Tuning Corrosion Resistance and AC Soft Magnetic Properties of Fe-Co-Ni-Al Medium-Entropy Alloy via Ni Content
Abstract
1. Introduction
2. Materials and Methods
3. Results
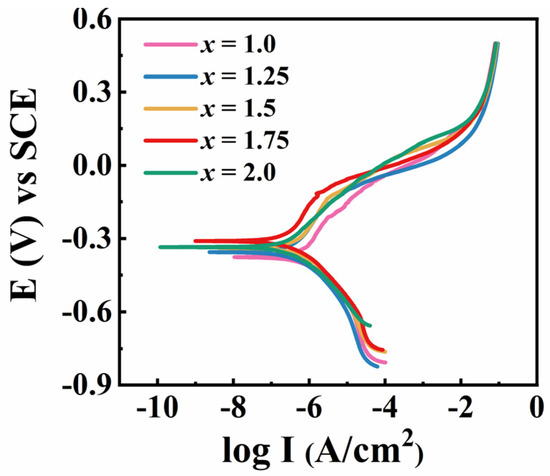
3.1. Corrosion Properties
3.2. X-Ray Diffraction
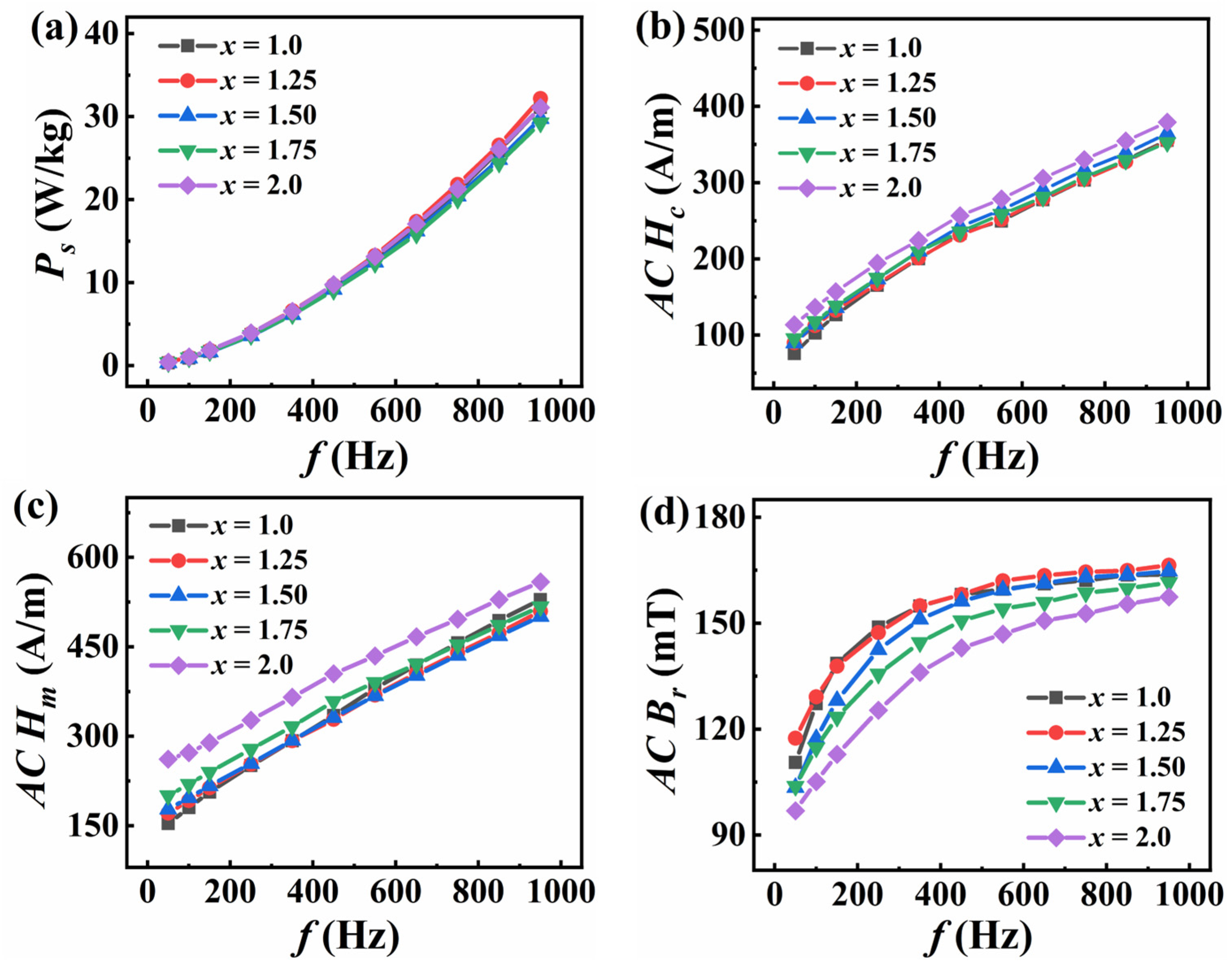
3.3. Magnetic Properties
3.4. Resistivity and Hardness
3.5. Microstructure
4. Discussion
5. Conclusions
Supplementary Materials
Author Contributions
Funding
Institutional Review Board Statement
Data Availability Statement
Conflicts of Interest
References
- Cantor, B.; Chang, I.T.H.; Knight, P.; Vincent, A.J.B. Microstructural development in equiatomic multicomponent alloys. Mater. Sci. Eng. A 2004, 375–377, 213–218. [Google Scholar] [CrossRef]
- Yeh, J.W.; Chen, S.K.; Lin, S.J.; Gan, J.Y.; Chin, T.S.; Shun, T.T.; Tsau, C.H.; Chang, S.Y. Nanostructured high-Entropy alloys with multiple principal elements: Novel alloy design concepts and outcomes. Adv. Eng. Mater. 2004, 6, 299–303. [Google Scholar] [CrossRef]
- Yeh, J.W. Alloy design strategies and future trends in high-entropy alloys. J. Metals 2013, 65, 1759–1771. [Google Scholar] [CrossRef]
- Jin, X.; Gu, X.; Quan, F.; Ran, X.; Zhang, K.; Mao, A. CoCrFeMnNi high-entropy alloy powder with excellent corrosion resistance and soft magnetic property prepared by gas atomization method. Materialwiss. Werkst. 2019, 50, 837–843. [Google Scholar] [CrossRef]
- Zhang, Y.; Zuo, T.T.; Cheng, Y.Q.; Liaw, P.K. High-entropy alloys with high saturation magnetization, electrical resistivity and malleability. Sci. Rep. 2013, 3, 1455. [Google Scholar] [CrossRef]
- Için, K. Investigation of phase transformation related magnetic properties of Ti addition to FeCoCuNiMn and FeCoCuNiAl high entropy alloys by vacuum arc melting. Mater. Today Commun. 2024, 39, 108821. [Google Scholar] [CrossRef]
- Couzinié, J.P.; Senkov, O.N.; Miracle, D.B.; Dirras, G. Comprehensive data compilation on the mechanical properties of refractory high-entropy alloys. Data Brief 2018, 21, 1622–1641. [Google Scholar] [CrossRef]
- Li, Z.Z.; Zhao, S.T.; Richie, R.O.; Meyers, M.A. Mechanical properties of high-entropy alloys with emphasis on face-centered cubic alloys. Prog. Mater. Sci. 2019, 102, 296–345. [Google Scholar] [CrossRef]
- Huang, H.; Wu, Y.; He, J.Y.; Wang, H.; Liu, X.J.; An, K.; Wu, W.; Lu, Z.P. Phase-transformation ductilization of brittle high-entropy alloys via metastability engineering. Adv. Mater. 2017, 29, 1701678. [Google Scholar] [CrossRef]
- Lin, C.M.; Juan, C.C.; Chang, C.H.; Tsai, C.W.; Yeh, J.W. Effect of Al addition on mechanical properties and microstructure of refractory AlxHfNbTaTiZr alloys. J. Alloys Compd. 2015, 624, 100–107. [Google Scholar] [CrossRef]
