Entanglement Phase Transitions in Non-Hermitian Kitaev Chains
Abstract
1. Introduction
2. Model and Methods
3. Results
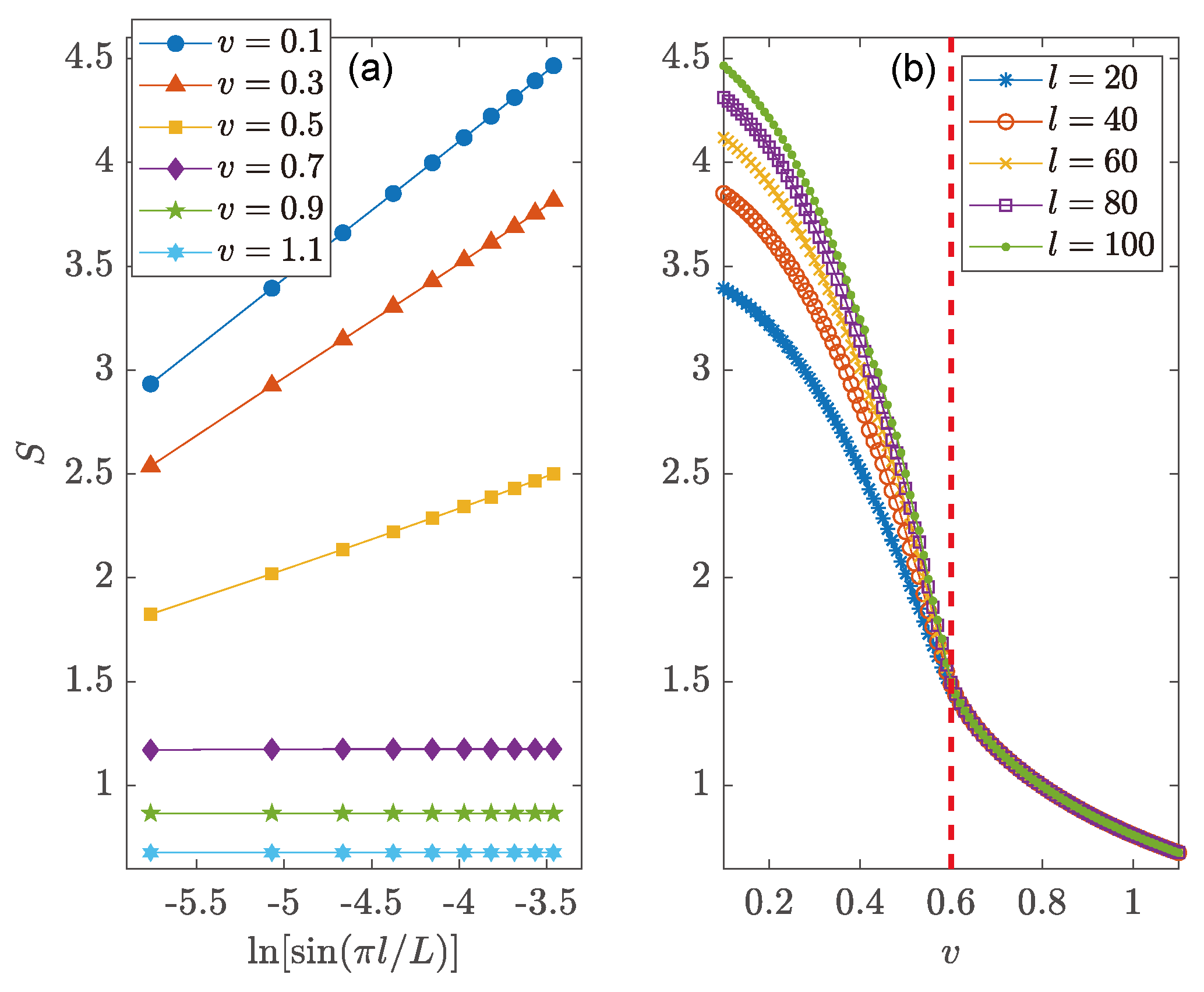
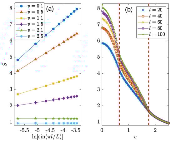
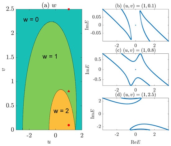
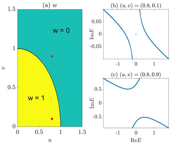
3.1. LKC with Nearest-Neighbor Hopping and Pairing
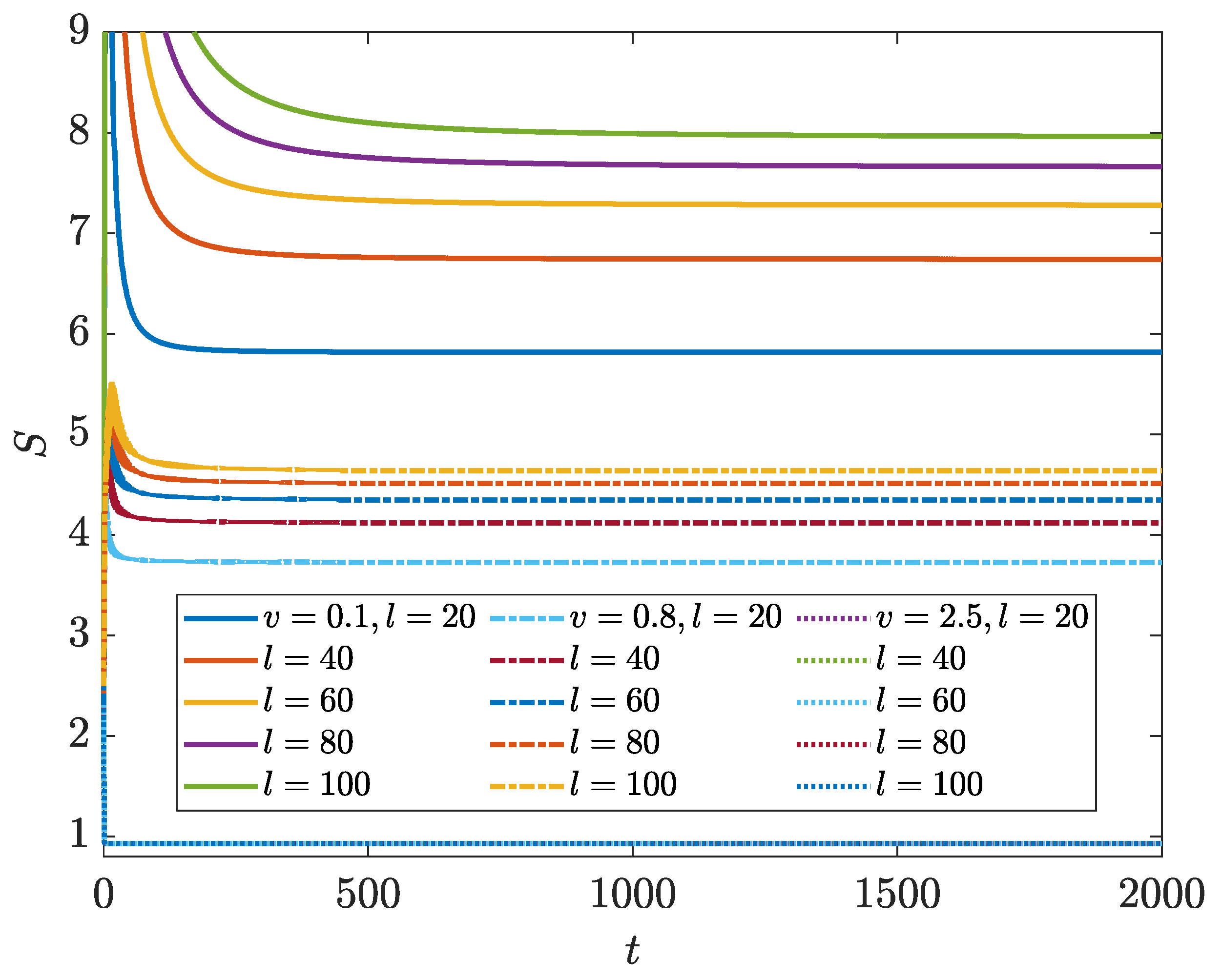
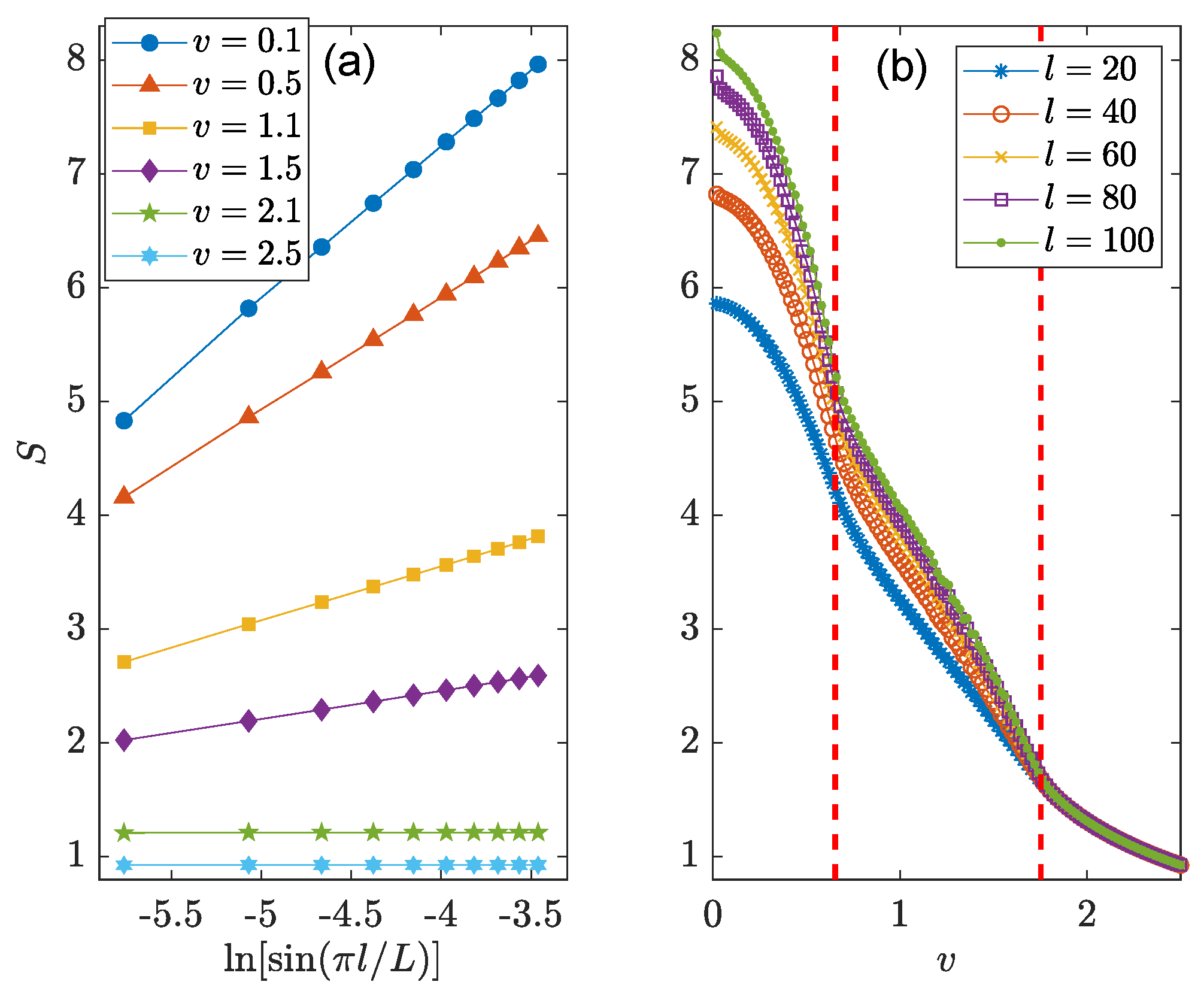
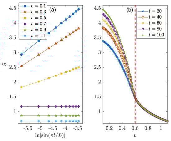
3.2. LKC with Next-Nearest-Neighbor Hopping and Pairing
4. Conclusions
Funding
Data Availability Statement
Conflicts of Interest
Appendix A. Derivation of the Non-Hermitian Hamiltonian
Appendix B. Momentum-Space Generator of Correlation Matrix
References
- Potter, A.C.; Vasseur, R. Entanglement dynamics in hybrid quantum circuits. In Quantum Science and Technology; Bayat, A., Bose, S., Johannesson, H., Eds.; Springer International: Cham, Switzerland, 2022. [Google Scholar]
- Fisher, M.P.A.; Khemani, V.; Nahum, A.; Vijay, S. Random quantum circuits. Annu. Rev. Condens. Matter Phys. 2023, 14, 335. [Google Scholar] [CrossRef]
- Skinner, B. Introduction to random unitary circuits and the measurement-induced entanglement phase transition. arXiv 2023, arXiv:2307.02986. [Google Scholar]
- Li, Y.; Chen, X.; Fisher, M.P.A. Quantum Zeno effect and the many-body entanglement transition. Phys. Rev. B 2018, 98, 205136. [Google Scholar] [CrossRef]
- Cao, X.; Tilloy, A.; Luca, A.D. Entanglement in a fermion chain under continuous monitoring. SciPost Phys. 2019, 7, 2019. [Google Scholar] [CrossRef]
- Skinner, B.; Ruhman, J.; Nahum, A. Measurement-induced phase transitions in the dynamics of entanglement. Phys. Rev. X 2019, 9, 031009. [Google Scholar] [CrossRef]
- Chan, A.; Nandkishore, R.M.; Pretko, M.; Smith, G. Unitary-projective entanglement dynamics. Phys. Rev. B 2019, 99, 224307. [Google Scholar] [CrossRef]
- Li, Y.; Chen, X.; Fisher, M.P.A. Measurement-driven entanglement transition in hybrid quantum circuits. Phys. Rev. B 2019, 100, 134306. [Google Scholar] [CrossRef]
