A Blockwise Bootstrap-Based Two-Sample Test for High-Dimensional Time Series
Abstract
1. Introduction
2. Methodology
2.1. Test Statistic and Its Gaussian Analog
2.2. Blockwise Bootstrap
3. Theoretical Results
3.1. Gaussian Approximation for High-Dimensional -Mixing Sequence
- (i)
- If , and for some , and constants , we haveprovided that , where .
- (ii)
- If , and for some , , and constants , we haveprovided that and .
3.2. Theoretical Properties
- (i)
- For some , there exists a constant s.t. .
- (ii)
- There exists a constant s.t. for some .
- (iii)
- There exists a constant s.t. .
- (i)
- There exists a constant s.t. .
- (ii)
- There exist two constants s.t. .
- (iii)
- There exists a constant s.t. .
- Case1: and satisfy Assumption 1, and the dimension p satisfies and ;
- Case2: and satisfy Assumption 2, and the dimension p satisfies and .
- Case3: and satisfy Assumptions 1 and 3.
- Case4: and satisfy Assumption 2.
4. Application: Change Point Detection
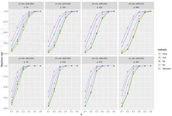
5. Simulation Study
5.1. Tuning Parameter Selection
5.2. Simulation Settings
- (M1).
- Let s.t. , then let .
- (M2).
- Let s.t. , for and otherwise.
- (M3).
- Let , , where , for with , and otherwise. Let .
5.3. Simulation Results
6. Real Data Analysis
7. Discussion
Funding
Data Availability Statement
Conflicts of Interest
Appendix A. Proof of Theorem 1
Appendix A.1. Proof of Theorem 1(i)
Appendix A.2. Proof of Theorem 1(ii)
Appendix B. Proof of Proposition 1
Appendix C. Proof of Theorem 2
Appendix C.1. Proof of Theorem 2 under Case3
Appendix C.2. Proof of Theorem 2 under Case4
Appendix D. Proof of Theorem 3
Appendix E. Additional Simulation Results
| () | p | ||||||
|---|---|---|---|---|---|---|---|
| (200,220) | 0 | 50 | 4.6 | 2.3 | 6.4 | 4.5 | 3 |
| 200 | 3.3 | 0 | 6.7 | 5.8 | 3.4 | ||
| 400 | 3.7 | 0 | 5 | 4.4 | 4.1 | ||
| 800 | 3.3 | 0 | 6.4 | 5.2 | 4.2 | ||
| 0.1 | 50 | 6.2 | 12.4 | 23.4 | 18.4 | 9.8 | |
| 200 | 5.2 | 1.8 | 43.2 | 39.5 | 12.9 | ||
| 400 | 5.8 | 0.1 | 63 | 59.7 | 14.7 | ||
| 800 | 5.3 | 0 | 88.7 | 87.3 | 19.4 | ||
| 0.2 | 50 | 8.1 | 35.6 | 51.3 | 44.3 | 21.9 | |
| 200 | 7.7 | 23.5 | 87.2 | 85.5 | 37.9 | ||
| 400 | 9.2 | 16.9 | 98.5 | 98.3 | 43 | ||
| 800 | 9.6 | 9.8 | 100 | 100 | 54.5 | ||
| (400,420) | 0 | 50 | 4.9 | 1.8 | 5.4 | 3.6 | 3.5 |
| 200 | 3.5 | 0 | 6.4 | 5.3 | 3.2 | ||
| 400 | 5 | 0 | 5.7 | 4.8 | 4.4 | ||
| 800 | 4.3 | 0 | 6 | 5 | 4.5 | ||
| 0.1 | 50 | 6.9 | 12.2 | 21.7 | 17 | 9.3 | |
| 200 | 4.9 | 1.9 | 41.7 | 39 | 11.1 | ||
| 400 | 7.8 | 0.1 | 63.6 | 61.4 | 17.7 | ||
| 800 | 7.3 | 0 | 87.9 | 86.7 | 18.3 | ||
| 0.2 | 50 | 8.6 | 33.7 | 46.9 | 40.7 | 20.6 | |
| 200 | 7.7 | 23.7 | 86.3 | 84.7 | 31 | ||
| 400 | 9.4 | 17.1 | 99.2 | 99 | 43.6 | ||
| 800 | 9 | 9.5 | 100 | 100 | 53.2 |


| () | p | ||||||
|---|---|---|---|---|---|---|---|
| (200,220) | 0 | 50 | 5.7 | 16.8 | 7.7 | 3 | 1.6 |
| 200 | 4.3 | 14.9 | 6.9 | 0.9 | 1.6 | ||