- Jiang, S.H.; Wang, H.; Wu, Y.; Liu, X.J.; Chen, H.H.; Yao, M.J.; Gault, B.; Pronge, D.; Raabe, D.; Hirata, A.; et al. Ultrastrong steel via minimal lattice misfit and high-density nanoprecipitation. Nature 2017, 544, 460–464. [Google Scholar] [CrossRef] [PubMed]
- Shi, P.J.; Ren, W.L.; Zheng, T.X.; Ren, Z.M.; Hou, X.L.; Peng, J.C.; Hu, P.F.; Gao, Y.F.; Zhong, Y.B.; Liaw, P.K. Enhanced strength-ductility synergy in ultrafine-grained eutectic high-entropy alloys by inheriting microstructural lamellae. Nat. Commun. 2019, 10, 489. [Google Scholar] [CrossRef] [PubMed]
- Zhou, K.X.; Sun, B.R.; Liu, G.Y.; Li, X.W.; Xin, S.W.; Liaw, P.K.; Shen, T.D. FeCoNiAlSi high entropy alloys with exceptional fundamental and application-oriented magnetism. Intermetallics 2020, 122, 106801. [Google Scholar] [CrossRef]
- Li, J.; Xue, L.; Yang, W.M.; Yuan, C.C.; Huo, J.T.; Shen, B.L. Distinct spin glass behavior and excellent magnetocaloric effect in Er20Dy20Co20Al20RE20 (RE = Gd, Tb and Tm) high-entropy bulk metallic glasses. Intermetallics 2018, 96, 90–93. [Google Scholar] [CrossRef]
- Huo, J.T.; Huo, L.S.; Men, H.; Wang, X.M.; Inoue, A.; Wang, J.Q.; Chang, C.T.; Li, R.W. The magnetocaloric effect of Gd-Tb-Dy-Al-M (M = Fe, Co and Ni) high-entropy bulk metallic glasses. Intermetallics 2015, 58, 31–35. [Google Scholar] [CrossRef]
- Dong, Z.H.; Huang, S.; Ström, V.; Chai, G.C.; Varga, L.K.; Eriksson, O.; Vitos, L. MnxCr0.3Fe0.5Co0.2Ni0.5Al0.3 high entropy alloys for magnetocaloric refrigeration near room temperature. J. Mater. Sci. Technol. 2021, 79, 15–20. [Google Scholar] [CrossRef]
- Yuan, Y.; Wu, Y.; Tong, X.; Zhang, H.; Wang, H.; Liu, X.J.; Ma, L.; Suo, H.L.; Lu, Z.P. Rare-earth high-entropy alloys with giant magnetocaloric effect. Acta Mater. 2017, 125, 481–489. [Google Scholar] [CrossRef]
- Yang, P.P.; Liu, Y.; Zhao, X.C.; Cheng, J.W.; Li, H. Electromagnetic wave absorption properties of mechanically alloyed FeCoNiCrAl high entropy alloy powder. Adv. Powder Technol. 2016, 27, 1128–1133. [Google Scholar] [CrossRef]
- Feng, X.M.; Zheng, R.Y.; Wu, Z.Y.; Zhang, Y.; Li, Z.; Tan, X.H.; Xu, H. Study on a new high-entropy alloy Nd20Pr20La20Fe20Co10Al10 with hard magnetic properties. J. Alloys Compd. 2021, 882, 160640. [Google Scholar] [CrossRef]
- Na, S.M.; Lambert, P.K.; Jones, N.J. Hard magnetic properties of FeCoNiAlCuxTix based high entropy alloys. Aip. Adv. 2021, 11, 015210. [Google Scholar] [CrossRef]
- Chen, H.Y.; Gou, J.M.; Jia, W.T.; Song, X.; Ma, T.Y. Origin of hard magnetism in Fe-Co-Ni-Al-Ti-Cu high-entropy alloy: Chemical shape anisotropy. Acta Mater. 2023, 246, 118702. [Google Scholar] [CrossRef]
- Li, P.P.; Wang, A.; Liu, C.T. A ductile high entropy alloy with attractive magnetic properties. J. Alloys Compd. 2017, 694, 55–60. [Google Scholar] [CrossRef]
