Thermodynamic Behavior of Doped Graphene: Impact of Heavy Dopant Atoms
Abstract
1. Introduction
2. Electronic Spectrum for Doped Graphene
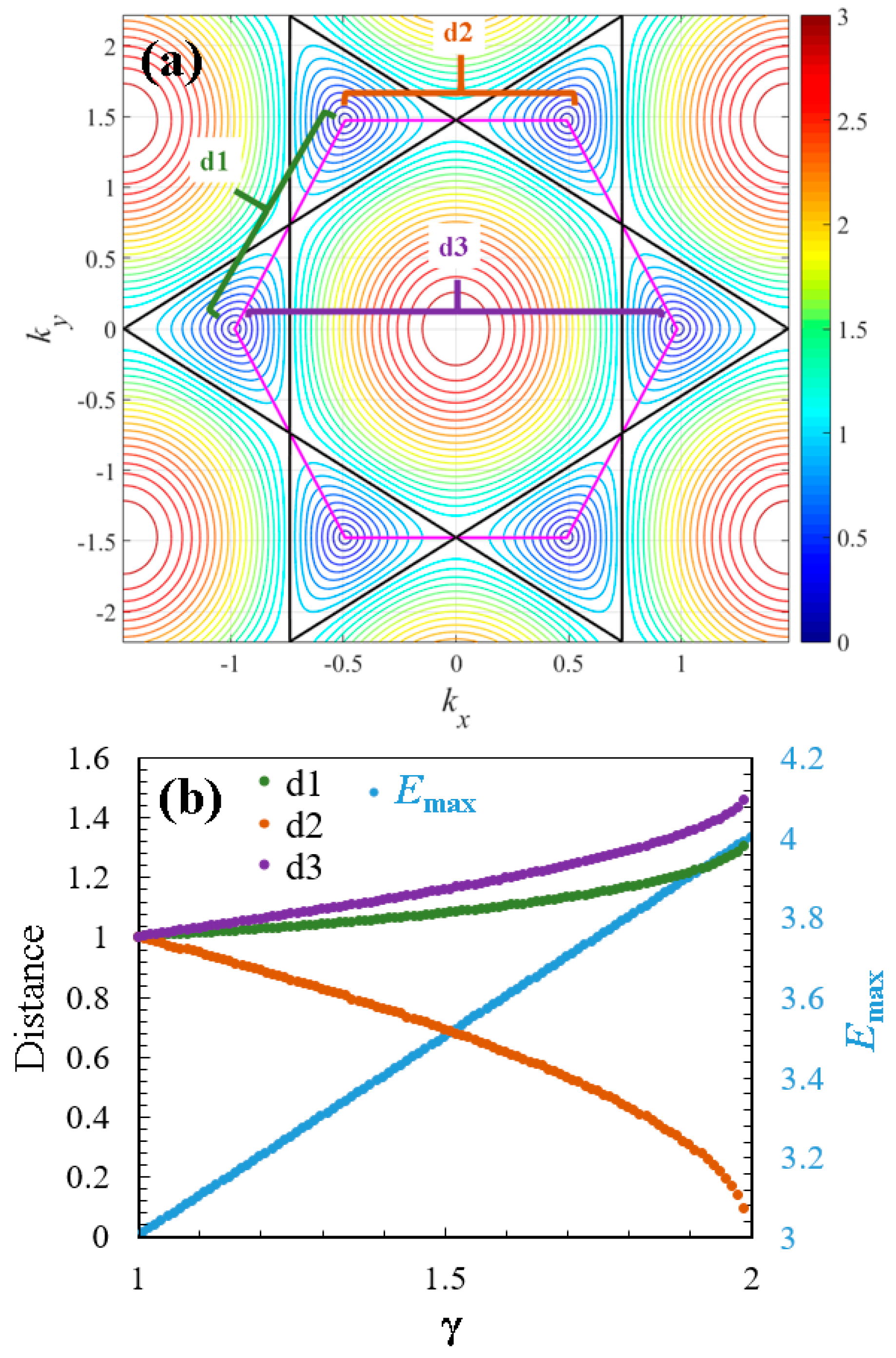
3. Numerical Calculations and Thermodynamic Properties
- (1)
- The numerical construction of energy surface: construct the energy surface of graphene numerically based on the electronic spectrum equation (Equation (3));
- (2)
- The selection of energy level: choose a specific energy level to establish a corresponding horizontal energy-cutting plane;
- (3)
- The identification of intersection curve: identify the intersection curve formed by the energy surface and the selected energy-cutting plane;
- (4)
4. Compositional Effects on Thermodynamic Behavior
4.1. Entropy
4.2. Temperature
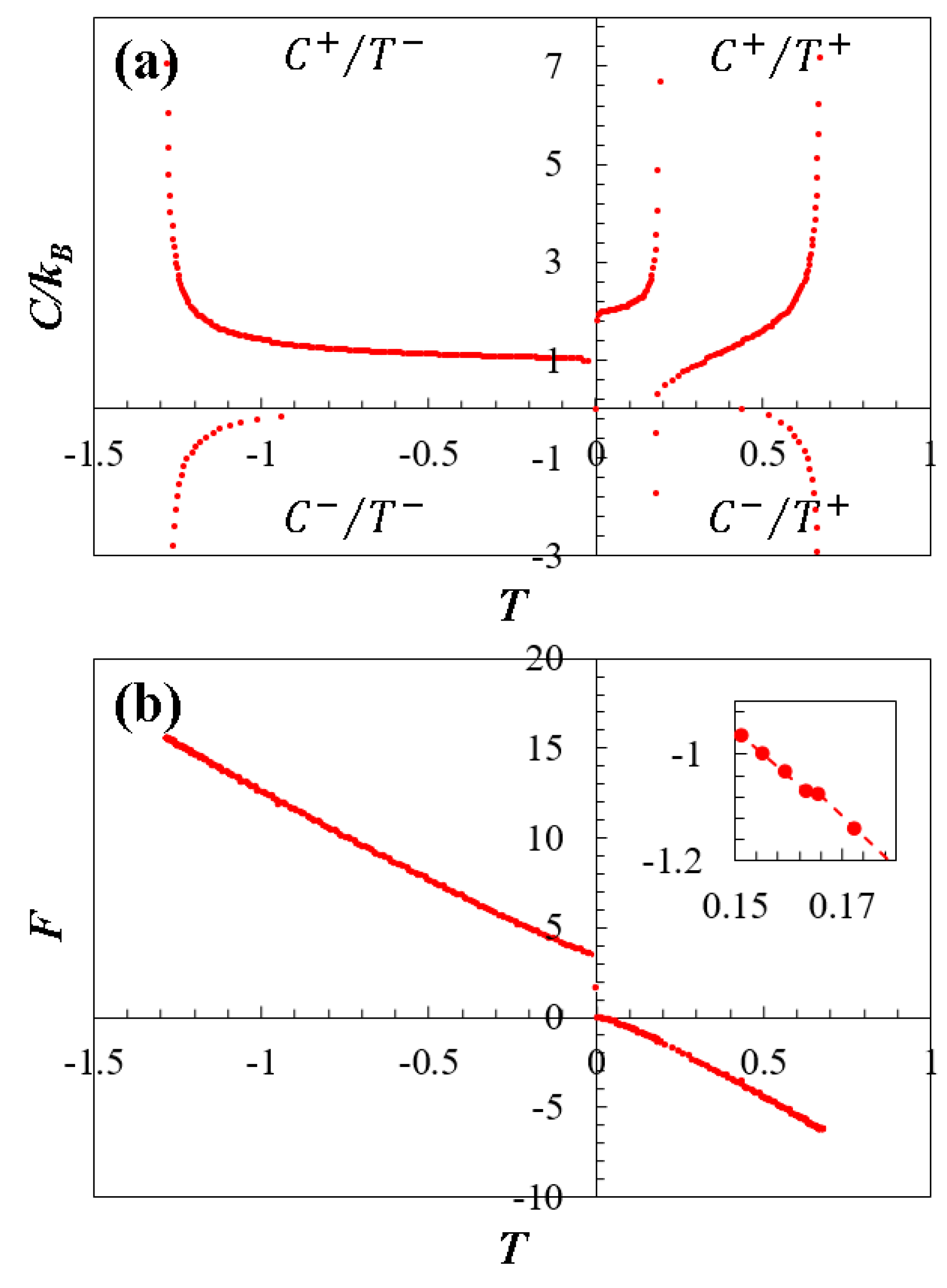
4.3. Specific Heat
4.4. Helmholtz Free Energy
5. Discussion
6. Conclusions
Supplementary Materials
Author Contributions
Funding
Institutional Review Board Statement
Data Availability Statement
Acknowledgments
Conflicts of Interest
References
- Castro Neto, A.H.; Guinea, F.; Peres, N.M.R.; Novoselov, K.S.; Geim, A.K. The electronic properties of graphene. Rev. Mod. Phys. 2009, 81, 109. [Google Scholar] [CrossRef]
- Allen, M.J.; Tung, V.C.; Kaner, R.B. Honeycomb carbon: A review of graphene. Chem. Rev. 2010, 110, 132–145. [Google Scholar] [CrossRef] [PubMed]
- Ullah, S.; Shi, Q.; Zhou, J.; Yang, X.; Ta, H.Q.; Hasan, M.; Ahmad, N.M.; Fu, L.; Bachmatiuk, A.; Rümmeli, M.H. Advances and trends in chemically doped graphene. Adv. Mater. Interfaces 2020, 7, 2000999. [Google Scholar] [CrossRef]
- Liu, H.; Liu, Y.; Zhu, D. Chemical doping of graphene. J. Mater. Chem. 2011, 21, 3335–3345. [Google Scholar] [CrossRef]
- Rao, C.N.R.; Gopalakrishnana, K.; Govindaraja, A. Synthesis, properties and applications of graphene doped with boron, nitrogenand other elements. Nano Today 2014, 9, 324–343. [Google Scholar] [CrossRef]
- Lee, H.; Paeng, K.; Kim, I.S. A review of doping modulation in graphene. Synth. Met. 2018, 244, 36–47. [Google Scholar] [CrossRef]
