Estimation of a Simple Structure in a Multidimensional IRT Model Using Structure Regularization
Abstract
:1. Introduction
2. MIRT Model and Prenet Penalty
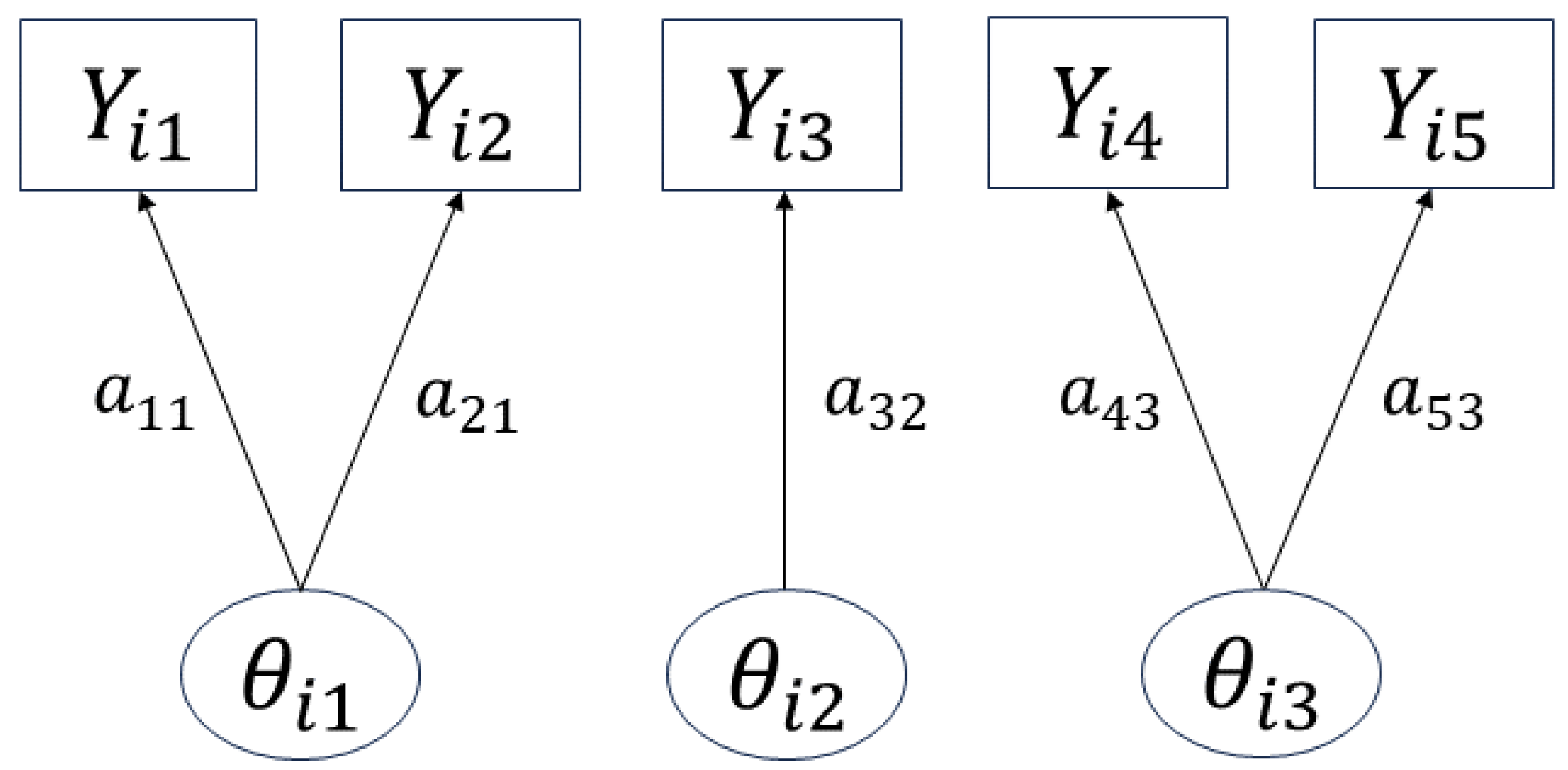
2.1. 2-Parameter Multidimensional IRT Model
2.2. Item Clustering Using structure Regularization
2.3. Determining the Regularization Parameter
3. Optimization Method
3.1. Stochastic E-step (stE-step)
3.2. M-Step
3.3. Gibbs Sampling
3.4. Calculation of Final Estimation Results
4. Numerical Experiments
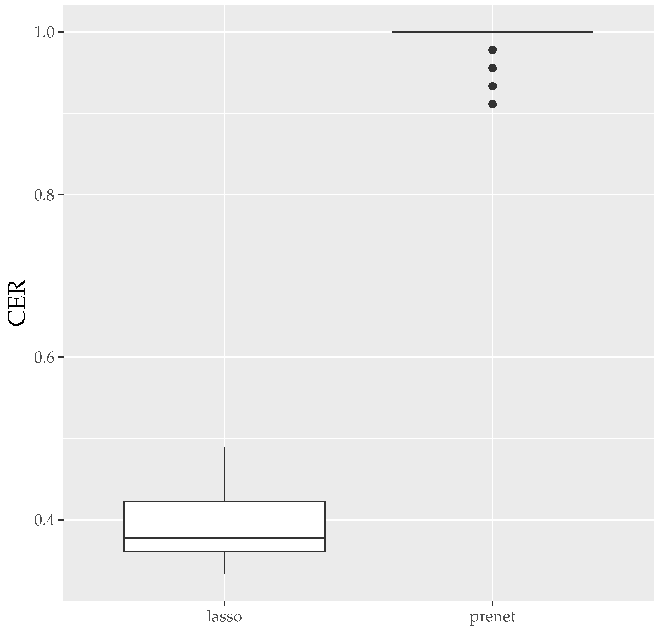
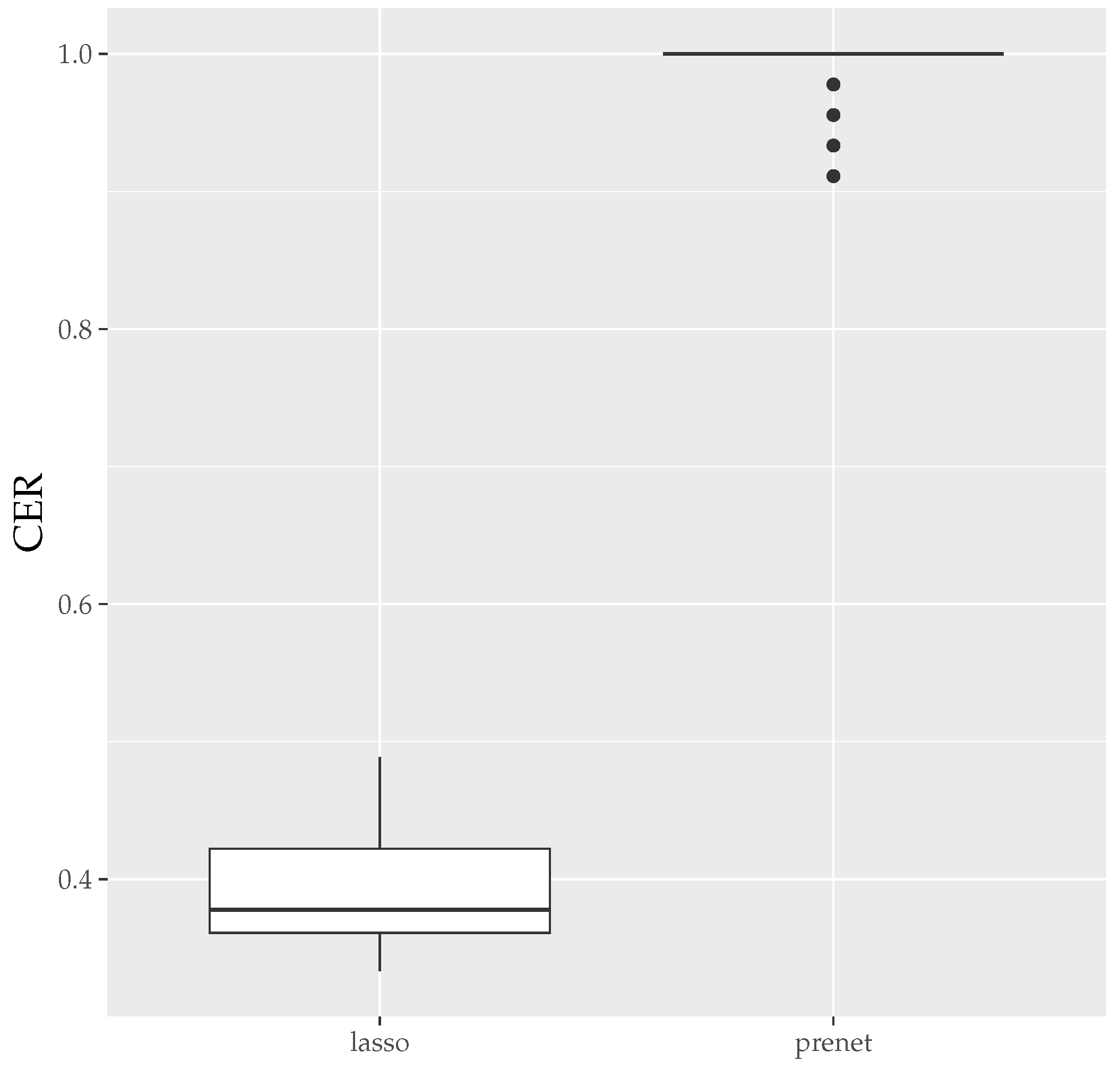
Comparison with Lasso
5. Conclusions
Author Contributions
Funding
Institutional Review Board Statement
Informed Consent Statement
Data Availability Statement
Conflicts of Interest
Appendix A. Details of the M-Step
Appendix A.1. Proximal Gradient Method
Appendix A.2. Computation of the Proximal Operator
References
- Reckase, M.D. Multidimensional Item Response Theory, 1st ed.; Springer: Berlin/Heidelberg, Germany, 2009. [Google Scholar]
- Hastie, T.; Tibshirani, R.; Wainwright, M. Statistical Learning with Sparsity: The Lasso and Generalizations; CRC Press: Boca Raton, FL, USA, 2015. [Google Scholar]
- Tibshirani, R. Regression shrinkage and selection via the lasso. J. R. Stat. Soc. Ser. B Stat. Methodol. 1996, 58, 267–288. [Google Scholar] [CrossRef]
- Sun, J.; Chen, Y.; Liu, J.; Ying, Z.; Xin, T. Latent variable selection for multidimensional item response theory models via L 1 regularization. Psychometrika 2016, 81, 921–939. [Google Scholar] [CrossRef] [PubMed]
- Fu, W.; Knight, K. Asymptotics for lasso-type estimators. Ann. Stat. 2000, 28, 1356–1378. [Google Scholar] [CrossRef]