- Wu, Z.Y.; Chen, M.Y.; Li, B.; Lv, M.X.; Zheng, R.Y.; Yang, Y.; Tan, X.H.; Xu, H. A novel formation and structure evolution of Cu-rich precipitates in FeCoNiCuAl high-entropy alloy. Mater. Charact. 2022, 191, 112161. [Google Scholar] [CrossRef]
- Chen, C.; Zhang, H.; Fan, Y.Z.; Zhang, W.W.; Wei, R.; Wang, T.; Zhang, T.; Li, F.S. A novel ultrafine-grained high entropy alloy with excellent combination of mechanical and soft magnetic properties. J. Magn. Magn. Mater. 2020, 502, 166513. [Google Scholar] [CrossRef]
- Li, Z.; Gu, Y.; Pan, M.X.; Wang, C.X.; Wu, Z.Y.; Hou, X.L.; Tan, X.H.; Xu, H. Tailoring AC magnetic properties of FeCoNi(MnSi)x (0 ≤ x ≤ 0.4) high-entropy alloys by the addition of Mn and Si elements. J. Alloys Compd. 2019, 792, 215–221. [Google Scholar] [CrossRef]
- Zheng, R.Y.; Wu, Z.Y.; Chen, M.Y.; Li, B.; Yang, Y.; Li, Z.; Tan, X.H.; Xu, H. Tuning AC magnetic properties of FeCoNi1+xCu1−xAl (0 ≤ x ≤ 1.0) high-entropy alloys by adjusting Ni and Cu content. J. Alloys Compd. 2022, 922, 166174. [Google Scholar] [CrossRef]
- Rao, Z.Y.; Ponge, D.; Körmann, F.; Ikeda, Y.J.; Schneeweiss, O.; Friák, M.; Neugebauer, J.; Raabe, D.; Li, Z.M. Invar effects in FeNiCo medium entropy alloys: From an Invar treasure map to alloy design. Intermetallics 2019, 111, 106520. [Google Scholar] [CrossRef]
- Tan, X.H.; Tang, Y.J.; Tan, Y.F.; Deng, Q.; Jiao, H.S.; Yang, Y.; Xu, H. Correlation between microstructure and soft magnetic parameters of Fe-Co-Ni-Al medium-entropy alloys with FCC phase and BCC phase. Intermetallics 2020, 126, 106898. [Google Scholar] [CrossRef]
- Chai, W.K.; Lu, T.; Pan, Y. Corrosion behaviors of FeCoNiCrx (x = 0, 0.5, 1.0) multi-principal element alloys: Role of Cr-induced segregation. Intermetallics 2020, 116, 106654. [Google Scholar] [CrossRef]
- Liu, C.; Gao, Y.; Chong, K.; Guo, F.Q.; Wu, D.T.; Zou, Y. Effect of Nb content on the microstructure and corrosion resistance of FeCoCrNiNbx high-entropy alloys in chloride ion environment. J. Alloys Compd. 2023, 935, 168013. [Google Scholar] [CrossRef]
- Shi, Y.Z.; Yang, B.; Xie, X.; Brechtl, J.; Dahmen, K.A.; Liaw, P.K. Corrosion of Al CoCrFeNi high-entropy alloys: Al-content and potential scan-rate dependent pitting behavior. Corros. Sci. 2017, 119, 33–45. [Google Scholar] [CrossRef]
- Sathyanarayana Raju, C.V.; Venugopal, D.; Srikanth, P.R.; Lokeshwaran, K.; Srinivas, M.; Chary, C.J.; Ashok Kumar, A. Effect of aluminum addition on the properties of CoCuFeNiTi high entropy alloys. Mater. Today Proc. 2018, 5, 26823–26828. [Google Scholar] [CrossRef]
- Wang, W.R.; Wang, J.Q.; Sun, Z.H.; Li, J.T.; Li, L.F.; Song, X.; Wen, X.D.; Xie, L.; Yang, X. Effect of Mo and aging temperature on corrosion behavior of (CoCrFeNi)100−xMox high-entropy alloys. J. Alloys Compd. 2020, 812, 152139. [Google Scholar] [CrossRef]