- Szyniszewski, M.; Romito, A.; Schomerus, H. Entanglement transition from variable-strength weak measurements. Phys. Rev. B 2019, 100, 064204. [Google Scholar] [CrossRef]
- Vasseur, R.; Potter, A.C.; You, Y.-Z.; Ludwig, A.W.W. Entanglement transitions from holographic random tensor networks. Phys. Rev. B 2019, 100, 134203. [Google Scholar] [CrossRef]
- Zabalo, A.; Gullans, M.J.; Wilson, J.H.; Gopalakrishnan, S.; Huse, D.A.; Pixley, J.H. Critical properties of the measurement-induced transition in random quantum circuits. Phys. Rev. B 2020, 101, 060301. [Google Scholar] [CrossRef]
- Bao, Y.; Choi, S.; Altman, E. Theory of the phase transition in random unitary circuits with measurements. Phys. Rev. B 2020, 101, 104301. [Google Scholar] [CrossRef]
- Gullans, M.J.; Huse, D.A. Dynamical purification phase transition induced by quantum measurements. Phys. Rev. X 2020, 10, 041020. [Google Scholar] [CrossRef]
- Goto, S.; Danshita, I. Measurement-induced transitions of the entanglement scaling law in ultracold gases with controllable dissipation. Phys. Rev. A 2020, 102, 033316. [Google Scholar] [CrossRef]
- Choi, S.; Bao, Y.; Qi, X.-L.; Altman, E. Quantum error correction in scrambling dynamics and measurement-induced phase transition. Phys. Rev. Lett. 2020, 125, 030505. [Google Scholar] [CrossRef]
- Tang, Q.; Zhu, W. Measurement-induced phase transition: A case study in the nonintegrable model by density-matrix renormalization group calculations. Phys. Rev. Res. 2020, 2, 013022. [Google Scholar] [CrossRef]
- Jian, C.-M.; You, Y.-Z.; Vasseur, R.; Ludwig, A.W.W. Measurement-induced criticality in random quantum circuits. Phys. Rev. B 2020, 101, 104302. [Google Scholar] [CrossRef]
- Rossini, D.; Vicari, E. Measurement-induced dynamics of many-body systems at quantum criticality. Phys. Rev. B 2020, 102, 035119. [Google Scholar] [CrossRef]
- Fuji, Y.; Ashida, Y. Measurement-induced quantum criticality under continuous monitoring. Phys. Rev. B 2020, 102, 054302. [Google Scholar] [CrossRef]