- Wainwright, M.J. Sharp thresholds for High-Dimensional and noisy sparsity recovery using-Constrained Quadratic Programming (Lasso). IEEE Trans. Inf. Theory 2009, 55, 2183–2202. [Google Scholar] [CrossRef]
- Zhao, P.; Yu, B. On model selection consistency of Lasso. J. Mach. Learn. Res. 2006, 7, 2541–2563. [Google Scholar]
- Schwarz, G. Estimating the dimension of a model. Ann. Stat. 1978, 6, 461–464. [Google Scholar] [CrossRef]
- Hirose, K.; Terada, Y. Sparse and simple structure estimation via prenet penalization. Psychometrika 2022, 88, 1381–1406. [Google Scholar] [CrossRef] [PubMed]
- Zhang, S.; Chen, Y.; Liu, Y. An improved stochastic EM algorithm for large-scale full-information item factor analysis. Br. J. Math. Stat. Psychol. 2020, 73, 44–71. [Google Scholar] [CrossRef] [PubMed]
- Beck, A.; Teboulle, M. A fast iterative shrinkage-thresholding algorithm for linear inverse problems. SIAM J. Imaging Sci. 2009, 2, 183–202. [Google Scholar] [CrossRef]
- Friedman, J.; Hastie, T.; Tibshirani, R. Regularization paths for generalized linear models via coordinate descent. J. Stat. Softw. 2010, 33, 1–22. [Google Scholar] [CrossRef] [PubMed]
- Anderson, T.W.; Rubin, H. Statistical Inference in Factor Analysis. In Proceedings of the Third Berkeley Symposium on Mathematical Statistics and Probability, Berkeley, CA, USA, 26–31 December 1954; University of California Press: Berkeley, CA, USA, 1956. [Google Scholar]
- Celeux, G.; Diebolt, J. A stochastic approximation type EM algorithm for the mixture problem. Stochastics 1992, 41, 119–134. [Google Scholar] [CrossRef]
- Lee, J.D.; Sun, Y.; Saunders, M. Proximal Newton-type methods for convex optimization. Adv. Neural Inf. Process. Syst. 2012, 25, 1–9. [Google Scholar]