- Li, C.Y.; Lu, Y.; Li, X.L.; Zhao, Z.X.; Kou, S.Z.; Lia, P.K. Microstructures and properties of Fe1.25CoNi1.25CrxAl0.25 high-entropy alloys after cold-rolling and annealing. J. Non-Cryst. Solids 2021, 570, 121023. [Google Scholar] [CrossRef]
- Dai, J.; Feng, H.; Li, H.B.; Zhu, H.C.; Zhang, S.C.; Qu, J.D.; He, T.; Jiang, Z.H.; Zhang, T. Insights into the mechanism of Mo protecting CoCrFeNi HEA from pitting corrosion-A quantitative modelling study on passivation and repassivation processes. J. Mater. Sci. Technol. 2024, 182, 152–164. [Google Scholar] [CrossRef]
- Wei, P.; Fan, Y.; Zhang, W.W.; Li, X.; Zhu, S.J.; Wang, J.F.; Wang, C.; Zhang, T.; Chen, C.; Guan, S.K. Understanding magnetic behaviors of FeCoNiSi0.2M0.2 (M = Cr, Mn) high entropy alloys via first-principle calculation. J. Magn. Magn. Mater. 2021, 519, 167432. [Google Scholar] [CrossRef]
- Borkar, T.; Chaudhary, V.; Gwalani, B.; Choudhuri, D.; Mikler, C.V.; Soni, V.; Alam, T.; Ramanujan, R.J.; Banerjee, R. A combinational approach for assessing the magnetic properties of high entropy alloys: Role of Cr in AlCoxCr1−xFeNi. Adv. Eng. Mater. 2017, 19, 1700048. [Google Scholar] [CrossRef]
- Şimşek, T.; Akgül, Ş.; Güler, Ö.; Özkul, İ.; Avar, B.; Chattopadhyay, A.K.; Canbay, C.A.; Güler, S.H. A comparison of magnetic, structural and thermal properties of NiFeCoMo high entropy alloy produced by sequential mechanical alloying versus the alloy produced by conventional mechanical alloying. Mater. Today Commun. 2021, 29, 102986. [Google Scholar] [CrossRef]
- Mishra, R.K.; Kumari, P.; Gupta, A.K.; Shahi, R.R. Design and development of Co35Cr5Fe20−xNi20+xTi20 high entropy alloy with excellent magnetic softness. J. Alloys Compd. 2021, 889, 161773. [Google Scholar] [CrossRef]
- Wu, Z.Y.; Wang, C.X.; Zhang, Y.; Feng, X.M.; Gu, Y.; Li, Z.; Jiao, H.S.; Tan, X.H.; Xu, H. The AC Soft Magnetic Properties of FeCoNixCuAl (1.0 ≤ x ≤ 1.75) High-Entropy Alloys. Materials 2019, 12, 4222. [Google Scholar] [CrossRef]
- Qiu, X.W.; Liu, C.G. Microstructure and properties of Al2CrFeCoCuTiNix high-entropy alloys prepared by laser cladding. J. Alloys Compd. 2013, 553, 216–220. [Google Scholar] [CrossRef]
- Denpo, K.; Ogawa, H. Effects of nickel and chromium on corrosion rate of linepipe steel. Corros. Sci. 1993, 35, 285–288. [Google Scholar] [CrossRef]
- Li, P.P.; Wang, A.D.; Liu, C.T. Composition dependence of structure, physical and mechanical properties of FeCoNi(MnAl)x high entropy alloys. Intermetallics 2017, 87, 21–26. [Google Scholar] [CrossRef]
- Ou, J.F.; Liu, M.Z.; Li, W.; Wang, F.J.; Xue, M.S.; Li, C.Q. Corrosion behavior of superhydrophobic surfaces of Ti alloys in NaCl solutions. Appl. Surf. Sci. 2012, 258, 4724–4728. [Google Scholar] [CrossRef]