| 400 | 3.5 | 14.7 | 7.7 | 0.2 | 1.2 | ||
| 800 | 4.2 | 15.4 | 6.9 | 0.2 | 1.7 | ||
| 0.1 | 50 | 7.9 | 25.2 | 13.7 | 5.5 | 5.4 | |
| 200 | 6.2 | 23 | 12 | 2.7 | 5 | ||
| 400 | 5.5 | 23.3 | 12.5 | 1.2 | 4.2 | ||
| 800 | 6.9 | 24 | 12.9 | 0.7 | 5.5 | ||
| 0.2 | 50 | 8.6 | 33.8 | 21 | 10.7 | 12.8 | |
| 200 | 7.5 | 32.5 | 19.7 | 5.8 | 13.9 | ||
| 400 | 6.9 | 30.4 | 20.2 | 4.4 | 15 | ||
| 800 | 9.3 | 32.3 | 20.7 | 1.7 | 18.4 | ||
| (400,420) | 0 | 50 | 5.4 | 13.9 | 6.7 | 1.7 | 1.6 |
| 200 | 5.1 | 15.5 | 6.4 | 1 | 1.1 | ||
| 400 | 5.3 | 14.1 | 7.1 | 0.8 | 1.3 | ||
| 800 | 4 | 16.2 | 6.3 | 0.1 | 1.3 | ||
| 0.1 | 50 | 6.9 | 21.3 | 10.7 | 4.7 | 5.4 | |
| 200 | 6.6 | 23.1 | 12.5 | 2.7 | 4.9 | ||
| 400 | 7.3 | 22 | 11.4 | 1.7 | 5.9 | ||
| 800 | 6.2 | 23.8 | 12.7 | 0.6 | 5.4 | ||
| 0.2 | 50 | 8.2 | 31.8 | 18.2 | 8.6 | 11 | |
| 200 | 8.2 | 31 | 19.6 | 5.2 | 13.5 | ||
| 400 | 8.7 | 32.6 | 18.9 | 3.9 | 14.7 | ||
| 800 | 7.4 | 35.2 | 21.3 | 1.8 | 17.3 |


References
- Hotelling, H. The generalization of student’s ratio. Ann. Math. Stat. 1931, 2, 360–378. [Google Scholar] [CrossRef]
- Hu, J.; Bai, Z. A review of 20 years of naive tests of significance for high-dimensional mean vectors and covariance matrices. Sci. China Math. 2016, 59, 2281–2300. [Google Scholar] [CrossRef][Green Version]
- Harrar, S.W.; Kong, X. Recent developments in high-dimensional inference for multivariate data: Parametric, semiparametric and nonparametric approaches. J. Multivar. Anal. 2022, 188, 104855. [Google Scholar] [CrossRef]
- Bai, Z.; Saranadasa, H. Effect of high dimension: By an example of a two sample problem. Stat. Sin. 1996, 6, 311–329. [Google Scholar]
- Dempster, A.P. A high dimensional two sample significance test. Ann. Math. Stat. 1958, 29, 995–1010. [Google Scholar] [CrossRef]
- Srivastava, M.S.; Du, M. A test for the mean vector with fewer observations than the dimension. J. Multivar. Anal. 2008, 99, 386–402. [Google Scholar] [CrossRef]
- Gregory, K.B.; Carroll, R.J.; Baladandayuthapani, V.; Lahiri, S.N. A two-sample test for equality of means in high dimension. J. Am. Stat. Assoc. 2015, 110, 837–849. [Google Scholar] [CrossRef] [PubMed]
- Cai, T.T.; Liu, W.; Xia, Y. Two-sample test of high dimensional means under dependence. J. R. Stat. Soc. Ser. B Stat. Methodol. 2014, 76, 349–372. [Google Scholar]
- Chang, J.; Zheng, C.; Zhou, W.X.; Zhou, W. Simulation-Based Hypothesis Testing of High Dimensional Means Under Covariance Heterogeneity. Biometrics 2017, 73, 1300–1310. [Google Scholar] [CrossRef]
- Xu, G.; Lin, L.; Wei, P.; Pan, W. An adaptive two-sample test for high-dimensional means. Biometrika 2017, 103, 609–624. [Google Scholar] [CrossRef]
- Chernozhukov, V.; Chetverikov, D.; Kato, K. Testing Many Moment Inequalities; Cemmap working paper, No. CWP42/16; Centre for Microdata Methods and Practice (cemmap): London, UK, 2016. [Google Scholar]
