Hilbert Space Delocalization under Random Unitary Circuits
Abstract
1. Introduction
2. Methods
3. Delocalization Properties of Random Haar States
4. Hilbert Space Delocalization in Brick Wall Quantum Circuits
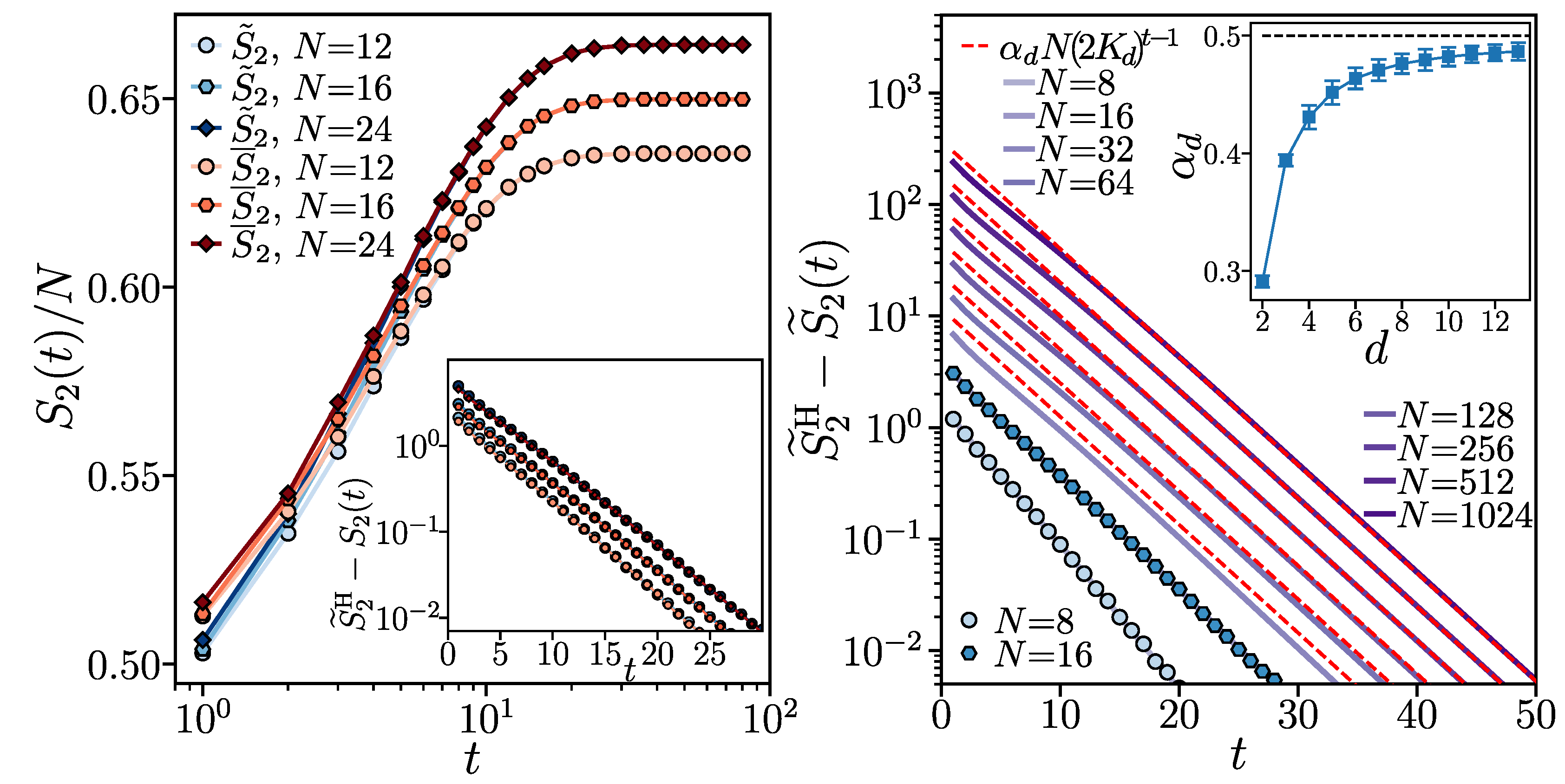
5. Two-Replica Computations
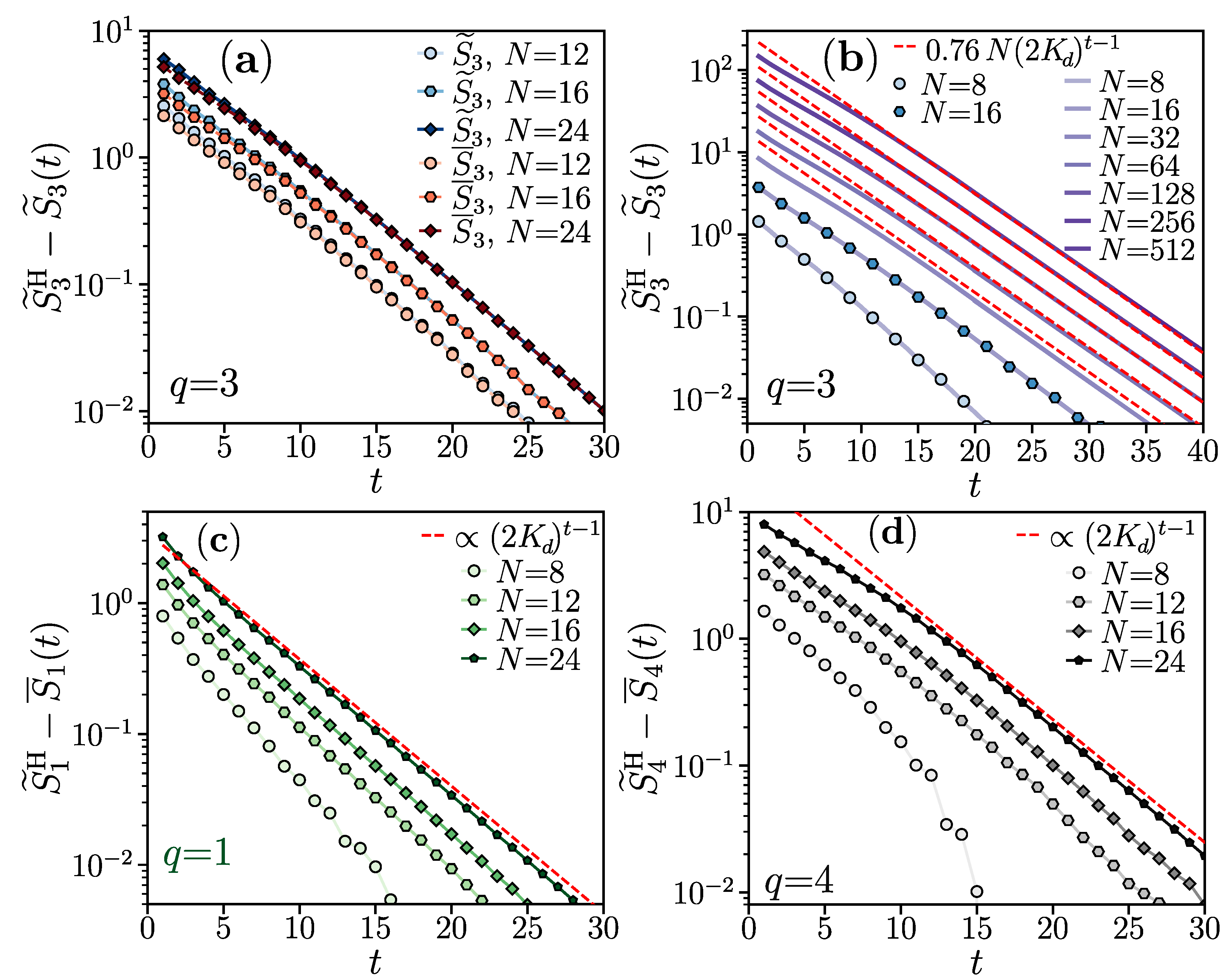
6. Numerical Results for Any Replica
7. Discussion and Conclusions
Author Contributions
Funding
Institutional Review Board Statement
Data Availability Statement
Acknowledgments
Conflicts of Interest
Appendix A. Schur-Weyl Duality and Integration over Haar Unitaries

Appendix B. Entanglement Growth for Finite Circuits
Appendix C. Details of the Numerical Implementation
Appendix C.1. Exact Computational Methods
Appendix C.2. Tensor Network Simulations
References
- Zurek, W.H. Decoherence, einselection, and the quantum origins of the classical. Rev. Mod. Phys. 2003, 75, 715–775. [Google Scholar] [CrossRef]
- Nielsen, M.A.; Chuang, I.L. Quantum Computation and Quantum Information; Cambridge University Press: Cambridge, UK, 2000. [Google Scholar]
- Preskill, J. Quantum Computing in the NISQ era and beyond. Quantum 2018, 2, 79. [Google Scholar] [CrossRef]
- Amico, L.; Fazio, R.; Osterloh, A.; Vedral, V. Entanglement in many-body systems. Rev. Mod. Phys. 2008, 80, 517–576. [Google Scholar] [CrossRef]
- Laflorencie, N. Quantum entanglement in condensed matter systems. Phys. Rep. 2016, 646, 1–59. [Google Scholar] [CrossRef]
- D’Alessio, L.; Kafri, Y.; Polkovnikov, A.; Rigol, M. From quantum chaos and eigenstate thermalization to statistical mechanics and thermodynamics. Adv. Phys. 2016, 65, 239–362. [Google Scholar] [CrossRef]
- Chitambar, E.; Gour, G. Quantum resource theories. Rev. Mod. Phys. 2019, 91, 025001. [Google Scholar] [CrossRef]
- Kelly, S.P.; Poschinger, U.; Schmidt-Kaler, F.; Fisher, M.P.A.; Marino, J. Coherence requirements for quantum communication from hybrid circuit dynamics. SciPost Phys. 2023, 15, 250. [Google Scholar] [CrossRef]
- Stéphan, J.M.; Furukawa, S.; Misguich, G.; Pasquier, V. Shannon and entanglement entropies of one- and two-dimensional critical wave functions. Phys. Rev. B 2009, 80, 184421. [Google Scholar] [CrossRef]
- Stéphan, J.M.; Misguich, G.; Pasquier, V. Rényi entropy of a line in two-dimensional Ising models. Phys. Rev. B 2010, 82, 125455. [Google Scholar] [CrossRef]
- Alcaraz, F.C.; Rajabpour, M.A. Universal Behavior of the Shannon Mutual Information of Critical Quantum Chains. Phys. Rev. Lett. 2013, 111, 017201. [Google Scholar] [CrossRef]
