An Improved Toeplitz Approximation Method for Coherent DOA Estimation in Impulsive Noise Environments
Abstract
1. Introduction
2. Preliminaries
2.1. Signal Model of Coherent DOA Estimation
2.2. α-Stable Distribution Noise Model
3. Methodology
3.1. CEGC
3.2. Proposed Method
- Step 1:
- Use the array received signal matrix (6) as input to construct the pseudo-covariance matrix, based on (20) and (21).
- Step 2:
- Perform Toeplitz approximation on based on (22) and (23) to construct a Toeplitz matrix, .
- Step 3:
- Construct a modified matrix, based on (24).
- Step 4:
- Perform the EVD of to obtain the eigenvectors, , corresponding to the noise subspace.
- Step 5:
- Calculate the spatial spectrum function (26) and search K largest peaks to estimate the DOA of coherent sources.
4. Simulation
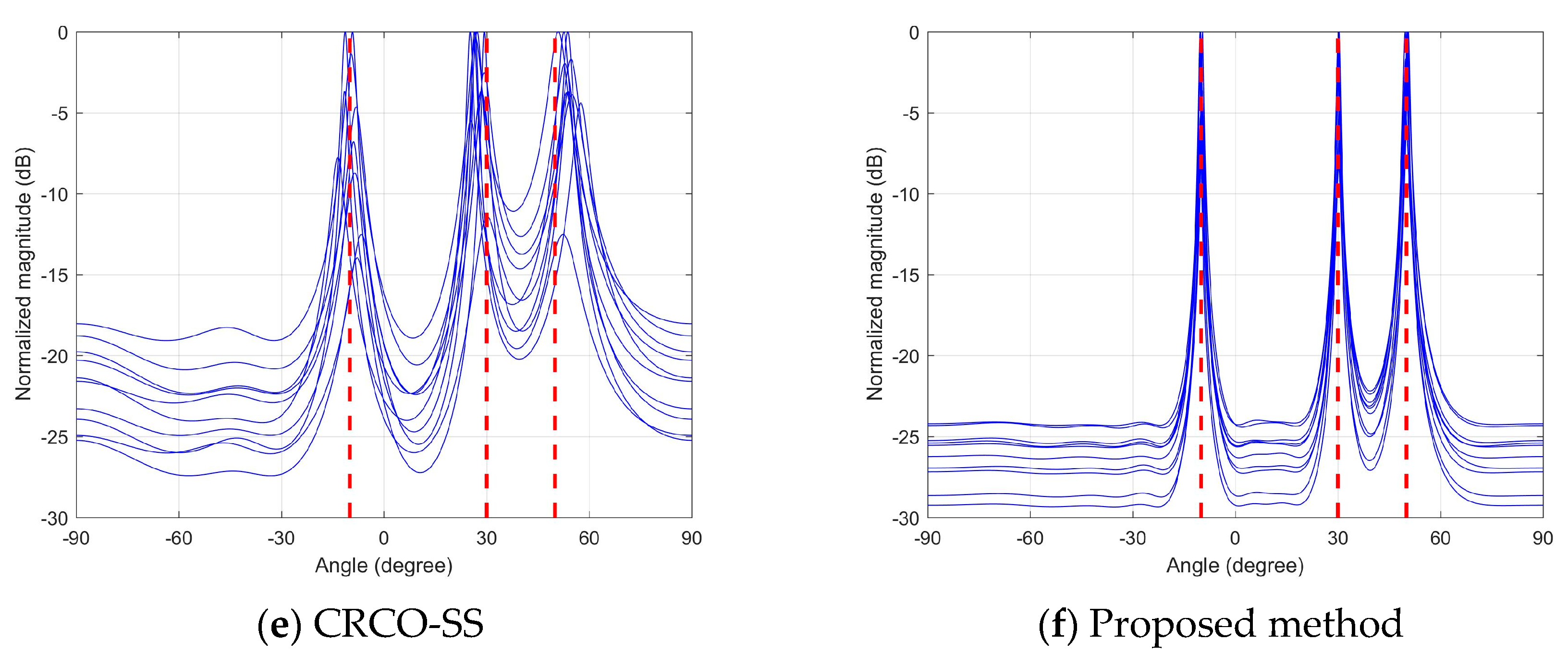
4.1. Spatial Spectrums Comparison
4.2. Experiment Results vs. GSNRs
4.3. Experiment Results vs. Characteristic Exponents α
4.4. Experiment Results vs. Number of Snapshots
5. Conclusions
Author Contributions
Funding
Institutional Review Board Statement
Data Availability Statement
Conflicts of Interest
References
- Xu, F.; Morency, M.W.; Vorobyov, S.A. DOA Estimation for Transmit Beamspace MIMO Radar via Tensor Decomposition With Vandermonde Factor Matrix. IEEE Trans. Signal Process. 2022, 70, 2901–2917. [Google Scholar] [CrossRef]
- Zhang, B.; Hou, X.; Yang, Y. Robust Underwater Direction-of-Arrival Tracking with Uncertain Environmental Disturbances Using a Uniform Circular Hydrophone Array. J. Acoust. Soc. Am. 2022, 151, 4101–4113. [Google Scholar] [CrossRef]
- Pan, M.; Liu, P.; Liu, S.; Qi, W.; Huang, Y.; You, X.; Jia, X.; Li, X. Efficient Joint DOA and TOA Estimation for Indoor Positioning With 5G Picocell Base Stations. IEEE Trans. Instrum. Meas. 2022, 71, 1–19. [Google Scholar] [CrossRef]
- Ruan, N.; Wang, H.; Wen, F.; Shi, J. DOA Estimation in B5G/6G: Trends and Challenges. Sensors 2022, 22, 5125. [Google Scholar] [CrossRef] [PubMed]
- Wang, Z.; Zhang, F.; Li, S.; Jin, B. Exploiting Passive Beamforming of Smart Speakers to Monitor Human Heartbeat in Real Time. In Proceedings of the 2021 IEEE Global Communications Conference (GLOBECOM), Madrid, Spain, 7–11 December 2021. [Google Scholar] [CrossRef]
- Krim, H.; Viberg, M. Two Decades of Array Signal Processing Research: The Parametric Approach. IEEE Signal Process. Mag. 1996, 13, 67–94. [Google Scholar] [CrossRef]
- Schmidt, R. Multiple Emitter Location and Signal Parameter Estimation. IEEE Trans. Antennas Propag. 1986, 34, 276–280. [Google Scholar] [CrossRef]