- Iaconis, J.; Lucas, A.; Chen, X. Measurement-induced phase transitions in quantum automaton circuits. Phys. Rev. B 2020, 102, 224311. [Google Scholar] [CrossRef]
- Ippoliti, M.; Gullans, M.J.; Gopalakrishnan, S.; Huse, D.A.; Khemani, V. Entanglement phase transitions in measurement-only dynamics. Phys. Rev. X 2021, 11, 011030. [Google Scholar] [CrossRef]
- Nahum, A.; Roy, S.; Skinner, B.; Ruhman, J. Measurement and entanglement phase transitions in all-to-all quantum circuits, on quantum trees, and in Landau-Ginsburg theory. PRX Quantum 2021, 2, 010352. [Google Scholar] [CrossRef]
- Lunt, O.; Szyniszewski, M.; Pal, A. Measurement-induced criticality and entanglement clusters: A study of one-dimensional and two-dimensional Clifford circuits. Phys. Rev. B 2021, 104, 155111. [Google Scholar] [CrossRef]
- Lavasani, A.; Alavirad, Y.; Barkeshli, M. Measurement-induced topological entanglement transitions in symmetric random quantum circuits. Nat. Phys. 2021, 17, 342. [Google Scholar] [CrossRef]
- Jian, S.-K.; Liu, C.; Chen, X.; Swingle, B.; Zhang, P. Measurement-induced phase transition in the monitored Sachdev-Ye-Kitaev model. Phys. Rev. Lett. 2021, 127, 140601. [Google Scholar] [CrossRef] [PubMed]
- Turkeshi, X.; Biella, A.; Fazio, R.; Dalmonte, M.; Schiró, M. Measurement-induced entanglement transitions in the quantum Ising chain: From infinite to zero clicks. Phys. Rev. B 2021, 103, 224210. [Google Scholar] [CrossRef]
- Willsher, J.; Liu, S.-W.; Moessner, R.; Knolle, J. Measurement-induced phase transition in a chaotic classical many-body system. Phys. Rev. B 2022, 106, 024305. [Google Scholar] [CrossRef]
- Sharma, S.; Turkeshi, X.; Fazio, R.; Dalmonte, M. Measurement-induced criticality in extended and long-range unitary circuits. SciPost Phys. Core 2022, 5, 023. [Google Scholar] [CrossRef]
- Sierant, P.; Schirò, M.; Lewenstein, M.; Turkeshi, X. Measurement-induced phase transitions in (d + 1)-dimensional stabilizer circuits. Phys. Rev. B 2022, 106, 214316. [Google Scholar] [CrossRef]