- Boukhvalov, D.W.; Katsnelson, M.I. Chemical functionalization of graphene with defects. Nano Lett. 2008, 8, 4373–4379. [Google Scholar] [CrossRef] [PubMed]
- Wang, X.R.; Li, X.L.; Zhang, L.; Yoon, Y.; Weber, P.K.; Wang, H.L.; Guo, J.; Dai, H.J. N-doping of graphene through electrothermal reactions with ammonia. Science 2009, 324, 768–771. [Google Scholar] [CrossRef]
- Shao, Y.; Zhang, S.; Engelhard, M.H.; Li, G.; Shao, G.; Wang, Y.; Liu, J.; Aksayc, I.A.; Lin, Y. Nitrogen-doped graphene and its electrochemical applications. J. Mater. Chem. 2010, 20, 7491–7496. [Google Scholar] [CrossRef]
- Zhang, J.; Zhao, C.; Liu, N.; Zhang, H.; Liu, J.; Fu, Y.Q.; Guo, B.; Wang, Z.; Lei, S.; Hu, P.A. Tunable electronic properties of graphene through controlling bonding configurations of doped nitrogen atoms. Sci. Rep. 2016, 6, 28330. [Google Scholar] [CrossRef]
- Srivastava, S.; Jain, S.K.; Gupta, G.; Senguttuvan, T.; Gupta, B.K. Boron-doped few-layer graphene nanosheet gas sensor for enhanced ammonia sensing at room temperature. RSC Adv. 2020, 10, 1007–1014. [Google Scholar] [CrossRef] [PubMed]
- Ding, W.; Wei, Z.; Chen, S.; Qi, X.; Yang, T.; Hu, J.; Wang, D.; Wan, L.-J.; Alvi, S.F.; Li, L. Space-confinement-induced synthesis of pyridinic- and pyrrolic-nitrogen-doped graphene for the catalysis of oxygen reduction. Angew. Chem. Int. Ed. 2013, 52, 11755–11759. [Google Scholar] [CrossRef] [PubMed]
- Wu, Z.-S.; Ren, W.; Xu, L.; Li, F.; Cheng, H.-M. Doped graphene sheets as anode materials with superhigh rate and large capacity for lithium ion batteries. ACS Nano 2011, 5, 5463–5471. [Google Scholar] [CrossRef]
- Maitra, U.; Gupta, U.; De, M.; Datta, R.; Govindaraj, A.; Rao, C.N.R. Highly effective visible-light-induced H2 generation by single-layer 1T-MoS2 and a nanocomposite of few-layer 2H-MoS2 with heavily nitrogenated graphene. Angew. Chem. Int. Ed. 2013, 52, 13057–13061. [Google Scholar] [CrossRef]
- Duan, J.; Chen, S.; Jaroniec, M.; Qiao, S.Z. Heteroatom-doped graphene-based materials for energy-relevant electrocatalytic processes. ACS Catal. 2015, 5, 5207–5234. [Google Scholar] [CrossRef]