- Luitz, D.J.; Plat, X.; Laflorencie, N.; Alet, F. Improving entanglement and thermodynamic Rényi entropy measurements in quantum Monte Carlo. Phys. Rev. B 2014, 90, 125105. [Google Scholar] [CrossRef]
- Laflorencie, N.; Rachel, S. Spin-resolved entanglement spectroscopy of critical spin chains and Luttinger liquids. J. Stat. Mech. Theory Exp. 2014, 2014, P11013. [Google Scholar] [CrossRef]
- Luitz, D.J.; Alet, F.; Laflorencie, N. Shannon-Rényi entropies and participation spectra across three-dimensional O(3) criticality. Phys. Rev. B 2014, 89, 165106. [Google Scholar] [CrossRef]
- Srednicki, M. Chaos and quantum thermalization. Phys. Rev. E 1994, 50, 888–901. [Google Scholar] [CrossRef] [PubMed]
- Deutsch, J.M. Quantum statistical mechanics in a closed system. Phys. Rev. A 1991, 43, 2046–2049. [Google Scholar] [CrossRef] [PubMed]
- Pappalardi, S.; Foini, L.; Kurchan, J. Eigenstate Thermalization Hypothesis and Free Probability. Phys. Rev. Lett. 2022, 129, 170603. [Google Scholar] [CrossRef] [PubMed]
- Fava, M.; Kurchan, J.; Pappalardi, S. Designs via Free Probability. arXiv 2023, arXiv:2308.06200. [Google Scholar]
- Pappalardi, S.; Fritzsch, F.; Prosen, T. General Eigenstate Thermalization via Free Cumulants in Quantum Lattice Systems. arXiv 2023, arXiv:2303.00713. [Google Scholar]
- Foini, L.; Dymarsky, A.; Pappalardi, S. Out-of-equilibrium Eigenstate Thermalization Hypothesis. arXiv 2024, arXiv:2406.04684. [Google Scholar]
- Bäcker, A.; Haque, M.; Khaymovich, I.M. Multifractal dimensions for random matrices, chaotic quantum maps, and many-body systems. Phys. Rev. E 2019, 100, 032117. [Google Scholar] [CrossRef]
- Pausch, L.; Carnio, E.G.; Rodríguez, A.; Buchleitner, A. Chaos and Ergodicity across the Energy Spectrum of Interacting Bosons. Phys. Rev. Lett. 2021, 126, 150601. [Google Scholar] [CrossRef]
- Fisher, M.P.; Khemani, V.; Nahum, A.; Vijay, S. Random Quantum Circuits. Annu. Rev. Condens. Matter Phys. 2023, 14, 335–379. [Google Scholar] [CrossRef]
- Potter, A.C.; Vasseur, R. Entanglement Dynamics in Hybrid Quantum Circuits. In Entanglement in Spin Chains; Quantum Science and Technology; Bayat, A., Bose, S., Johannesson, H., Eds.; Springer: Cham, Switzerland, 2022. [Google Scholar] [CrossRef]
- Lunt, O.; Richter, J.; Pal, A. Quantum Simulation Using Noisy Unitary Circuits and Measurements. In Entanglement in Spin Chains; Quantum Science and Technology; Bayat, A., Bose, S., Johannesson, H., Eds.; Springer: Cham, Switzerland, 2022. [Google Scholar] [CrossRef]
- Sierant, P.; Turkeshi, X. Universal Behavior beyond Multifractality of Wave Functions at Measurement-Induced Phase Transitions. Phys. Rev. Lett. 2022, 128, 130605. [Google Scholar] [CrossRef]