- Block, M.; Bao, Y.; Choi, S.; Altman, E.; Yao, N.Y. Measurement-induced transition in long-range interacting quantum circuits. Phys. Rev. Lett. 2022, 128, 010604. [Google Scholar] [CrossRef]
- Carollo, F.; Alba, V. Entangled multiplets and spreading of quantum correlations in a continuously monitored tight-binding chain. Phys. Rev. B 2022, 106, L220304. [Google Scholar] [CrossRef]
- Khor, B.J.J.; Wampler, M.; Refael, G.; Klich, I. Measurement-induced chirality: Diffusion and disorder. Phys. Rev. B 2023, 108, 214305. [Google Scholar] [CrossRef]
- Fava, M.; Piroli, L.; Swann, T.; Bernard, D.; Nahum, A. Nonlinear Sigma Models for Monitored Dynamics of Free Fermions. Phys. Rev. X 2023, 13, 041045. [Google Scholar] [CrossRef]
- Poboiko, I.; Pöpperl, P.; Gornyi, I.V.; Mirlin, A.D. Theory of Free Fermions under Random Projective Measurements. Phys. Rev. X 2023, 13, 041046. [Google Scholar] [CrossRef]
- Morral-Yepes, R.; Smith, A.; Sondhi, S.L.; Pollmann, F. Entanglement Transitions in Unitary Circuit Games. PRX Quantum 2024, 5, 010309. [Google Scholar] [CrossRef]
- Lee, G.; Jin, T.; Wang, Y.; McDonald, A.; Clerk, A. Entanglement Phase Transition Due to Reciprocity Breaking without Measurement or Postselection. PRX Quantum 2024, 5, 010313. [Google Scholar] [CrossRef]
- Buchhold, M.; Minoguchi, Y.; Altland, A.; Diehl, S. Effective Theory for the Measurement-Induced Phase Transition of Dirac Fermions. Phys. Rev. X 2021, 11, 041004. [Google Scholar] [CrossRef]
- Alberton, O.; Buchhold, M.; Diehl, S. Entanglement Transition in a Monitored Free–Fermion Chain: From Extended Criticality to Area Law. Phys. Rev. Lett. 2021, 126, 170602. [Google Scholar] [CrossRef]
- Zhang, P.; Liu, C.; Jian, S.-K.; Chen, X. Universal Entanglement Transitions of Free Fermions with Long-range Non-unitary Dynamics. Quantum 2022, 6, 723. [Google Scholar] [CrossRef]
