Mutual Information and Correlations across Topological Phase Transitions in Topologically Ordered Graphene Zigzag Nanoribbons
Abstract
:1. Introduction
2. Hamiltonian Model
3. Mutual Information
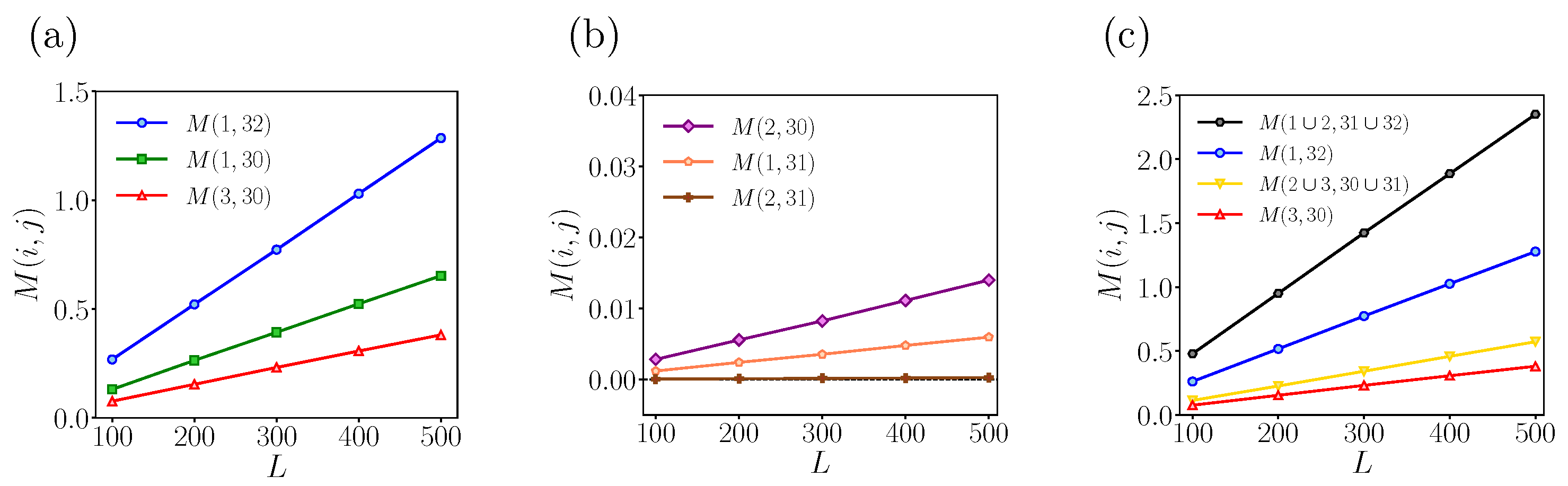
4. Results for Topologically Ordered Phase
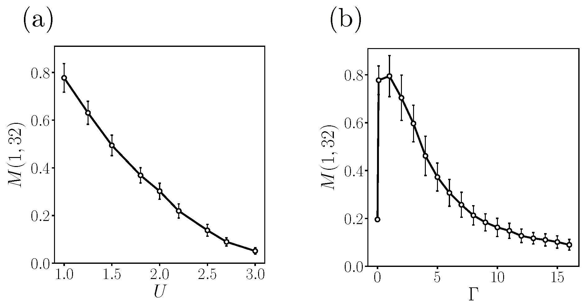
5. Results for Crossover Phases
6. Discussion
Author Contributions
Funding
Institutional Review Board Statement
Data Availability Statement
Conflicts of Interest
Abbreviations
| ZGNR | Zigzag graphene nanoribbon |
References
- Novoselov, K.S.; Geim, A.K.; Morozov, S.V.; Jiang, D.; Katsnelson, M.I.; Grigorieva, I.V.; Dubonos, S.V.; Firsov, A.A. Two-dimensional gas of massless Dirac fermions in graphene. Nature 2005, 438, 197–200. [Google Scholar] [CrossRef]
- Zhang, Y.; Tan, Y.W.; Stormer, H.L.; Kim, P. Experimental observation of the quantum Hall effect and Berry’s phase in graphene. Nature 2005, 438, 201–204. [Google Scholar] [CrossRef]
- Castro Neto, A.H.; Guinea, F.; Peres, N.M.R.; Novoselov, K.S.; Geim, A.K. The electronic properties of graphene. Rev. Mod. Phys. 2009, 81, 109–162. [Google Scholar] [CrossRef]
- Fujita, M.; Wakabayashi, K.; Nakada, K.; Kusakabe, K. Peculiar Localized State at Zigzag Graphite Edge. J. Phys. Soc. Jpn. 1996, 65, 1920–1923. [Google Scholar] [CrossRef]
- Yang, S.-R.E. Topologically Ordered Zigzag Nanoribbon; World Scientific: Singapore, 2023. [Google Scholar]
- Brey, L.; Seneor, P.; Tejeda, A. (Eds.) Graphene Nanoribbons; IOP Publishing: Bristol, UK, 2019; pp. 2053–2563. [Google Scholar] [CrossRef]
- Brey, L.; Fertig, H.A. Electronic states of graphene nanoribbons studied with the Dirac equation. Phys. Rev. B 2006, 73, 235411. [Google Scholar] [CrossRef]
- Leinaas, J.M.; Myrheim, J. On the theory of identical particles. Nuovo C. B 1977, 37, 1–23. [Google Scholar] [CrossRef]
- Wilczek, F. Quantum Mechanics of Fractional-Spin Particles. Phys. Rev. Lett. 1982, 49, 957–959. [Google Scholar] [CrossRef]
- Nakamura, J.; Liang, S.; Gardner, G.C.; Manfra, M.J. Direct observation of anyonic braiding statistics. Nat. Phys. 2020, 16, 931–936. [Google Scholar] [CrossRef]
- Bartolomei, H.; Kumar, M.; Bisognin, R.; Marguerite, A.; Berroir, J.M.; Bocquillon, E.; Plaçais, B.; Cavanna, A.; Dong, Q.; Gennser, U.; et al. Fractional statistics in anyon collisions. Science 2020, 368, 173–177. [Google Scholar] [CrossRef]
- Heeger, A.J.; Kivelson, S.; Schrieffer, J.R.; Su, W.P. Solitons in conducting polymers. Rev. Mod. Phys. 1988, 60, 781–850. [Google Scholar] [CrossRef]
- Jeong, Y.H.; Yang, S.-R.E.; Cha, M.C. Soliton fractional charge of disordered graphene nanoribbon. J. Phys. Condens. Matter 2019, 31, 265601. [Google Scholar] [CrossRef] [PubMed]
- Yang, S.-R.E. Soliton fractional charges in graphene nanoribbon and polyacetylene: Similarities and differences. Nanomaterials 2019, 9, 885. [Google Scholar] [CrossRef] [PubMed]
- Yang, S.-R.E.; Cha, M.C.; Lee, H.J.; Kim, Y.H. Topologically ordered zigzag nanoribbon: e/2 fractional edge charge, spin-charge separation, and ground-state degeneracy. Phys. Rev. Res. 2020, 2, 033109. [Google Scholar] [CrossRef]