- Qiao, J.X.; Luo, H.Q.; Li, M.; Li, N.B. Corrosion inhibition effect of uric acid self-assembled film to nickel. J. Chin. Soc. Corros. Prot. 2009, 29, 145–148. [Google Scholar]
- Zhou, J.L.; Kong, D.J. Immersion corrosion and electrochemical performances of laser cladded FeSiB, FeSiBCr and FeSiBCrMo coatings in 3.5 wt% NaCl solution. Surf. Coat. Technol. 2020, 383, 125229. [Google Scholar] [CrossRef]
- Elmi, F.; Gharakhani, A.; Ghasemi, S.; Alinezhad, H. Self-assemble l-glycine and l-cysteine/polydopamine nanohybrid films coated on 304 stainless steel for corrosion study in sterile seawater. Prog. Org. Coat. 2018, 119, 127–137. [Google Scholar] [CrossRef]
- Song, L.F.; Hu, W.B.; Liao, B.K.; Wan, S.; Kang, L.; Guo, X.P. Corrosion behavior of AlCoCrFeNi2.1 eutectic high-entropy alloy in Cl−-containing solution. J. Alloys Compd. 2023, 938, 168609. [Google Scholar]
- Wu, Z.Y.; Li, B.; Chen, M.Y.; Yang, Y.; Zheng, R.Y.; Yuan, L.; Li, Z.; Tan, X.H.; Xu, H. Tailoring magnetic property and corrosion resistance of FeCoNiCuAl high-entropy alloy with Ce additive. J. Alloys Compd. 2022, 901, 163665. [Google Scholar] [CrossRef]
- Wu, C.L.; Zhang, S.; Zhang, C.H.; Zhang, H.; Dong, S.Y. Phase evolution and cavitation erosion-corrosion behavior of FeCoCrAlNiTix high entropy alloy coatings on 304 stainless steel by laser surface alloying. J. Alloys Compd. 2017, 698, 761–770. [Google Scholar] [CrossRef]
- Ningshen, S.; Kamachi Mudali, U.; Amarendra, G.; Gopalan, P.; Dayal, R.K.; Khatak, H.S. Hydrogen effects on the passive film formation and pitting susceptibility of nitrogen containing type 316L stainless steels. Corros. Sci. 2006, 48, 1106–1121. [Google Scholar] [CrossRef]
- Singh, A.P.; Srivastava, C. Effect of selective atomic clustering, surface texture and grain boundary constitution on the corrosion behaviour of electrodeposited Sn−xBi coatings. Corros. Sci. 2023, 215, 111039. [Google Scholar] [CrossRef]
- Li, M.W.; Nutor, R.K.; Cao, Q.; Wang, X.D.; Ding, S.Q.; Zhang, D.X.; Jiang, J.Z. Corrosion behavior of Al-containing CoNiV alloys. Corros. Sci. 2022, 207, 110567. [Google Scholar] [CrossRef]
- Zhang, M.D.; Shi, X.L.; Li, Z.Y.; Xu, H.Q.; Li, G. Corrosion behaviors and mechanism of CrFeNi2 based high-entropy alloys. Corros. Sci. 2022, 207, 110562. [Google Scholar] [CrossRef]
- Lu, K.J.; Lei, Z.R.; Deng, S.; Li, J.H.; Feng, T.F.; Luo, Z.Y.; Ma, X.K. Synergistic effects of grain sizes on the corrosion behavior and mechanical properties in a metastable high-entropy alloy. Corros. Sci. 2023, 225, 111588. [Google Scholar] [CrossRef]