- Müller, T.; Diehl, S.; Buchhold, M. Measurement-Induced Dark State Phase Transitions in Long-Ranged Fermion Systems. Phys. Rev. Lett. 2022, 128, 010605. [Google Scholar] [CrossRef]
- Merritt, J.; Fidkowski, L. Entanglement transitions with free fermions. Phys. Rev. B 2023, 107, 064303. [Google Scholar] [CrossRef]
- Tsitsishvili, M.; Poletti, D.; Dalmonte, M.; Chiriacò, G. Measurement induced transitions in non-Markovian free fermion ladders. SciPost Phys. Core 2024, 7, 011. [Google Scholar] [CrossRef]
- Poboiko, I.; Gornyi, I.V.; Mirlin, A.D. Measurement-induced phase transition for free fermions above one dimension. arXiv 2023, arXiv:2309.12405. [Google Scholar] [CrossRef]
- Chahine, K.; Buchhold, M. Entanglement phases, localization and multifractality of monitored free fermions in two dimensions. arXiv 2023, arXiv:2309.12391. [Google Scholar]
- Noel, C.; Niroula, P.; Zhu, D.; Risinger, A.; Egan, L.; Biswas, D.; Cetina, M.; Gorshkov, A.V.; Gullans, M.J.; Huse, D.A.; et al. Measurement-induced quantum phases realized in a trapped-ion quantum computer. Nat. Phys. 2022, 18, 760. [Google Scholar] [CrossRef]
- Koh, J.M.; Sun, S.-N.; Motta, M.; Minnich, A.J. Measurement-induced entanglement phase transition on a superconducting quantum processor with mid-circuit readout. Nat. Phys. 2023, 19, 1314. [Google Scholar] [CrossRef]
- Google Quantum AI and Collaborators. Measurement-induced entanglement and teleportation on a noisy quantum processor. Nature 2023, 622, 481. [Google Scholar] [CrossRef] [PubMed]
- Bácsi, A.; Dóra, B. Dynamics of entanglement after exceptional quantum quench. Phys. Rev. B 2021, 103, 085137. [Google Scholar] [CrossRef]
- Gopalakrishnan, S.; Gullans, M.J. Entanglement and purification transitions in non-Hermitian quantum mechanics. Phys. Rev. Lett. 2021, 126, 170503. [Google Scholar] [CrossRef]
- Turkeshi, X.; Dalmonte, M.; Fazio, R.; Schirò, M. Entanglement transitions from stochastic resetting of non-Hermitian quasiparticles. Phys. Rev. B 2022, 105, L241114. [Google Scholar] [CrossRef]