- Sierant, P.; Schirò, M.; Lewenstein, M.; Turkeshi, X. Measurement-induced phase transitions in (d+1)-dimensional stabilizer circuits. Phys. Rev. B 2022, 106, 214316. [Google Scholar] [CrossRef]
- Chahine, K.; Buchhold, M. Entanglement phases, localization and multifractality of monitored free fermions in two dimensions. arXiv 2023, arXiv:2309.12391. [Google Scholar]
- Abanin, D.A.; Altman, E.; Bloch, I.; Serbyn, M. Colloquium: Many-body localization, thermalization, and entanglement. Rev. Mod. Phys. 2019, 91, 021001. [Google Scholar] [CrossRef]
- Sierant, P.; Lewenstein, M.; Scardicchio, A.; Vidmar, L.; Zakrzewski, J. Many-Body Localization in the Age of Classical Computing. arXiv 2024, arXiv:2403.07111. [Google Scholar]
- Evers, F.; Mirlin, A.D. Anderson transitions. Phys. Rev. Lett. 2000, 84, 3690. [Google Scholar] [CrossRef] [PubMed]
- Evers, F.; Mirlin, A.D. Anderson transitions. Rev. Mod. Phys. 2008, 80, 1355. [Google Scholar] [CrossRef]
- Rodriguez, A.; Vasquez, L.J.; Römer, R.A. Multifractal Analysis with the Probability Density Function at the Three-Dimensional Anderson Transition. Phys. Rev. Lett. 2009, 102, 106406. [Google Scholar] [CrossRef]
- Rodriguez, A.; Vasquez, L.J.; Slevin, K.; Romer, R.A. Multifractal finite-size scaling and universality at the Anderson transition. Phys. Rev. Lett. 2010, 105, 046403. [Google Scholar] [CrossRef] [PubMed]
- Luca, A.D.; Scardicchio, A. Ergodicity breaking in a model showing many-body localization. Europhys. Lett. 2013, 101, 37003. [Google Scholar] [CrossRef]
- Macé, N.; Alet, F.; Laflorencie, N. Multifractal Scalings Across the Many-Body Localization Transition. Phys. Rev. Lett. 2019, 123, 180601. [Google Scholar] [CrossRef]
- Pietracaprina, F.; Laflorencie, N. Hilbert-space fragmentation, multifractality, and many-body localization. Ann. Phys. 2021, 435, 168502. [Google Scholar] [CrossRef]
- Altshuler, B.L.; Kravtsov, V.E.; Scardicchio, A.; Sierant, P.; Vanoni, C. Renormalization group for Anderson localization on high-dimensional lattices. arXiv 2024, arXiv:2403.01974. [Google Scholar]
- Scoquart, T.; Gornyi, I.V.; Mirlin, A.D. The role of Fock-space correlations in many-body localization. arXiv 2024, arXiv:2402.10123. [Google Scholar] [CrossRef]
- Vanoni, C.; Altshuler, B.L.; Kravtsov, V.E.; Scardicchio, A. Renormalization Group Analysis of the Anderson Model on Random Regular Graphs. arXiv 2023, arXiv:2306.14965. [Google Scholar]
- Sierant, P.; Lewenstein, M.; Scardicchio, A. Universality in Anderson localization on random graphs with varying connectivity. SciPost Phys. 2023, 15, 45. [Google Scholar] [CrossRef]