- Zhou, J.; Sun, Q.; Wang, Q.; Jena, P. High-temperature superconductivity in heavily N- or B-doped graphene. Phys. Rev. B 2015, 92, 064505. [Google Scholar] [CrossRef]
- Gauzzi, A.; Takashima, S.; Takeshita, N.; Terakura, C.; Takagi, H.; Emery, N.; Hérold, C.; Lagrange, P.; Loupias, G. Enhancement of superconductivity and evidence of structural instability in intercalated graphite CaC6 under high pressure. Phys. Rev. Lett. 2007, 98, 067002. [Google Scholar] [CrossRef]
- Profeta, G.; Calandra, M.; Mauri, F. Phonon-mediated superconductivity in graphene by lithium deposition. Nat. Phys. 2012, 8, 131–134. [Google Scholar] [CrossRef]
- Szczȩśniak, D.; Szczȩśniak, R. Signatures of nonadiabatic superconductivity in lithium-decorated graphene. Phys. Rev. B 2019, 99, 224512. [Google Scholar] [CrossRef]
- Flores, J.C. Thermodynamics beyond isolated Dirac points: A (possible) phase transition when coalescing. Europhys. Lett. 2023, 142, 16003. [Google Scholar] [CrossRef]
- Palma-Chilla, L.; Lazzús, J.A.; Flores, J.C. Entropy and negative specific heat of doped graphene: Topological phase transitions and Nernst’s Theorem revisited. Entropy 2024, 26, 771. [Google Scholar] [CrossRef] [PubMed]
- Mann, S.; Rani, P.; Kumar, R.; Dubey, G.S.; Jindal, V.K. Thermodynamic properties of pure and doped (B, N) graphene. RSC Adv. 2016, 6, 12158–12168. [Google Scholar] [CrossRef]
- Olivi-Tran, N. Progressively doping graphene with Si: From graphene to silicene, a numerical study. Appl. Phys. Res. 2015, 7, 6. [Google Scholar] [CrossRef][Green Version]
- Pedersen, T.G.; Pedersen, J.G. Self-consistent tight-binding model of B and N doping in graphene. Phys. Rev. B 2013, 87, 155433. [Google Scholar] [CrossRef]
- Braden, B. The Surveyor’s area formula. Coll. Math. J. 1986, 17, 326–337. [Google Scholar] [CrossRef]
- Anderson, S.M.; Dyer, O.D. Finding polygonal areas with the Corset Theorem. Coll. Math. J. 2017, 48, 171–178. [Google Scholar] [CrossRef]
- Landau, L.D.; Lifschitz, E.M. Statistical Mechanics; Elsevier: Oxford, UK, 1980. [Google Scholar] [CrossRef]