- Turkeshi, X.; Schirò, M. Entanglement and correlation spreading in non-Hermitian spin chains. Phys. Rev. B 2023, 107, L020403. [Google Scholar] [CrossRef]
- Kawabata, K.; Numasawa, T.; Ryu, S. Entanglement phase transition induced by the non-Hermitian skin effect. Phys. Rev. X 2023, 13, 021007. [Google Scholar] [CrossRef]
- Gal, Y.L.; Turkeshi, X.; Schirò, M. Volume-to-area law entanglement transition in a non-Hermitian free fermionic chain. SciPost Phys. 2023, 14, 138. [Google Scholar] [CrossRef]
- Granet, E.; Zhang, C.; Dreyer, H. Volume-law to area-law entanglement transition in a nonunitary periodic Gaussian circuit. Phys. Rev. Lett. 2023, 130, 230401. [Google Scholar] [CrossRef] [PubMed]
- Li, K.; Liu, Z.-C.; Xu, Y. Disorder-Induced Entanglement Phase Transitions in Non-Hermitian Systems with Skin Effects. arXiv 2023, arXiv:2305.12342. [Google Scholar]
- Qian, T.; Zhou, L. Correlation-induced phase transitions and mobility edges in a non-Hermitian quasicrystal. arXiv 2023, arXiv:2310.01275. [Google Scholar] [CrossRef]
- Zhou, L. Entanglement phase transitions in non-Hermitian quasicrystals. Phys. Rev. B 2024, 109, 024204. [Google Scholar] [CrossRef]
- Li, S.; Yu, X.; Li, Z. Emergent entanglement phase transitions in non-Hermitian Aubry-André-Harper chains. Phys. Rev. B 2024, 109, 024306. [Google Scholar] [CrossRef]
- Kells, G.; Meidan, D.; Romito, A. Topological transitions in weakly monitored free fermions. SciPost Phys. 2023, 14, 031. [Google Scholar] [CrossRef]
- Zerba, C.; Silva, A. Measurement phase transitions in the no-click limit as quantum phase transitions of a non-hermitean vacuum. SciPost Phys. Core 2023, 6, 051. [Google Scholar] [CrossRef]
- Feng, X.; Liu, S.; Chen, S.; Guo, W. Absence of logarithmic and algebraic scaling entanglement phases due to skin effect. Phys. Rev. B 2023, 107, 094309. [Google Scholar] [CrossRef]
- Zhou, L. Entanglement phase transitions in non-Hermitian Floquet systems. arXiv 2023, arXiv:2310.11351. [Google Scholar]