- Vanoni, C.; Vitale, V. An analysis of localization transitions using non-parametric unsupervised learning. arXiv 2024, arXiv:2311.16050. [Google Scholar]
- De Tomasi, G.; Khaymovich, I.M. Multifractality Meets Entanglement: Relation for Nonergodic Extended States. Phys. Rev. Lett. 2020, 124, 200602. [Google Scholar] [CrossRef]
- Styliaris, G.; Anand, N.; Campos Venuti, L.; Zanardi, P. Quantum coherence and the localization transition. Phys. Rev. B 2019, 100, 224204. [Google Scholar] [CrossRef]
- Anand, N.; Styliaris, G.; Kumari, M.; Zanardi, P. Quantum coherence as a signature of chaos. Phys. Rev. Res. 2021, 3, 023214. [Google Scholar] [CrossRef]
- Andreadakis, F.; Anand, N.; Zanardi, P. Scrambling of algebras in open quantum systems. Phys. Rev. A 2023, 107, 042217. [Google Scholar] [CrossRef]
- Baumgratz, T.; Cramer, M.; Plenio, M.B. Quantifying Coherence. Phys. Rev. Lett. 2014, 113, 140401. [Google Scholar] [CrossRef]
- Luitz, D.J.; Alet, F.; Laflorencie, N. Universal Behavior beyond Multifractality in Quantum Many-Body Systems. Phys. Rev. Lett. 2014, 112, 057203. [Google Scholar] [CrossRef] [PubMed]
- Nahum, A.; Ruhman, J.; Vijay, S.; Haah, J. Quantum Entanglement Growth under Random Unitary Dynamics. Phys. Rev. X 2017, 7, 031016. [Google Scholar] [CrossRef]
- Nahum, A.; Vijay, S.; Haah, J. Operator Spreading in Random Unitary Circuits. Phys. Rev. X 2018, 8, 021014. [Google Scholar] [CrossRef]
- Chan, A.; De Luca, A.; Chalker, J.T. Spectral Statistics in Spatially Extended Chaotic Quantum Many-Body Systems. Phys. Rev. Lett. 2018, 121, 060601. [Google Scholar] [CrossRef]
- Chan, A.; De Luca, A.; Chalker, J.T. Solution of a Minimal Model for Many-Body Quantum Chaos. Phys. Rev. X 2018, 8, 041019. [Google Scholar] [CrossRef]
- Shivam, S.; De Luca, A.; Huse, D.A.; Chan, A. Many-Body Quantum Chaos and Emergence of Ginibre Ensemble. Phys. Rev. Lett. 2023, 130, 140403. [Google Scholar] [CrossRef]
- Zhou, T.; Nahum, A. Emergent statistical mechanics of entanglement in random unitary circuits. Phys. Rev. B 2019, 99, 174205. [Google Scholar] [CrossRef]
- Zhou, T.; Nahum, A. Entanglement Membrane in Chaotic Many-Body Systems. Phys. Rev. X 2020, 10, 031066. [Google Scholar] [CrossRef]
- Bertini, B.; Piroli, L. Scrambling in random unitary circuits: Exact results. Phys. Rev. B 2020, 102, 064305. [Google Scholar] [CrossRef]
- von Keyserlingk, C.W.; Rakovszky, T.; Pollmann, F.; Sondhi, S.L. Operator Hydrodynamics, OTOCs, and Entanglement Growth in Systems without Conservation Laws. Phys. Rev. X 2018, 8, 021013. [Google Scholar] [CrossRef]