- Wang, Z.; Jin, J.; Zhang, G.H.; Fan, X.H.; Zhang, L. Effect of temperature on the passive film structure and corrosion performance of CoCrFeMoNi high-entropy alloy. Corros. Sci. 2022, 208, 110661. [Google Scholar] [CrossRef]
- Sarangi, C.K.; Sahu, B.P.; Mishra, B.K.; Mitra, R. Structure and corrosion property of pulse electrodeposited nanocrystalline nickel-tungsten-copper alloy coating. J. Appl. Electrochem. 2021, 51, 1157–1174. [Google Scholar] [CrossRef]
- Tan, X.H.; Chen, L.M.; Lv, M.X.; Peng, W.F.; Xu, H. Tailoring mechanical and magnetic properties in dual-phase FeCoNi(CuAl)0.8 high-entropy alloy. Materials 2023, 16, 7222. [Google Scholar] [CrossRef]
- Zhao, R.F.; Ren, B.; Zhang, G.P.; Liu, Z.X.; Cai, B.; Zhang, J.J. CoCrxCuFeMnNi high-entropy alloy powders with superior soft magnetic properties. J. Magn. Magn. Mater. 2019, 491, 165574. [Google Scholar] [CrossRef]
- Zhao, C.D.; Li, J.S.; He, Y.X.; Wang, J.X.; Wang, W.Y.; Kou, H.C.; Wang, J. Effect of strong magnetic field on the microstructure and mechanical-magnetic properties of AlCoCrFeNi high-entropy alloy. J. Alloys Compd. 2020, 820, 153407. [Google Scholar] [CrossRef]
- Zhu, Y.Y.; Zhou, J.; Wu, C.M.; Wang, Y.Q.; Liu, Y. Effect of annealing temperature on the magnetic and microwave absorption of FeNi alloy. J. Magn. Magn. Mater. 2023, 570, 170535. [Google Scholar] [CrossRef]
- Zhu, S.Y.; Yan, D.S.; Zhang, Y.; Han, L.L.; Raabe, D.; Li, Z.M. Strong and ductile Resinvar alloys with temperature- and time-independent resistivity. Nat. Commun. 2024, 15, 7199. [Google Scholar] [CrossRef] [PubMed]
- Xu, H.; Xia, Y.B.; Chen, M.Y.; Ma, L.; Li, H.N.; Li, B.; Wu, Z.Y.; Tan, X.H. Effect of Mo addition on AC soft magnetic property, hardness and microstructure of FeCoNiMox (0 ≤ x ≤ 0.25) medium entropy alloys. Mater. Charact. 2023, 206, 113435. [Google Scholar] [CrossRef]
- Li, W.D.; Xie, D.; Li, D.Y.; Zhang, Y.; Gao, Y.F.; Liaw, P.K. Mechanical behavior of high-entropy alloys. Prog. Mater. Sci. 2021, 118, 100777. [Google Scholar] [CrossRef]
- George, E.P.; Raabe, D.; Ritchie, R.O. High-entropy alloys. Nat. Rev. Mater. 2019, 4, 515–534. [Google Scholar] [CrossRef]
- Lee, C.P.; Chang, C.C.; Chen, Y.Y.; Yeh, J.W.; Shih, H.C. Effect of the aluminium content of AlxCrFe1.5MnNi0.5 high-entropy alloys on the corrosion behaviour in aqueous environments. Corros. Sci. 2008, 50, 2053–2060. [Google Scholar] [CrossRef]
- Wei, L.; Liu, Y.; Li, Q.; Cheng, Y.F. Effect of roughness on general corrosion and pitting of (FeCoCrNi)0.89(WC)0.11 high-entropy alloy composite in 3.5 wt.% NaCl solution. Corros. Sci. 2019, 146, 44–57. [Google Scholar] [CrossRef]
- Chao, J.L.; Lin, S.W.; Lin, J.C.; Liu, Y.H.; Hsiao, C.Y.; Wang, F.; Li, N.; Wu, A.T. The effect of microstructure for Ni-based surface finishing thin film on corrosion behavior. Surf. Coat. Technol. 2023, 456, 129252. [Google Scholar] [CrossRef]