- Agarwal, K.D.; Konar, T.K.; Lakkaraju, L.G.C.; De, A.S. Recognizing critical lines via entanglement in non-Hermitian systems. arXiv 2023, arXiv:2305.08374. [Google Scholar]
- Gal, Y.L.; Turkeshi, X.; Schirò, M. Entanglement Dynamics in Monitored Systems and the Role of Quantum Jumps. arXiv 2023, arXiv:2312.13419. [Google Scholar]
- Kawabata, K.; Ashida, Y.; Katsura, H.; Ueda, M. Parity-time-symmetric topological superconductor. Phys. Rev. B 2018, 98, 085116. [Google Scholar] [CrossRef]
- McDonald, A.; Pereg-Barnea, T.; Clerk, A.A. Phase-Dependent Chiral Transport and Effective Non-Hermitian Dynamics in a Bosonic Kitaev-Majorana Chain. Phys. Rev. X 2018, 8, 041031. [Google Scholar] [CrossRef]
- van Caspel, M.T.; Arze, S.E.T.; Castillo, I.P. Dynamical signatures of topological order in the driven-dissipative Kitaev chain. SciPost Phys. 2019, 6, 026. [Google Scholar] [CrossRef]
- Lieu, S. Non-Hermitian Majorana modes protect degenerate steady states. Phys. Rev. B 2019, 100, 085110. [Google Scholar] [CrossRef]
- Okuma, N.; Sato, M. Topological Phase Transition Driven by Infinitesimal Instability: Majorana Fermions in Non-Hermitian Spintronics. Phys. Rev. Lett. 2019, 123, 097701. [Google Scholar] [CrossRef] [PubMed]
- Zhou, L. Non-Hermitian Floquet topological superconductors with multiple Majorana edge modes. Phys. Rev. B 2020, 101, 014306. [Google Scholar] [CrossRef]
- Sayyad, S.; Yu, J.; Grushin, A.G.; Sieberer, L.M. Entanglement spectrum crossings reveal non-Hermitian dynamical topology. Phys. Rev. Res. 2021, 3, 033022. [Google Scholar] [CrossRef]
- Zhou, L.; Du, Q. Non-Hermitian topological phases and dynamical quantum phase transitions: A generic connection. New J. Phys. 2021, 23, 063041. [Google Scholar] [CrossRef]
- Zhou, L.; Zhang, D. Non-Hermitian Floquet Topological Matter—A Review. Entropy 2023, 25, 1401. [Google Scholar] [CrossRef]
- Kitaev, A.Y. Unpaired Majorana fermions in quantum wires. Sov. Phys. Uspekhi 2001, 44, 131. [Google Scholar] [CrossRef]