- Rakovszky, T.; Pollmann, F.; von Keyserlingk, C.W. Diffusive Hydrodynamics of Out-of-Time-Ordered Correlators with Charge Conservation. Phys. Rev. X 2018, 8, 031058. [Google Scholar] [CrossRef]
- Khemani, V.; Vishwanath, A.; Huse, D.A. Operator Spreading and the Emergence of Dissipative Hydrodynamics under Unitary Evolution with Conservation Laws. Phys. Rev. X 2018, 8, 031057. [Google Scholar] [CrossRef]
- Sünderhauf, C.; Piroli, L.; Qi, X.L.; Schuch, N.; Cirac, J.I. Quantum chaos in the Brownian SYK model with large finite N: OTOCs and tripartite information. J. High Energy Phys. 2019, 2019, 38. [Google Scholar] [CrossRef]
- Piroli, L.; Sünderhauf, C.; Qi, X.L. A random unitary circuit model for black hole evaporation. J. High Energy Phys. 2020, 2020. [Google Scholar] [CrossRef]
- Foligno, A.; Zhou, T.; Bertini, B. Temporal Entanglement in Chaotic Quantum Circuits. Phys. Rev. X 2023, 13, 041008. [Google Scholar] [CrossRef]
- Dowling, N.; Kos, P.; Modi, K. Scrambling Is Necessary but Not Sufficient for Chaos. Phys. Rev. Lett. 2023, 131, 180403. [Google Scholar] [CrossRef]
- Kos, P.; Bertini, B.; Prosen, T.c.v. Correlations in Perturbed Dual-Unitary Circuits: Efficient Path-Integral Formula. Phys. Rev. X 2021, 11, 011022. [Google Scholar] [CrossRef]
- Claeys, P.W.; Lamacraft, A. Ergodic and Nonergodic Dual-Unitary Quantum Circuits with Arbitrary Local Hilbert Space Dimension. Phys. Rev. Lett. 2021, 126, 100603. [Google Scholar] [CrossRef] [PubMed]
- Sierant, P.; Schirò, M.; Lewenstein, M.; Turkeshi, X. Entanglement Growth and Minimal Membranes in (d+1) Random Unitary Circuits. Phys. Rev. Lett. 2023, 131, 230403. [Google Scholar] [CrossRef]
- Rampp, M.A.; Claeys, P.W. Hayden-Preskill recovery in chaotic and integrable unitary circuit dynamics. arXiv 2023, arXiv:2312.03838. [Google Scholar]
- Fritzsch, F.; Ghosh, R.; Prosen, T. Boundary chaos: Exact entanglement dynamics. SciPost Phys. 2023, 15, 92. [Google Scholar] [CrossRef]
- Bulchandani, V.B.; Sondhi, S.L.; Chalker, J.T. Random-matrix models of monitored quantum circuits. J. Stat. Phys. 2024, 191, 55. [Google Scholar] [CrossRef]
- Luca, A.D.; Liu, C.; Nahum, A.; Zhou, T. Universality classes for purification in nonunitary quantum processes. arXiv 2023, arXiv:2312.17744. [Google Scholar]
- Schollwöck, U. The density-matrix renormalization group in the age of matrix product states. Ann. Phys. 2011, 326, 96–192. [Google Scholar] [CrossRef]
- Orús, R. Tensor networks for complex quantum systems. Nat. Rev. Phys. 2019, 1, 538–550. [Google Scholar] [CrossRef]