- Roy, R.; Kailath, T. ESPRIT-Estimation of Signal Parameters via Rotational Invariance Techniques. IEEE Trans. Acoust. Speech Signal Process. 1989, 37, 984–995. [Google Scholar] [CrossRef]
- Viberg, M.; Ottersten, B.; Kailath, T. Detection and Estimation in Sensor Arrays Using Weighted Subspace Fitting. IEEE Trans. Signal Process. 1991, 39, 2436–2449. [Google Scholar] [CrossRef]
- Stoica, P.; Nehorai, A. MUSIC, Maximum Likelihood, and Cramer-Rao Bound. IEEE Trans. Acoust. Speech Signal Process. 1989, 37, 720–741. [Google Scholar] [CrossRef]
- Evans, J.E.; Sun, D.F.; Johnson, J.R. Application of Advanced Signal Processing Techniques to Angle of Arrival Estimation in ATC Navigation and Surveillance Systems; Massachusetts Inst of Tech Lexington Lincoln Lab: Lexington, MA, USA, 1982. [Google Scholar]
- Shan, T.J.; Wax, M.; Kailath, T. On Spatial Smoothing for Direction-of-Arrival Estimation of Coherent Signals. IEEE Trans. Acoust. Speech Signal Process. 1985, 33, 806–811. [Google Scholar] [CrossRef]
- Williams, R.T.; Prasad, S.; Mahalanabis, A.K.; Sibul, L.H. An Improved Spatial Smoothing Technique for Bearing Estimation in a Multipath Environment. IEEE Trans. Acoust. Speech Signal Process. 1988, 36, 425–432. [Google Scholar] [CrossRef]
- Pillai, S.U.; Kwon, B.H. Forward/Backward Spatial Smoothing Techniques for Coherent Signal Identification. IEEE Trans. Acoust. Speech Signal Process. 1989, 37, 8–15. [Google Scholar] [CrossRef]
- Li, J. Improved Angular Resolution for Spatial Smoothing Techniques. IEEE Trans. Signal Process. 1992, 40, 3078–3081. [Google Scholar] [CrossRef]
- Pham, G.-T.; Loubaton, P.; Vallet, P. Performance Analysis of Spatial Smoothing Schemes in the Context of Large Arrays. IEEE Trans. Signal Process. 2016, 64, 160–172. [Google Scholar] [CrossRef]
- Du, W.; Kirlin, R.L. Improved Spatial Smoothing Techniques for DOA Estimation of Coherent Signals. IEEE Trans. Signal Process. 1991, 39, 1208–1210. [Google Scholar] [CrossRef]
- Dong, M.; Zhang, S.; Wu, X.; Zhang, H. A High Resolution Spatial Smoothing Algorithm. In Proceedings of the 2007 International Symposium on Microwave, Antenna, Propagation and EMC Technologies for Wireless Communications, Hangzhou, China, 16–17 August 2007. [Google Scholar] [CrossRef]
- Pan, J.; Sun, M.; Wang, Y.; Zhang, X. An Enhanced Spatial Smoothing Technique with ESPRIT Algorithm for Direction of Arrival Estimation in Coherent Scenarios. IEEE Trans. Signal Process. 2020, 68, 3635–3643. [Google Scholar] [CrossRef]
