrossRef]
- Knecht, S.; Marian, C.M.; Kongsted, J.; Mennucci, B. On the Photophysics of Carotenoids: A Multireference DFT Study of Peridinin. J. Phys. Chem. B 2013, 117, 13808–13815. [Google Scholar] [CrossRef] [PubMed]
- Christensen, R.L.; Galinato, M.G.I.; Chu, E.F.; Howard, J.N.; Broene, R.D.; Frank, H.A. Energies of Low-Lying Excited States of Linear Polyenes. J. Phys. Chem. A 2008, 112, 12629–12636. [Google Scholar] [CrossRef] [PubMed]
- Tavan, P.; Schulten, K. The 2 1Ag–1 1Bu Energy Gap in the Polyenes: An Extended Configuration Interaction Study. J. Chem. Phys. 2008, 70, 5407–5413. [Google Scholar] [CrossRef]
- Christensen, R.L.; Barney, E.A.; Broene, R.D.; Galinato, M.G.I.; Frank, H.A. Linear Polyenes: Models for the Spectroscopy and Photophysics of Carotenoids. Arch. Biochem. Biophys. 2004, 430, 30–36. [Google Scholar] [CrossRef] [PubMed]
- Krawczyk, S.; Luchowski, R. Vibronic Structure and Coupling of Higher Excited Electronic States in Carotenoids. Chem. Phys. Lett. 2013, 564, 83–87. [Google Scholar] [CrossRef]
- Polívka, T.; Sundström, V. Carotenoid Excited States-Photophysics, Ultrafast Dynamics and Photosynthetic Functions. In Frontiers of Optical Spectroscopy; Di Bartolo, B., Forte, O., Eds.; NATO Science Series II: Mathematics, Physics and Chemistry; Springer: Dordrecht, The Netherlands, 2005; pp. 187–219. [Google Scholar]
- Ollitrault, P.J.; Kandala, A.; Chen, C.F.; Barkoutsos, P.K.; Mezzacapo, A.; Pistoia, M.; Sheldon, S.; Woerner, S.; Gambetta, J.; Tavernelli, I. Quantum equation of motion for computing molecular excitation energies on a noisy quantum processor. Phys. Rev. Res. 2020, 2, 043140. [Google Scholar] [CrossRef]
- Rizzo, J.; Libbi, F.; Tacchino, F.; Ollitrault, P.J.; Marzari, N.; Tavernelli, I. One-particle Green’s functions from the quantum equation of motion algorithm. Phys. Rev. Res. 2022, 4, 043011. [Google Scholar] [CrossRef]
- Motta, M.; Kirby, W.; Liepuoniute, I.; Sung, K.J.; Cohn, J.; Mezzacapo, A.; Klymko, K.; Nguyen, N.; Yoshioka, N.; Rice, J.E. Subspace methods for electronic structure simulations on quantum computers. arXiv 2023, arXiv:2312.00178. [Google Scholar] [CrossRef]
- Urbanek, M.; Camps, D.; Van Beeumen, R.; de Jong, W.A. Chemistry on Quantum Computers with Virtual Quantum Subspace Expansion. J. Chem. Theory Comput. 2020, 16, 5425–5431. [Google Scholar] [CrossRef]
- Takeshita, T.; Rubin, N.C.; Jiang, Z.; Lee, E.; Babbush, R.; McClean, J.R. Increasing the Representation Accuracy of Quantum Simulations of Chemistry without Extra Quantum Resources. Phys. Rev. X 2020, 10, 011004. [Google Scholar] [CrossRef]
- Stair, N.H.; Huang, R.; Evangelista, F.A. A Multireference Quantum Krylov Algorithm for Strongly Correlated Electrons. J. Chem. Theory Comput. 2020, 16, 2236–2245. [Google Scholar] [CrossRef] [PubMed]
- Cortes, C.L.; Gray, S.K. Quantum Krylov subspace algorithms for ground- and excited-state energy estimation. Phys. Rev. A 2022, 105, 022417. [Google Scholar] [CrossRef]
- Gandon, A.; Baiardi, A.; Ollitrault, P.; Tavernelli, I. Non-adiabatic quantum dynamics with fermionic subspace-expansion algorithms on quantum computers. arXiv 2024, arXiv:2402.15371. [Google Scholar]
- Reinholdt, P.; Kjellgren, E.R.; Fuglsbjerg, J.H.; Ziems, K.M.; Coriani, S.; Sauer, S.P.A.; Kongsted, J. Subspace methods for the simulation of molecular response properties on a quantum computer. arXiv 2024, arXiv:2402.12186. [Google Scholar] [CrossRef] [PubMed]