- Orús, R. A practical introduction to tensor networks: Matrix product states and projected entangled pair states. Ann. Phys. 2014, 349, 117–158. [Google Scholar] [CrossRef]
- Bañuls, M.C. Tensor Network Algorithms: A Route Map. Annu. Rev. Condens. Matter Phys. 2023, 14, 173–191. [Google Scholar] [CrossRef]
- Fishman, M.; White, S.R.; Stoudenmire, E.M. The ITensor Software Library for Tensor Network Calculations. arXiv 2020, arXiv:2007.14822. [Google Scholar] [CrossRef]
- Fishman, M.; White, S.R.; Stoudenmire, E.M. Codebase release 0.3 for ITensor. SciPost Phys. Codebases 2022, 4–r0.3. [Google Scholar] [CrossRef]
- Turkeshi, X.; Sierant, P. Code for “Hilbert space delocalisation under random unitary circuits”. arXiv 2024, arXiv:2404.10725. [Google Scholar] [CrossRef]
- Breuer, H.P.; Petruccione, F. The Theory of Open Quantum Systems; Oxford University Press on Demand: Oxford, UK, 2002. [Google Scholar]
- Weingarten, D. Asymptotic behavior of group integrals in the limit of infinite rank. J. Math. Phys. 1978, 19, 999–1001. [Google Scholar] [CrossRef]
- Collins, B.; Sniady, P. Integration with respect to the Haar measure on unitary, orthogonal and symplectic group. Commun. Math. Phys. 2006, 264, 773–795. [Google Scholar] [CrossRef]
- Köstenberger, G. Weingarten Calculus. arXiv 2021, arXiv:2101.00921. [Google Scholar]
- Collins, B.; Matsumoto, S.; Novak, J. The Weingarten Calculus. arXiv 2021, arXiv:2109.14890. [Google Scholar] [CrossRef]
- Turkeshi, X.; Schirò, M.; Sierant, P. Measuring nonstabilizerness via multifractal flatness. Phys. Rev. A 2023, 108, 042408. [Google Scholar] [CrossRef]
- Turkeshi, X.; Sierant, P. Error-Resilience Phase Transitions in Encoding-Decoding Quantum Circuits. Phys. Rev. Lett. 2024, 132, 140401. [Google Scholar] [CrossRef]
- Roy, S. Hilbert-space correlations beyond multifractality and bipartite entanglement in many-body localized systems. Phys. Rev. B 2022, 106, L140204. [Google Scholar] [CrossRef]
- Christopoulos, A.; Chan, A.; Luca, A.D. Universal distributions of overlaps from unitary dynamics in generic quantum many-body systems. arXiv 2024, arXiv:2404.10057. [Google Scholar]
- Aaronson, S.; Arkhipov, A. The computational complexity of linear optics. In Proceedings of the Forty-Third Annual ACM Symposium on Theory of Computing, San Jose, CA, USA, 6–8 June 2011; pp. 333–342. [Google Scholar]
- Bremner, M.J.; Montanaro, A.; Shepherd, D.J. Average-Case Complexity Versus Approximate Simulation of Commuting Quantum Computations. Phys. Rev. Lett. 2016, 117, 080501. [Google Scholar] [CrossRef] [PubMed]