- Feynman, R.P. Statistical Mechanics; CRC Press: Boca Raton, FL, USA, 1998. [Google Scholar] [CrossRef]
- Pathria, R.K. Statistical Mechanics; Elsevier: Amsterdam, The Netherlands, 1996. [Google Scholar] [CrossRef]
- Toda, M.; Kubo, R.; Saito, N. Statistical Physics I; Springer: Berlin/Heidelberg, Germany, 1983. [Google Scholar] [CrossRef]
- Flores, J.C.; Palma-Chilla, L. Theoretical thermodynamics connections between Dual(Left-Handed) and Direct(RightHanded) systems: Entropy, temperature, pressure and heat capacity. Phys. B 2015, 476, 88–90. [Google Scholar] [CrossRef]
- Palma-Chilla, L.; Flores, J.C. Negative heat capacity in a left-handed system. Phys. A 2016, 471, 396–401. [Google Scholar] [CrossRef]





Disclaimer/Publisher’s Note: The statements, opinions and data contained in all publications are solely those of the individual author(s) and contributor(s) and not of MDPI and/or the editor(s). MDPI and/or the editor(s) disclaim responsibility for any injury to people or property resulting from any ideas, methods, instructions or products referred to in the content. |
© 2024 by the authors. Licensee MDPI, Basel, Switzerland. This article is an open access article distributed under the terms and conditions of the Creative Commons Attribution (CC BY) license (https://creativecommons.org/licenses/by/4.0/).
Share and Cite
Palma-Chilla, L.; Lazzús, J.A. Thermodynamic Behavior of Doped Graphene: Impact of Heavy Dopant Atoms. Entropy 2024, 26, 1093. https://doi.org/10.3390/e26121093
Palma-Chilla L, Lazzús JA. Thermodynamic Behavior of Doped Graphene: Impact of Heavy Dopant Atoms. Entropy. 2024; 26(12):1093. https://doi.org/10.3390/e26121093
Chicago/Turabian StylePalma-Chilla, L., and Juan A. Lazzús. 2024. "Thermodynamic Behavior of Doped Graphene: Impact of Heavy Dopant Atoms" Entropy 26, no. 12: 1093. https://doi.org/10.3390/e26121093
APA StylePalma-Chilla, L., & Lazzús, J. A. (2024). Thermodynamic Behavior of Doped Graphene: Impact of Heavy Dopant Atoms. Entropy, 26(12), 1093. https://doi.org/10.3390/e26121093