- Kung, S.; Lo, C.; Foka, R. A Toeplitz Approximation Approach to Coherent Source Direction Finding. In Proceedings of the ICASSP ’86. IEEE International Conference on Acoustics, Speech, and Signal Processing, Tokyo, Japan, 7–11 April 1986. [Google Scholar] [CrossRef]
- Wikes, D.M.; Hayes, M.H. Iterated Toeplitz Approximation of Covariance Matrices. In Proceedings of the ICASSP-88, International Conference on Acoustics, Speech, and Signal Processing, New York, NY, USA, 11–14 April 1988. [Google Scholar] [CrossRef]
- Chen, Y.-M.; Lee, J.-H.; Yeh, C.-C.; Mar, J. Bearing Estimation without Calibration for Randomly Perturbed Arrays. IEEE Trans. Signal Process. 1991, 39, 194–197. [Google Scholar] [CrossRef]
- Han, F.; Zhang, X. An ESPRIT-like Algorithm for Coherent DOA Estimation. IEEE Antennas Wirel. Propag. Lett. 2005, 4, 443–446. [Google Scholar] [CrossRef]
- Qian, C.; Huang, L.; Zeng, W.-J.; So, H.C. Direction-of-Arrival Estimation for Coherent Signals without Knowledge of Source Number. IEEE Sens. J. 2014, 14, 3267–3273. [Google Scholar] [CrossRef]
- Zhang, W.; Han, Y.; Jin, M.; Qiao, X. Multiple-Toeplitz Matrices Reconstruction Algorithm for DOA Estimation of Coherent Signals. IEEE Access 2019, 7, 49504–49512. [Google Scholar] [CrossRef]
- Zhang, W.; Han, Y.; Jin, M.; Li, X.-S. An Improved ESPRIT-Like Algorithm for Coherent Signals DOA Estimation. IEEE Commun. Lett. 2020, 24, 339–343. [Google Scholar] [CrossRef]
- Hoang, D.T.; Lee, K. Deep Learning-Aided Coherent Direction-of-Arrival Estimation with the FTMR Algorithm. IEEE Trans. Signal Process. 2022, 70, 1118–1130. [Google Scholar] [CrossRef]
- Nikias, C.L.; Shao, M. Signal Processing with Alpha-Stable Distributions and Applications. In Adaptive and Learning Systems for Signal Processing, Communications, and Control; Wiley-Interscience: Hoboken, NJ, USA, 1995; Volume 5. [Google Scholar]
- Merchant, N.D.; Andersson, M.H.; Box, T.; Le Courtois, F.; Cronin, D.; Holdsworth, N.; Kinneging, N.; Mendes, S.; Merck, T.; Mouat, J.; et al. Impulsive Noise Pollution in the Northeast Atlantic: Reported Activity during 2015–2017. Mar. Pollut. Bull. 2020, 152, 110951. [Google Scholar] [CrossRef] [PubMed]
- Zhou, Z.; Huang, L.; Christensen, M.G.; Zhang, S. Robust Spectral Analysis of Multi-Channel Sinusoidal Signals in Impulsive Noise Environments. IEEE Trans. Signal Process. 2022, 70, 919–935. [Google Scholar] [CrossRef]
- Novey, M.; Adali, T.; Roy, A. A Complex Generalized Gaussian Distribution—Characterization, Generation, and Estimation. IEEE Trans. Signal Process. 2010, 58, 1427–1433. [Google Scholar] [CrossRef]