- Bouland, A.; Fefferman, B.; Nirkhe, C.; Vazirani, U. On the complexity and verification of quantum random circuit sampling. Nat. Phys. 2019, 15, 159–163. [Google Scholar] [CrossRef]
- Oszmaniec, M.; Dangniam, N.; Morales, M.E.; Zimborás, Z. Fermion Sampling: A Robust Quantum Computational Advantage Scheme Using Fermionic Linear Optics and Magic Input States. PRX Quantum 2022, 3, 020328. [Google Scholar] [CrossRef]
- Dalzell, A.M.; Hunter-Jones, N.; Brandão, F.G.S.L. Random Quantum Circuits Anticoncentrate in Log Depth. PRX Quantum 2022, 3, 010333. [Google Scholar] [CrossRef]
- Bertoni, C.; Haferkamp, J.; Hinsche, M.; Ioannou, M.; Eisert, J.; Pashayan, H. Shallow shadows: Expectation estimation using low-depth random Clifford circuits. arXiv 2023, arXiv:2209.12924. [Google Scholar]
- Kim, H.; Huse, D.A. Ballistic Spreading of Entanglement in a Diffusive Nonintegrable System. Phys. Rev. Lett. 2013, 111, 127205. [Google Scholar] [CrossRef] [PubMed]
- Torres-Herrera, E.J.; García-García, A.M.; Santos, L.F. Generic dynamical features of quenched interacting quantum systems: Survival probability, density imbalance, and out-of-time-ordered correlator. Phys. Rev. B 2018, 97, 060303. [Google Scholar] [CrossRef]
- Creed, I.; Logan, D.E.; Roy, S. Probability transport on the Fock space of a disordered quantum spin chain. Phys. Rev. B 2023, 107, 094206. [Google Scholar] [CrossRef]
- Hopjan, M.; Vidmar, L. Scale-Invariant Survival Probability at Eigenstate Transitions. Phys. Rev. Lett. 2023, 131, 060404. [Google Scholar] [CrossRef]
- Brydges, T.; Elben, A.; Jurcevic, P.; Vermersch, B.; Maier, C.; Lanyon, B.P.; Zoller, P.; Blatt, R.; Roos, C.F. Probing Rényi entanglement entropy via randomized measurements. Science 2019, 364, 260–263. [Google Scholar] [CrossRef] [PubMed]
- Ebadi, S.; Wang, T.T.; Levine, H.; Keesling, A.; Semeghini, G.; Omran, A.; Bluvstein, D.; Samajdar, R.; Pichler, H.; Ho, W.W.; et al. Quantum phases of matter on a 256-atom programmable quantum simulator. Nature 2021, 595, 227–232. [Google Scholar] [CrossRef] [PubMed]
- Arute, F.; Arya, K.; Babbush, R.; Bacon, D.; Bardin, J.C.; Barends, R.; Biswas, R.; Boixo, S.; Brandao, F.G.S.L.; Buell, D.A.; et al. Quantum supremacy using a programmable superconducting processor. Nature 2019, 574, 505–510. [Google Scholar] [CrossRef] [PubMed]
- Wu, Y.; Bao, W.S.; Cao, S.; Chen, F.; Chen, M.C.; Chen, X.; Chung, T.H.; Deng, H.; Du, Y.; Fan, D.; et al. Strong Quantum Computational Advantage Using a Superconducting Quantum Processor. Phys. Rev. Lett. 2021, 127, 180501. [Google Scholar] [CrossRef] [PubMed]