- Jensen, P.W.K.; Kjellgren, E.R.; Reinholdt, P.; Ziems, K.M.; Coriani, S.; Kongsted, J.; Sauer, S.P.A. Quantum Equation of Motion with Orbital Optimization for Computing Molecular Properties in Near-Term Quantum Computing. arXiv 2024, arXiv:2312.12386. [Google Scholar] [CrossRef] [PubMed]
- Rowe, D.J. Equations-of-Motion Method and the Extended Shell Model. RMP 1968, 40, 153–166. [Google Scholar] [CrossRef]
- Peruzzo, A.; McClean, J.; Shadbolt, P.; Yung, M.H.; Zhou, X.Q.; Love, P.J.; Aspuru-Guzik, A.; O’Brien, J.L. A Variational Eigenvalue Solver on a Photonic Quantum Processor. Nat. Commun. 2014, 5, 4213. [Google Scholar] [CrossRef] [PubMed]
- Chen, C.F.; Brandão, F.G.S.L. Fast Thermalization from the Eigenstate Thermalization Hypothesis. arXiv 2022, arXiv:2112.07646. [Google Scholar]
- Knill, E.; Ortiz, G.; Somma, R.D. Optimal quantum measurements of expectation values of observables. Phys. Rev. A 2007, 75, 012328. [Google Scholar] [CrossRef]
- Kandala, A.; Mezzacapo, A.; Temme, K.; Takita, M.; Brink, M.; Chow, J.M.; Gambetta, J.M. Hardware-Efficient Variational Quantum Eigensolver for Small Molecules and Quantum Magnets. Nature 2017, 549, 242–246. [Google Scholar] [CrossRef]
- Yen, T.C.; Verteletskyi, V.; Izmaylov, A.F. Measuring All Compatible Operators in One Series of Single-Qubit Measurements Using Unitary Transformations. J. Chem. Theory Comput. 2020, 16, 2400–2409. [Google Scholar] [CrossRef]
- Huggins, W.J.; McClean, J.R.; Rubin, N.C.; Jiang, Z.; Wiebe, N.; Whaley, K.B.; Babbush, R. Efficient and Noise Resilient Measurements for Quantum Chemistry on Near-Term Quantum Computers. NPJ Quantum Inf. 2021, 7, 23. [Google Scholar] [CrossRef]
- Bonet-Monroig, X.; Babbush, R.; O’Brien, T.E. Nearly Optimal Measurement Scheduling for Partial Tomography of Quantum States. Phys. Rev. X 2020, 10, 031064. [Google Scholar] [CrossRef]
- Cotler, J.; Wilczek, F. Quantum Overlapping Tomography. Phys. Rev. Lett. 2020, 124, 100401. [Google Scholar] [CrossRef] [PubMed]
- Izmaylov, A.F.; Yen, T.C.; Ryabinkin, I.G. Revising the measurement process in the variational quantum eigensolver: Is it possible to reduce the number of separately measured operators? Chem. Sci. 2019, 10, 3746–3755. [Google Scholar] [CrossRef] [PubMed]
- Huang, H.Y.; Kueng, R.; Preskill, J. Predicting Many Properties of a Quantum System from Very Few Measurements. Nat. Phys. 2020, 16, 1050–1057. [Google Scholar] [CrossRef]
- Hadfield, C.; Bravyi, S.; Raymond, R.; Mezzacapo, A. Measurements of Quantum Hamiltonians with Locally-Biased Classical Shadows. arXiv 2020, arXiv:2006.15788. [Google Scholar] [CrossRef]
- Huang, H.Y.; Kueng, R.; Preskill, J. Efficient Estimation of Pauli Observables by Derandomization. Phys. Rev. Lett. 2021, 127, 030503. [Google Scholar] [CrossRef]
- Nakaji, K.; Endo, S.; Matsuzaki, Y.; Hakoshima, H. Measurement optimization of variational quantum simulation by classical shadow and derandomization. Quantum 2023, 7, 995. [Google Scholar] [CrossRef]
- Wang, G.; Koh, D.E.; Johnson, P.D.; Cao, Y. Minimizing Estimation Runtime on Noisy Quantum Computers. PRX Quantum 2021, 2, 010346. [Google Scholar] [CrossRef]
- Torlai, G.; Mazzola, G.; Carrasquilla, J.; Troyer, M.; Melko, R.; Carleo, G. Neural-Network Quantum State Tomography. Nat. Phys. 2018, 14, 447–450. [Google Scholar] [CrossRef]
- García-Pérez, G.; Rossi, M.A.; Sokolov, B.; Tacchino, F.; Barkoutsos, P.K.; Mazzola, G.; Tavernelli, I.; Maniscalco, S. Learning to Measure: Adaptive Informationally Complete Generalized Measurements for Quantum Algorithms. PRX Quantum 2021, 2, 040342. [Google Scholar] [CrossRef]