- Kozick, R.J.; Sadler, B.M. Maximum-Likelihood Array Processing in Non-Gaussian Noise with Gaussian Mixtures. IEEE Trans. Signal Process. 2000, 48, 3520–3535. [Google Scholar] [CrossRef]
- Shao, M.; Nikias, C.L. Signal Processing with Fractional Lower Order Moments: Stable Processes and Their Applications. Proc. IEEE 1993, 81, 986–1010. [Google Scholar] [CrossRef]
- Visuri, S.; Oja, H.; Koivunen, V. Nonparametric Statistics for DOA Estimation in the Presence of Multipath. In Proceedings of the 2000 IEEE Sensor Array and Multichannel Signal Processing Workshop. SAM 2000 (Cat. No.00EX410), Cambridge, MA, USA, 17 March 2000. [Google Scholar] [CrossRef]
- Visuri, S.; Oja, H.; Koivunen, V. Subspace-Based Direction-of-Arrival Estimation Using Nonparametric Statistics. IEEE Trans. Signal Process. 2001, 49, 2060–2073. [Google Scholar] [CrossRef]
- Rupi, M.; Tsakalides, P.; Re, E.D.; Nikias, C.L. Robust Spatial Filtering of Coherent Sources for Wireless Communications. Signal Process. 2000, 80, 381–396. [Google Scholar] [CrossRef]
- Li, H.; He, Y.; Wang, H.; Yang, R. Novel Approaches for DOA Estimation of Coherent Sources in the Presence of Impulsive Noise. In Proceedings of the 2006 CIE International Conference on Radar 2006, Shanghai, China, 16–19 October 2006. [Google Scholar] [CrossRef]
- Liu, B.; Zhang, J.; Xu, C. DOA Estimation for Coherent Sources in Impulsive Noise Environments. J. Netw. 2014, 9, 3237. [Google Scholar] [CrossRef]
- Li, S.; Lin, B. On Spatial Smoothing for Direction-of-Arrival Estimation of Coherent Signals in Impulsive Noise. In Proceedings of the 2015 IEEE Advanced Information Technology, Electronic and Automation Control Conference (IAEAC), Chongqing, China, 19–20 December 2015. [Google Scholar] [CrossRef]
- Guan, S.; Chen, J.; Li, K.; Zhao, Y. General Correntropy Based DOA Estimation for Coherent Source with Impulsive Noise. In Proceedings of 2019 Chinese Intelligent Systems Conference; Lecture Notes in Electrical Engineering; Springer: Singapore, 2019; pp. 159–167. [Google Scholar] [CrossRef]
- Santamaria, I.; Pokharel, P.P.; Principe, J.C. Generalized Correlation Function: Definition, Properties, and Application to Blind Equalization. IEEE Trans. Signal Process. 2006, 54, 2187–2197. [Google Scholar] [CrossRef]
- Liu, W.; Pokharel, P.P.; Principe, J.C. Correntropy: Properties and Applications in Non-Gaussian Signal Processing. IEEE Trans. Signal Process. 2007, 55, 5286–5298. [Google Scholar] [CrossRef]