- Boixo, S.; Isakov, S.V.; Smelyanskiy, V.N.; Babbush, R.; Ding, N.; Jiang, Z.; Bremner, M.J.; Martinis, J.M.; Neven, H. Characterizing quantum supremacy in near-term devices. Nat. Phys. 2018, 14, 595–600. [Google Scholar] [CrossRef]
- Liu, Y.; Sierant, P.; Stornati, P.; Lewenstein, M.; Płodzień, M. Quantum Algorithms for Inverse Participation Ratio Estimation in multi-qubit and multi-qudit systems. arXiv 2024, arXiv:2405.03338. [Google Scholar]
- Leone, L.; Oliviero, S.F.E.; Hamma, A. Stabilizer Rényi Entropy. Phys. Rev. Lett. 2022, 128, 050402. [Google Scholar] [CrossRef] [PubMed]
- Haug, T.; Lee, S.; Kim, M.S. Efficient quantum algorithms for stabilizer entropies. arXiv 2023, arXiv:2305.19152. [Google Scholar] [CrossRef]
- Oliviero, S.F.E.; Leone, L.; Hamma, A.; Lloyd, S. Measuring magic on a quantum processor. NPJ Quantum Inf. 2022, 8, 148. [Google Scholar] [CrossRef]
- Gu, A.; Leone, L.; Ghosh, S.; Eisert, J.; Yelin, S.; Quek, Y. A little magic means a lot. arXiv 2023, arXiv:2308.16228. [Google Scholar]
- Tirrito, E.; Tarabunga, P.S.; Lami, G.; Chanda, T.; Leone, L.; Oliviero, S.F.E.; Dalmonte, M.; Collura, M.; Hamma, A. Quantifying non-stabilizerness through entanglement spectrum flatness. Phys. Rev. Lett. 2024, 109, L040401. [Google Scholar] [CrossRef]
- Turkeshi, X.; Dymarsky, A.; Sierant, P. Pauli Spectrum and Magic of Typical Quantum Many-Body States. arXiv 2023, arXiv:2312.11631. [Google Scholar]


Disclaimer/Publisher’s Note: The statements, opinions and data contained in all publications are solely those of the individual author(s) and contributor(s) and not of MDPI and/or the editor(s). MDPI and/or the editor(s) disclaim responsibility for any injury to people or property resulting from any ideas, methods, instructions or products referred to in the content. |
© 2024 by the authors. Licensee MDPI, Basel, Switzerland. This article is an open access article distributed under the terms and conditions of the Creative Commons Attribution (CC BY) license (https://creativecommons.org/licenses/by/4.0/).
Share and Cite
Turkeshi, X.; Sierant, P. Hilbert Space Delocalization under Random Unitary Circuits. Entropy 2024, 26, 471. https://doi.org/10.3390/e26060471
Turkeshi X, Sierant P. Hilbert Space Delocalization under Random Unitary Circuits. Entropy. 2024; 26(6):471. https://doi.org/10.3390/e26060471
Chicago/Turabian StyleTurkeshi, Xhek, and Piotr Sierant. 2024. "Hilbert Space Delocalization under Random Unitary Circuits" Entropy 26, no. 6: 471. https://doi.org/10.3390/e26060471
APA StyleTurkeshi, X., & Sierant, P. (2024). Hilbert Space Delocalization under Random Unitary Circuits. Entropy, 26(6), 471. https://doi.org/10.3390/e26060471