- Zhang, D.; Wu, W.B. Gaussian approximation for high dimensional time series. Ann. Stat. 2017, 45, 1895–1919. [Google Scholar] [CrossRef]
- Wu, W.B. Nonlinear system theory: Another look at dependence. Proc. Natl. Acad. Sci. USA 2005, 102, 14150–14154. [Google Scholar] [CrossRef]
- Chang, J.; Chen, X.; Wu, M. Central limit theorems for high dimensional dependent data. Bernoulli 2024, 30, 712–742. [Google Scholar] [CrossRef]
- Raič, M. A multivariate berry–esseen theorem with explicit constants. Bernoulli 2019, 25, 2824–2853. [Google Scholar]
- Chernozhukov, V.; Chetverikov, D.; Kato, K.; Koike, Y. Improved central limit theorem and bootstrap approximations in high dimensions. Ann. Stat. 2022, 50, 2562–2586. [Google Scholar] [CrossRef]
- Peligrad, M. Some remarks on coupling of dependent random variables. Stat. Probab. Lett. 2002, 60, 201–209. [Google Scholar] [CrossRef]
- Künsch, H.R. The jackknife and the bootstrap for general stationary observations. Ann. Stat. 1989, 17, 1217–1241. [Google Scholar] [CrossRef]
- Liu, R.Y. Bootstrap procedures under some non-I.I.D. models. Ann. Stat. 1988, 16, 1696–1708. [Google Scholar] [CrossRef]
- Hill, J.B.; Li, T. A global wavelet based bootstrapped test of covariance stationarity. arXiv 2022, arXiv:2210.14086. [Google Scholar]
- Fang, X.; Koike, Y. High-dimensional central limit theorems by Stein’s method. Ann. Appl. Probab. 2021, 31, 1660–1686. [Google Scholar] [CrossRef]
- Chernozhukov, V.; Chetverikov, D.; Koike, Y. Nearly optimal central limit theorem and bootstrap approximations in high dimensions. Ann. Appl. Probab. 2023, 33, 2374–2425. [Google Scholar] [CrossRef]
- Chang, J.; He, J.; Yang, L.; Yao, Q. Modelling matrix time series via a tensor CP-decomposition. J. R. Stat. Soc. Ser. B Stat. Methodol. 2023, 85, 127–148. [Google Scholar] [CrossRef]
- Koike, Y. High-dimensional central limit theorems for homogeneous sums. J. Theor. Probab. 2023, 36, 1–45. [Google Scholar] [CrossRef]
- Hörmann, S.; Kokoszka, P. Weakly dependent functional data. Ann. Stat. 2010, 38, 1845–1884. [Google Scholar] [CrossRef]
- Zhang, X. White noise testing and model diagnostic checking for functional time series. J. Econ. 2016, 194, 76–95. [Google Scholar] [CrossRef]
- Politis, D.N.; Romano, J.P.; Wolf, M. Subsampling; Springer Series in Statistics; Springer: Berlin/Heidelberg, Germany, 1999. [Google Scholar]
- Chernozhukov, V.; Chetverikov, D.; Kato, K. Gaussian approximations and multiplier bootstrap for maxima of sums of high-dimensional random vectors. Ann. Stat. 2013, 41, 2786–2819. [Google Scholar] [CrossRef]
- Zhou, Z. Heteroscedasticity and autocorrelation robust structural change detection. J. Am. Stat. Assoc. 2013, 108, 726–740. [Google Scholar] [CrossRef]
- Rio, E. Inequalities and Limit Theorems for Weakly Dependent Sequences, 3rd Cycle. France. 2013, p. 170. Available online: https://cel.hal.science/cel-00867106v2 (accessed on 8 December 2023).