- Jiang, Z.; Templin, J. Gibbs samplers for logistic item response models via the Pólya–Gamma distribution: A computationally efficient data-augmentation strategy. Psychometrika 2019, 84, 358–374. [Google Scholar] [CrossRef] [PubMed]
- Polson, N.G.; Scott, J.G.; Windle, J. Bayesian inference for logistic models using Pólya–Gamma latent variables. J. Am. Stat. Assoc. 2013, 108, 1339–1349. [Google Scholar] [CrossRef]








Disclaimer/Publisher’s Note: The statements, opinions and data contained in all publications are solely those of the individual author(s) and contributor(s) and not of MDPI and/or the editor(s). MDPI and/or the editor(s) disclaim responsibility for any injury to people or property resulting from any ideas, methods, instructions or products referred to in the content. |
© 2023 by the authors. Licensee MDPI, Basel, Switzerland. This article is an open access article distributed under the terms and conditions of the Creative Commons Attribution (CC BY) license (https://creativecommons.org/licenses/by/4.0/).
Share and Cite
Shimmura, R.; Suzuki, J. Estimation of a Simple Structure in a Multidimensional IRT Model Using Structure Regularization. Entropy 2024, 26, 44. https://doi.org/10.3390/e26010044
Shimmura R, Suzuki J. Estimation of a Simple Structure in a Multidimensional IRT Model Using Structure Regularization. Entropy. 2024; 26(1):44. https://doi.org/10.3390/e26010044
Chicago/Turabian StyleShimmura, Ryosuke, and Joe Suzuki. 2024. "Estimation of a Simple Structure in a Multidimensional IRT Model Using Structure Regularization" Entropy 26, no. 1: 44. https://doi.org/10.3390/e26010044
APA StyleShimmura, R., & Suzuki, J. (2024). Estimation of a Simple Structure in a Multidimensional IRT Model Using Structure Regularization. Entropy, 26(1), 44. https://doi.org/10.3390/e26010044