- Glos, A.; Nykänen, A.; Borrelli, E.M.; Maniscalco, S.; Rossi, M.A.C.; Zimborás, Z.; García-Pérez, G. Adaptive POVM implementations and measurement error mitigation strategies for near-term quantum devices. arXiv 2022, arXiv:2208.07817. [Google Scholar]
- Abrams, D.S.; Lloyd, S. Simulation of Many-Body Fermi Systems on a Universal Quantum Computer. Phys. Rev. Lett. 1997, 79, 2586–2589. [Google Scholar] [CrossRef]
- Abrams, D.S.; Lloyd, S. Quantum Algorithm Providing Exponential Speed Increase for Finding Eigenvalues and Eigenvectors. Phys. Rev. Lett. 1999, 83, 5162–5165. [Google Scholar] [CrossRef]
- Aspuru-Guzik, A.; Dutoi, A.D.; Love, P.J.; Head-Gordon, M. Simulated Quantum Computation of Molecular Energies. Science 2005, 309, 1704–1707. [Google Scholar] [CrossRef] [PubMed]
- Bravyi, S.B.; Kitaev, A.Y. Fermionic Quantum Computation. Ann. Phys. 2002, 298, 210–226. [Google Scholar] [CrossRef]
- Jiang, Z.; Kalev, A.; Mruczkiewicz, W.; Neven, H. Optimal fermion-to-qubit mapping via ternary trees with applications to reduced quantum states learning. Quantum 2020, 4, 276. [Google Scholar] [CrossRef]
- Bravyi, S.; Gambetta, J.M.; Mezzacapo, A.; Temme, K. Tapering off qubits to simulate fermionic Hamiltonians. arXiv 2017, arXiv:1701.08213. [Google Scholar]
- Setia, K.; Whitfield, J.D. Bravyi-Kitaev Superfast simulation of electronic structure on a quantum computer. J. Chem. Phys. 2018, 148, 164104. [Google Scholar] [CrossRef] [PubMed]
- McClean, J.R.; Romero, J.; Babbush, R.; Aspuru-Guzik, A. The Theory of Variational Hybrid Quantum-Classical Algorithms. New J. Phys. 2016, 18, 023023. [Google Scholar] [CrossRef]
- Aaronson, S. Shadow tomography of quantum states. In Proceedings of the 50th Annual ACM SIGACT Symposium on Theory of Computing, STOC 2018, New York, NY, USA, 25–29 June 2018; pp. 325–338. [Google Scholar]
- Acharya, A.; Saha, S.; Sengupta, A.M. Shadow tomography based on informationally complete positive operator-valued measure. Phys. Rev. A 2021, 104, 052418. [Google Scholar] [CrossRef]
- Cattaneo, M.; Rossi, M.A.C.; Korhonen, K.; Borrelli, E.M.; García-Pérez, G.; Zimborás, Z.; Cavalcanti, D. Self-consistent quantum measurement tomography based on semidefinite programming. Phys. Rev. Res. 2023, 5, 033154. [Google Scholar] [CrossRef]
- Dunning, T.H.J. Gaussian basis sets for use in correlated molecular calculations. I. The atoms boron through neon and hydrogen. J. Chem. Phys. 1989, 90, 1007–1023. [Google Scholar] [CrossRef]
- Sun, Q.; Berkelbach, T.C.; Blunt, N.S.; Booth, G.H.; Guo, S.; Li, Z.; Liu, J.; McClain, J.D.; Sayfutyarova, E.R.; Sharma, S.; et al. PySCF: The Python-based simulations of chemistry framework. Wiley Interdiscip. Rev. Comput. Mol. Sci. 2018, 8, e1340. [Google Scholar] [CrossRef]
- Sun, Q.; Zhang, X.; Banerjee, S.; Bao, P.; Barbry, M.; Blunt, N.S.; Bogdanov, N.A.; Booth, G.H.; Chen, J.; Cui, Z.H.; et al. Recent developments in the PySCF program package. J. Chem. Phys. 2020, 153, 024109. [Google Scholar] [CrossRef] [PubMed]
- Schmidt, M.W.; Gordon, M.S. The construction and interpretation of MCSCF wavefunctions. Annu. Rev. Phys. Chem. 1998, 49, 233–266. [Google Scholar] [CrossRef] [PubMed]
- Qiskit contributors. Qiskit: An Open-source Framework for Quantum Computing. 2023. Available online: https://zenodo.org/records/8190968 (accessed on 19 June 2024).