- Luan, S.; Qiu, T.; Zhu, Y.; Yu, L. Cyclic Correntropy and Its Spectrum in Frequency Estimation in the Presence of Impulsive Noise. Signal Process. 2016, 120, 503–508. [Google Scholar] [CrossRef]
- Tian, Q.; Qiu, T.; Cai, R. DOA Estimation for CD Sources by Complex Cyclic Correntropy in an Impulsive Noise Environment. IEEE Commun. Lett. 2020, 24, 1015–1019. [Google Scholar] [CrossRef]
- Dai, J.; Qiu, T.; Tian, Q.; Cai, R. Direction of arrival estimation method using deviation from the median based correntropy under impulsive noise. J. Signal Process. 2021, 37, 1914–1922. [Google Scholar] [CrossRef]
- Luan, S.; Zhao, M.; Gao, Y.; Zhang, Z.; Qiu, T. Generalized Covariance for Non-Gaussian Signal Processing and GC-MUSIC under Alpha-Stable Distributed Noise. Digit. Signal Process. 2021, 110, 102923. [Google Scholar] [CrossRef]





| Simulations | DOA (Degree) | GSNR (dB) | α | Number of Snapshots |
|---|---|---|---|---|
| 4.1 | 0 | 1.3 | 500 | |
| 4.2 | 1.3 | 500 | ||
| 4.3 | 0 | 500 | ||
| 4.4 | 0 | 1.3 |
Disclaimer/Publisher’s Note: The statements, opinions and data contained in all publications are solely those of the individual author(s) and contributor(s) and not of MDPI and/or the editor(s). MDPI and/or the editor(s) disclaim responsibility for any injury to people or property resulting from any ideas, methods, instructions or products referred to in the content. |
© 2023 by the authors. Licensee MDPI, Basel, Switzerland. This article is an open access article distributed under the terms and conditions of the Creative Commons Attribution (CC BY) license (https://creativecommons.org/licenses/by/4.0/).
Share and Cite
Dai, J.; Qiu, T.; Luan, S.; Tian, Q.; Zhang, J. An Improved Toeplitz Approximation Method for Coherent DOA Estimation in Impulsive Noise Environments. Entropy 2023, 25, 960. https://doi.org/10.3390/e25060960
Dai J, Qiu T, Luan S, Tian Q, Zhang J. An Improved Toeplitz Approximation Method for Coherent DOA Estimation in Impulsive Noise Environments. Entropy. 2023; 25(6):960. https://doi.org/10.3390/e25060960
Chicago/Turabian StyleDai, Jiang’an, Tianshuang Qiu, Shengyang Luan, Quan Tian, and Jiacheng Zhang. 2023. "An Improved Toeplitz Approximation Method for Coherent DOA Estimation in Impulsive Noise Environments" Entropy 25, no. 6: 960. https://doi.org/10.3390/e25060960
APA StyleDai, J., Qiu, T., Luan, S., Tian, Q., & Zhang, J. (2023). An Improved Toeplitz Approximation Method for Coherent DOA Estimation in Impulsive Noise Environments. Entropy, 25(6), 960. https://doi.org/10.3390/e25060960