- Kim, Y.H.; Lee, H.J.; Yang, S.-R.E. Topological entanglement entropy of interacting disordered zigzag graphene ribbons. Phys. Rev. B 2021, 103, 115151. [Google Scholar] [CrossRef]
- Kitaev, A.; Preskill, J. Topological Entanglement Entropy. Phys. Rev. Lett. 2006, 96, 110404. [Google Scholar] [CrossRef]
- Levin, M.; Wen, X.G. Detecting Topological Order in a Ground State Wave Function. Phys. Rev. Lett. 2006, 96, 110405. [Google Scholar] [CrossRef]
- Kim, Y.H.; Lee, H.J.; Lee, H.Y.; Yang, S.-R.E. New disordered anyon phase of doped graphene zigzag nanoribbon. Sci. Rep. 2022, 12, 14551. [Google Scholar] [CrossRef]
- Li, H.; Haldane, F.D.M. Entanglement Spectrum as a Generalization of Entanglement Entropy: Identification of Topological Order in Non-Abelian Fractional Quantum Hall Effect States. Phys. Rev. Lett. 2008, 101, 010504. [Google Scholar] [CrossRef]
- Le, H.A.; Lee, I.H.; Kim, Y.H.; Yang, S.R.E. Phase Diagram and Crossover Phases of Topologically Ordered Graphene Zigzag Nanoribbons: Role of Localization Effects. arXiv 2023, arXiv:2307.04352. [Google Scholar]
- Ruffieux, P.; Wang, S.; Yang, B.; Sánchez-Sánchez, C.; Liu, J.; Dienel, T.; Talirz, L.; Shinde, P.; Pignedoli, C.A.; Passerone, D.; et al. On-surface synthesis of graphene nanoribbons with zigzag edge topology. Nature 2016, 531, 489–492. [Google Scholar] [CrossRef]
- Kolmer, M.; Steiner, A.K.; Izydorczyk, I.; Ko, W.; Engelund, M.; Szymonski, M.; Li, A.P.; Amsharov, K. Rational synthesis of atomically precise graphene nanoribbons directly on metal oxide surfaces. Science 2020, 369, 571–575. [Google Scholar] [CrossRef] [PubMed]
- Houtsma, R.S.K.; de la Rie, J.; Stöhr, M. Atomically precise graphene nanoribbons: Interplay of structural and electronic properties. Chem. Soc. Rev. 2021, 50, 6541–6568. [Google Scholar] [CrossRef] [PubMed]
- Sachdev, S.; Keimer, B. Quantum criticality. Phys. Today 2011, 64, 29–35. [Google Scholar] [CrossRef]
- Sachdev, S. What Can Gauge-Gravity Duality Teach Us about Condensed Matter Physics? Annu. Rev. Condens. Matter Phys. 2012, 3, 9–33. [Google Scholar] [CrossRef]
- Tan, S.H.; Tang, L.M.; Chen, K.Q. Band gap opening in zigzag graphene nanoribbon modulated with magnetic atoms. Curr. Appl. Phys. 2014, 14, 1509–1513. [Google Scholar] [CrossRef]
- Pisani, L.; Chan, J.A.; Montanari, B.; Harrison, N.M. Electronic structure and magnetic properties of graphitic ribbons. Phys. Rev. B 2007, 75, 064418. [Google Scholar] [CrossRef]
- White, S.R. Density matrix formulation for quantum renormalization groups. Phys. Rev. Lett. 1992, 69, 2863–2866. [Google Scholar] [CrossRef]
- Schollwöck, U. The density-matrix renormalization group in the age of matrix product states. Ann. Phys. 2011, 326, 96–192. [Google Scholar] [CrossRef]
- Dobrosavljevic, V.; Trivedi, N.; Valles, J.M., Jr. Conductor-Insulator Quantum Phase Transitions; Oxford University Press: Oxford, UK, 2012. [Google Scholar] [CrossRef]
- Belitz, D.; Kirkpatrick, T.R. The Anderson-Mott transition. Rev. Mod. Phys. 1994, 66, 261–380. [Google Scholar] [CrossRef]