- Kao, Y.F.; Lee, T.D.; Chen, S.K.; Chang, Y.S. Electrochemical passive properties of AlxCoCrFeNi (x = 0, 0.25, 0.50, 1.00) alloys in sulfuric acids. Corros. Sci. 2010, 52, 1026–1034. [Google Scholar] [CrossRef]
- Hasannaeimi, V.; Mukherjee, S. Galvanic corrosion in a eutectic high entropy alloy. J. Electroanal. Chem. 2019, 848, 113331. [Google Scholar] [CrossRef]
- Wei, L.; Qin, W.M. Corrosion mechanism of eutectic high-entropy alloy induced by micro-galvanic corrosion in sulfuric acid solution. Corros. Sci. 2022, 206, 110525. [Google Scholar] [CrossRef]












| Alloys | Icorr (A/cm2) | Ecorr (V) | Ref. |
|---|---|---|---|
| FeCoNiAl | 9.12 × 10−7 | −0.38 | Current |
| FeCoNi1.25Al | 4.28 × 10−7 | −0.36 | Current |
| FeCoNi1.50Al | 4.16 × 10−7 | −0.34 | Current |
| FeCoNi1.75Al | 3.08 × 10−7 | −0.31 | Current |
| FeCoNi2Al | 2.67 × 10−7 | −0.34 | Current |
| Ti | 2.51 × 10−7 | −0.37 | [44] |
| Ni | 1.20 × 10−6 | −0.18 | [45] |
| FeSiB amorphous alloy | 2.18 × 10−6 | −0.77 | [46] |
| 304 stainless steels | (1.99)–(3.16) × 10−6 | (−0.22)–(0.27) | [47] |
| FeCoNi2.1CrAl | 7.31 × 10−7 | −0.27 | [48] |
| FeCoNiCrx (x = 0–1.0) | (2.36)–(7.05) × 10−6 | (−0.41)–(−0.32) | [29] |
| FeCoNiCrAlx (x = 0.3–0.7) | (0.84)–(4.29) × 10−7 | (−0.28)–(−0.20) | [31] |
| FeCoNiCuAlCex (x = 0–0.09) | (4.01)–(5.78) × 10−6 | (−0.45)–(−0.43) | [49] |
| FeCoNiAlCrTix (x = 0.5–2.0) | (0.73)–(4.70) × 10−7 | (−0.18)–(−0.23) | [50] |
| Alloys | Rs (ohm) | Q1 (10−5) | Rf (kohm) | Q2 (10−4) | Rct (kohm) | Rp (kohm) |
|---|---|---|---|---|---|---|
| x = 1.0 | 7.94 | 2.80 | 0.02 | 0.27 | 55.21 | 55.23 |
| x = 1.25 | 7.90 | 2.13 | 37.5 | 0.26 | 60.76 | 98.26 |
| x = 1.50 | 7.51 | 2.11 | 71.3 | 0.27 | 85.85 | 157.15 |
| x = 1.75 | 7.26 | 1.89 | 84.3 | 0.29 | 175.66 | 259.96 |
| x = 2.0 | 7.96 | 1.56 | 105.0 | 0.20 | 228.23 | 333.23 |
| Alloys | Ms (Am2/kg) | Ps (W/kg) | AC Hc (A/m) | AC Hm (A/m) | AC Br (mT) | Ref. |
|---|---|---|---|---|---|---|
| FeCoNiAl | 115 | 31.09 | 355 | 529 | 164 | Current |
| FeCoNi1.25Al | 103 | 32.17 | 355 | 510 | 166 | Current |
| FeCoNi1.50Al | 97 | 29.76 | 364 | 501 | 165 | Current |
| FeCoNi1.75Al | 88 | 29.25 | 353 | 517 | 162 | Current |
| FeCoNi2Al | 78 | 31.09 | 379 | 559 | 157 | Current |
| FeCoNi(MnSi)x (x = 0–0.4) | 59–138 | 16.93–26.84 | 272–462 | - | - | [25] |
| FeCoNi1+xCu1−xAl (x = 0–1.0) | 79–82 | 37.65–85.32 | 433–1044 | 617–1664 | 130–168 | [26] |
| FeCoNiCuMn | 84 | - | - | - | - | [59] |
| FeCoNiAlCr | 70 | - | - | - | - | [60] |
| FeNi | 84 | - | - | - | - | [61] |
| Alloys | Resistivity (μΩ·cm) | Vickers Hardness (HV) |
|---|---|---|
| FeCoNiAl | 60.0 ± 1.2 | 401 ± 5 |
| FeCoNi1.25Al | 61.9 ± 1.6 | 379 ± 5 |
| FeCoNi1.50Al | 64.6 ± 1.3 | 367 ± 9 |