- Zhu, B.; Ke, Y.; Zhong, H.; Lee, C. Dynamic winding number for exploring band topology. Phys. Rev. Res. 2020, 2, 023043. [Google Scholar] [CrossRef]
- Peschel, I.; Eisler, V. Reduced density matrices and entanglement entropy in free lattice models. J. Phys. A Math. Theor. 2009, 42, 504003. [Google Scholar] [CrossRef]
- Holzhey, C.; Larsen, F.; Wilczek, F. Geometric and renormalized entropy in conformal field theory. Nucl. Phys. B 1994, 424, 44. [Google Scholar] [CrossRef]
- Calabrese, P.; Cardy, J. Entanglement entropy and quantum field theory. J. Stat. Mech. 2004, 2004, P06002. [Google Scholar] [CrossRef]
- Calabrese, P.; Cardy, J. Entanglement entropy and conformal field theory. J. Phys. A Math. Theor. 2009, 42, 504005. [Google Scholar] [CrossRef]
- de Gennes, P.G. Superconductivity of Metals and Alloys; CRC: New York, NY, USA, 1999. [Google Scholar]








Disclaimer/Publisher’s Note: The statements, opinions and data contained in all publications are solely those of the individual author(s) and contributor(s) and not of MDPI and/or the editor(s). MDPI and/or the editor(s) disclaim responsibility for any injury to people or property resulting from any ideas, methods, instructions or products referred to in the content. |
© 2024 by the author. Licensee MDPI, Basel, Switzerland. This article is an open access article distributed under the terms and conditions of the Creative Commons Attribution (CC BY) license (https://creativecommons.org/licenses/by/4.0/).
Share and Cite
Zhou, L. Entanglement Phase Transitions in Non-Hermitian Kitaev Chains. Entropy 2024, 26, 272. https://doi.org/10.3390/e26030272
Zhou L. Entanglement Phase Transitions in Non-Hermitian Kitaev Chains. Entropy. 2024; 26(3):272. https://doi.org/10.3390/e26030272
Chicago/Turabian StyleZhou, Longwen. 2024. "Entanglement Phase Transitions in Non-Hermitian Kitaev Chains" Entropy 26, no. 3: 272. https://doi.org/10.3390/e26030272
APA StyleZhou, L. (2024). Entanglement Phase Transitions in Non-Hermitian Kitaev Chains. Entropy, 26(3), 272. https://doi.org/10.3390/e26030272