- Algorithmiq Ltd. Aurora v.0.1; Algorithmiq Ltd.: Helsinki, Finland, 2023. [Google Scholar]
- Johansson, J.; Nation, P.; Nori, F. QuTiP: An open-source Python framework for the dynamics of open quantum systems. Comput. Phys. Commun. 2012, 183, 1760–1772. [Google Scholar] [CrossRef]
- Johansson, J.; Nation, P.; Nori, F. QuTiP 2: A Python framework for the dynamics of open quantum systems. Comput. Phys. Commun. 2013, 184, 1234–1240. [Google Scholar] [CrossRef]
- Sokolov, I.O.; Barkoutsos, P.K.; Ollitrault, P.J.; Greenberg, D.; Rice, J.; Pistoia, M.; Tavernelli, I. Quantum orbital-optimized unitary coupled cluster methods in the strongly correlated regime: Can quantum algorithms outperform their classical equivalents? J. Chem. Phys. 2020, 152, 124107. [Google Scholar] [CrossRef]
- Barkoutsos, P.K.; Gonthier, J.F.; Sokolov, I.; Moll, N.; Salis, G.; Fuhrer, A.; Ganzhorn, M.; Egger, D.J.; Troyer, M.; Mezzacapo, A.; et al. Quantum algorithms for electronic structure calculations: Particle-hole Hamiltonian and optimized wave-function expansions. Phys. Rev. A 2018, 98, 022322. [Google Scholar] [CrossRef]



Disclaimer/Publisher’s Note: The statements, opinions and data contained in all publications are solely those of the individual author(s) and contributor(s) and not of MDPI and/or the editor(s). MDPI and/or the editor(s) disclaim responsibility for any injury to people or property resulting from any ideas, methods, instructions or products referred to in the content. |
© 2024 by the authors. Licensee MDPI, Basel, Switzerland. This article is an open access article distributed under the terms and conditions of the Creative Commons Attribution (CC BY) license (https://creativecommons.org/licenses/by/4.0/).
Share and Cite
Morrone, D.; Talarico, N.W.; Cattaneo, M.; Rossi, M.A.C. Estimating Molecular Thermal Averages with the Quantum Equation of Motion and Informationally Complete Measurements. Entropy 2024, 26, 722. https://doi.org/10.3390/e26090722
Morrone D, Talarico NW, Cattaneo M, Rossi MAC. Estimating Molecular Thermal Averages with the Quantum Equation of Motion and Informationally Complete Measurements. Entropy. 2024; 26(9):722. https://doi.org/10.3390/e26090722
Chicago/Turabian StyleMorrone, Daniele, N. Walter Talarico, Marco Cattaneo, and Matteo A. C. Rossi. 2024. "Estimating Molecular Thermal Averages with the Quantum Equation of Motion and Informationally Complete Measurements" Entropy 26, no. 9: 722. https://doi.org/10.3390/e26090722
APA StyleMorrone, D., Talarico, N. W., Cattaneo, M., & Rossi, M. A. C. (2024). Estimating Molecular Thermal Averages with the Quantum Equation of Motion and Informationally Complete Measurements. Entropy, 26(9), 722. https://doi.org/10.3390/e26090722