| FeCoNi1.75Al | 67.7 ± 1.0 | 343 ± 5 |
| FeCoNi2Al | 72.0 ± 1.1 | 354 ± 8 |
| x | Regions | Fe | Co | Ni | Al |
|---|---|---|---|---|---|
| 1.0 | Nominal | 25 | 25 | 25 | 25 |
| BCC | 25.26 ± 0.56 | 26.35 ± 1.05 | 24.74 ± 3.09 | 23.26 ± 2.85 | |
| 1.25 | Nominal | 23.53 | 23.53 | 29.41 | 23.53 |
| BCC | 24.24 ± 0.37 | 24.82 ± 0.26 | 28.91 ± 0.54 | 22.04 ± 0.63 | |
| FCC | 32.17 ± 0.13 | 28.07 ± 0.30 | 27.24 ± 0.22 | 12.54 ± 0.39 | |
| 1.5 | Nominal | 22.22 | 22.22 | 33.33 | 22.22 |
| BCC | 18.54 ± 0.55 | 21.41 ± 0.23 | 34.36 ± 0.26 | 25.70 ± 0.20 | |
| Region A | 28.22 ± 0.68 | 26.23 ± 0.87 | 31.73 ± 0.42 | 13.84 ± 0.39 | |
| Region B | 23.19 ± 1.37 | 23.42 ± 0.59 | 33.11 ± 0.81 | 20.30 ± 1.25 | |
| 1.75 | Nominal | 21.05 | 21.05 | 36.84 | 21.05 |
| BCC | 19.25 ± 1.02 | 20.67 ± 1.67 | 37.59 ± 0.19 | 22.55 ± 0.28 | |
| Region A | 24.99 ± 0.63 | 24.33 ± 0.46 | 36.12 ± 0.35 | 14.56 ± 0.92 | |
| Region B | 20.51 ± 0.77 | 21.12 ± 0.89 | 38.16 ± 0.77 | 20.21 ± 1.33 | |
| 2.0 | Nominal | 20 | 20 | 40 | 20 |
| BCC | 17.04 ± 0.86 | 19.96 ± 0.79 | 41.26 ± 0.24 | 21.74 ± 1.07 | |
| Region A | 22.81 ± 0.32 | 22.93 ± 0.90 | 39.93 ± 0.56 | 14.33 ± 0.77 | |
| Region B | 19.45 ± 0.49 | 20.71 ± 0.24 | 40.73 ± 0.85 | 19.45 ± 0.69 |
Disclaimer/Publisher’s Note: The statements, opinions and data contained in all publications are solely those of the individual author(s) and contributor(s) and not of MDPI and/or the editor(s). MDPI and/or the editor(s) disclaim responsibility for any injury to people or property resulting from any ideas, methods, instructions or products referred to in the content. |
© 2024 by the authors. Licensee MDPI, Basel, Switzerland. This article is an open access article distributed under the terms and conditions of the Creative Commons Attribution (CC BY) license (https://creativecommons.org/licenses/by/4.0/).
Share and Cite
Peng, W.; Xia, Y.; Xu, H.; Tan, X. Tuning Corrosion Resistance and AC Soft Magnetic Properties of Fe-Co-Ni-Al Medium-Entropy Alloy via Ni Content. Entropy 2024, 26, 1038. https://doi.org/10.3390/e26121038
Peng W, Xia Y, Xu H, Tan X. Tuning Corrosion Resistance and AC Soft Magnetic Properties of Fe-Co-Ni-Al Medium-Entropy Alloy via Ni Content. Entropy. 2024; 26(12):1038. https://doi.org/10.3390/e26121038
Chicago/Turabian StylePeng, Wenfeng, Yubing Xia, Hui Xu, and Xiaohua Tan. 2024. "Tuning Corrosion Resistance and AC Soft Magnetic Properties of Fe-Co-Ni-Al Medium-Entropy Alloy via Ni Content" Entropy 26, no. 12: 1038. https://doi.org/10.3390/e26121038
APA StylePeng, W., Xia, Y., Xu, H., & Tan, X. (2024). Tuning Corrosion Resistance and AC Soft Magnetic Properties of Fe-Co-Ni-Al Medium-Entropy Alloy via Ni Content. Entropy, 26(12), 1038. https://doi.org/10.3390/e26121038