- Byczuk, K.; Hofstetter, W.; Vollhardt, D. Competition between Anderson Localization and Antiferromagnetism in Correlated Lattice Fermion Systems with Disorder. Phys. Rev. Lett. 2009, 102, 146403. [Google Scholar] [CrossRef]
- Altshuler, B. Inductory Anderson Localization. In Advanced Workshop on Anderson Localization, Nonlinearity and Turbulence: A Cross-Fertilization; International Centre for Theoretical Physics: Trieste, Italy, 2010. [Google Scholar]
- Lima, L.R.F.; Pinheiro, F.A.; Capaz, R.B.; Lewenkopf, C.H.; Mucciolo, E.R. Effects of disorder range and electronic energy on the perfect transmission in graphene nanoribbons. Phys. Rev. B 2012, 86, 205111. [Google Scholar] [CrossRef]
- Katanin, A. Effect of weak impurities on electronic properties of graphene: Functional renormalization-group analysis. Phys. Rev. B 2013, 88, 241401. [Google Scholar] [CrossRef]
- Jiang, H.C.; Wang, Z.; Balents, L. Identifying topological order by entanglement entropy. Nat. Phys. 2012, 8, 902–905. [Google Scholar] [CrossRef]
- Peschel, I. Calculation of reduced density matrices from correlation functions. J. Phys. A Math. Gen. 2003, 36, L205. [Google Scholar] [CrossRef]
- Amico, L.; Fazio, R.; Osterloh, A.; Vedral, V. Entanglement in many-body systems. Rev. Mod. Phys. 2008, 80, 517–576. [Google Scholar] [CrossRef]
- Wolf, M.M.; Verstraete, F.; Hastings, M.B.; Cirac, J.I. Area Laws in Quantum Systems: Mutual Information and Correlations. Phys. Rev. Lett. 2008, 100, 070502. [Google Scholar] [CrossRef]







| Double lines: | 40.19 | 40.13 | 79.89 | 0.4299 |
| , | ||||
| Single line: | 59.01 | 58.93 | 117.7 | 0.2297 |
| , |
Disclaimer/Publisher’s Note: The statements, opinions and data contained in all publications are solely those of the individual author(s) and contributor(s) and not of MDPI and/or the editor(s). MDPI and/or the editor(s) disclaim responsibility for any injury to people or property resulting from any ideas, methods, instructions or products referred to in the content. |
© 2023 by the authors. Licensee MDPI, Basel, Switzerland. This article is an open access article distributed under the terms and conditions of the Creative Commons Attribution (CC BY) license (https://creativecommons.org/licenses/by/4.0/).
Share and Cite
Lee, I.-H.; Le, H.-A.; Yang, S.-R.E. Mutual Information and Correlations across Topological Phase Transitions in Topologically Ordered Graphene Zigzag Nanoribbons. Entropy 2023, 25, 1449. https://doi.org/10.3390/e25101449
Lee I-H, Le H-A, Yang S-RE. Mutual Information and Correlations across Topological Phase Transitions in Topologically Ordered Graphene Zigzag Nanoribbons. Entropy. 2023; 25(10):1449. https://doi.org/10.3390/e25101449
Chicago/Turabian StyleLee, In-Hwan, Hoang-Anh Le, and S.-R. Eric Yang. 2023. "Mutual Information and Correlations across Topological Phase Transitions in Topologically Ordered Graphene Zigzag Nanoribbons" Entropy 25, no. 10: 1449. https://doi.org/10.3390/e25101449
APA StyleLee, I.-H., Le, H.-A., & Yang, S.-R. E. (2023). Mutual Information and Correlations across Topological Phase Transitions in Topologically Ordered Graphene Zigzag Nanoribbons. Entropy, 25(10), 1449. https://doi.org/10.3390/e25101449