- Chernozhukov, V.; Chetverikov, D.; Kato, K. Central limit theorems and bootstrap in high dimensions. Ann. Probab. 2017, 45, 2309–2352. [Google Scholar] [CrossRef]
- Merlevède, F.; Peligrad, M.; Rio, E. A Bernstein type inequality and moderate deviations for weakly dependent sequences. Probab. Theory Relat. Fields 2011, 151, 435–474. [Google Scholar] [CrossRef]
- Merlevède, F.; Peligrad, M.; Rio, E. Bernstein inequality and moderate deviations under strong mixing conditions. In High Dimensional Probability V: The Luminy Volume; Institute of Mathematical Statistics: Waite Hill, OH, USA, 2009; Volume 5, pp. 273–292. [Google Scholar]



| () | p | ||||||
|---|---|---|---|---|---|---|---|
| (200,220) | 0 | 50 | 5 | 18.5 | 5.8 | 0.9 | 0.3 |
| 200 | 5.9 | 16.5 | 6.6 | 0.4 | 0.4 | ||
| 400 | 5.4 | 17.4 | 6.2 | 0.2 | 0.3 | ||
| 800 | 4.2 | 13.5 | 6.7 | 0.3 | 0.2 | ||
| 0.1 | 50 | 6.5 | 22.8 | 9.3 | 2 | 1 | |
| 200 | 6.6 | 22.6 | 9.6 | 1.2 | 0.8 | ||
| 400 | 7.4 | 22.9 | 10.4 | 1 | 0.8 | ||
| 800 | 5.8 | 22.5 | 12.4 | 1 | 1.2 | ||
| 0.2 | 50 | 6.8 | 30.2 | 13.8 | 3.1 | 2.5 | |
| 200 | 7.7 | 29.9 | 14.3 | 2.2 | 2.7 | ||
| 400 | 9.3 | 30.5 | 18.2 | 2.2 | 2.4 | ||
| 800 | 7.9 | 33.3 | 21.3 | 3 | 3.2 | ||
| (400,420) | 0 | 50 | 5.2 | 17.6 | 6.8 | 1 | 0.5 |
| 200 | 5.3 | 17.2 | 6.8 | 0.5 | 0.1 | ||
| 400 | 4.6 | 15.1 | 5.7 | 0.3 | 0 | ||
| 800 | 5.2 | 14.2 | 6.3 | 0.3 | 0.4 | ||
| 0.1 | 50 | 5.6 | 22.4 | 9.6 | 1.4 | 1 | |
| 200 | 6.3 | 22.5 | 9.6 | 1.3 | 0.8 | ||
| 400 | 6.1 | 21.4 | 9.7 | 0.8 | 0.8 | ||
| 800 | 6.5 | 23.6 | 12.1 | 0.7 | 1.2 | ||
| 0.2 | 50 | 6.7 | 26.9 | 12.8 | 2.5 | 1.9 | |
| 200 | 7.6 | 29.2 | 14.9 | 2.3 | 2.4 | ||
| 400 | 7.6 | 29.4 | 15.1 | 1.5 | 2.9 | ||
| 800 | 8.3 | 36.3 | 21.9 | 2.5 | 3.8 |
| Sector of S&P 500 | 2018–2019 | 2019–2020 | 2020–2021 |
|---|---|---|---|
| Consumer Discretionary | 0 | 0 | 0 |
| Information Technology | 0 | 0 | 0 |
Disclaimer/Publisher’s Note: The statements, opinions and data contained in all publications are solely those of the individual author(s) and contributor(s) and not of MDPI and/or the editor(s). MDPI and/or the editor(s) disclaim responsibility for any injury to people or property resulting from any ideas, methods, instructions or products referred to in the content. |
© 2024 by the author. Licensee MDPI, Basel, Switzerland. This article is an open access article distributed under the terms and conditions of the Creative Commons Attribution (CC BY) license (https://creativecommons.org/licenses/by/4.0/).
Share and Cite
Yang, L. A Blockwise Bootstrap-Based Two-Sample Test for High-Dimensional Time Series. Entropy 2024, 26, 226. https://doi.org/10.3390/e26030226
Yang L. A Blockwise Bootstrap-Based Two-Sample Test for High-Dimensional Time Series. Entropy. 2024; 26(3):226. https://doi.org/10.3390/e26030226
Chicago/Turabian StyleYang, Lin. 2024. "A Blockwise Bootstrap-Based Two-Sample Test for High-Dimensional Time Series" Entropy 26, no. 3: 226. https://doi.org/10.3390/e26030226
APA StyleYang, L. (2024). A Blockwise Bootstrap-Based Two-Sample Test for High-Dimensional Time Series. Entropy, 26(3), 226. https://doi.org/10.3390/e26030226

