A Goodwin Model Modification and Its Interactions in Complex Networks
Abstract
1. Introduction
2. Materials and Methods
2.1. Goodwin Model and Corrections
- is the capital invested in the production of a good.
- is the quality of the final product. A linear relation with the capital invested is assumed, so we can write .
- is the population involved in the production of a good.
- is the productivity of employees.
- is the salary that a single subject receives when working in the production of a good, called unit wage in the following.
- is the ratio of quality and productivity. It relates both variables and provides information about the effectiveness of the jobs from the point of view of the producers, which we will name employment level.
- is the ratio between salary and productivity. We will refer to it as the salary directly.
- is the ratio between the level of employment and the number of employees, or the employment rate.
2.2. Linear Stability Analysis and Phase Diagrams
2.3. Network Topologies
- A scale-free network (commonly known as Barabasi–Albert). The BA graph mixes network growth and preferential attachment to generate a power-law connectivity distribution. In this case, a few of the nodes are connected with many economies whereas the majority have a significantly reduced number of connections, and a few of the economies are widely connected whereas most of them only have a few connections, mostly with those dominating economies.
- A Watts–Strogatz network. The WS graph is built from an initial chain with k nearest neighbors from which connections are then rewired randomly with a given probability, creating shortcuts along the network. In this case, economies are just connected with neighboring ones with an additional probability to connect to far-away economies. In this configuration, all the economies are connected with the same degree. Most of the connections are local except for a few long-range connections that still describe a proximity economy with some attempts to become global.
- Mean field network. All nodes interact with an imaginary node that is just the average of all the nodes in the network. The specific relationship between all the economies involved is not clear; nevertheless, they all interact through this imaginary node with the mean value. This is a global situation where economies are so interconnected that, finally, they just feel the average among all of them.
2.4. Economies Connected via a Network
3. Results and Discussion
3.1. Phase Diagram for a Complex Network Model
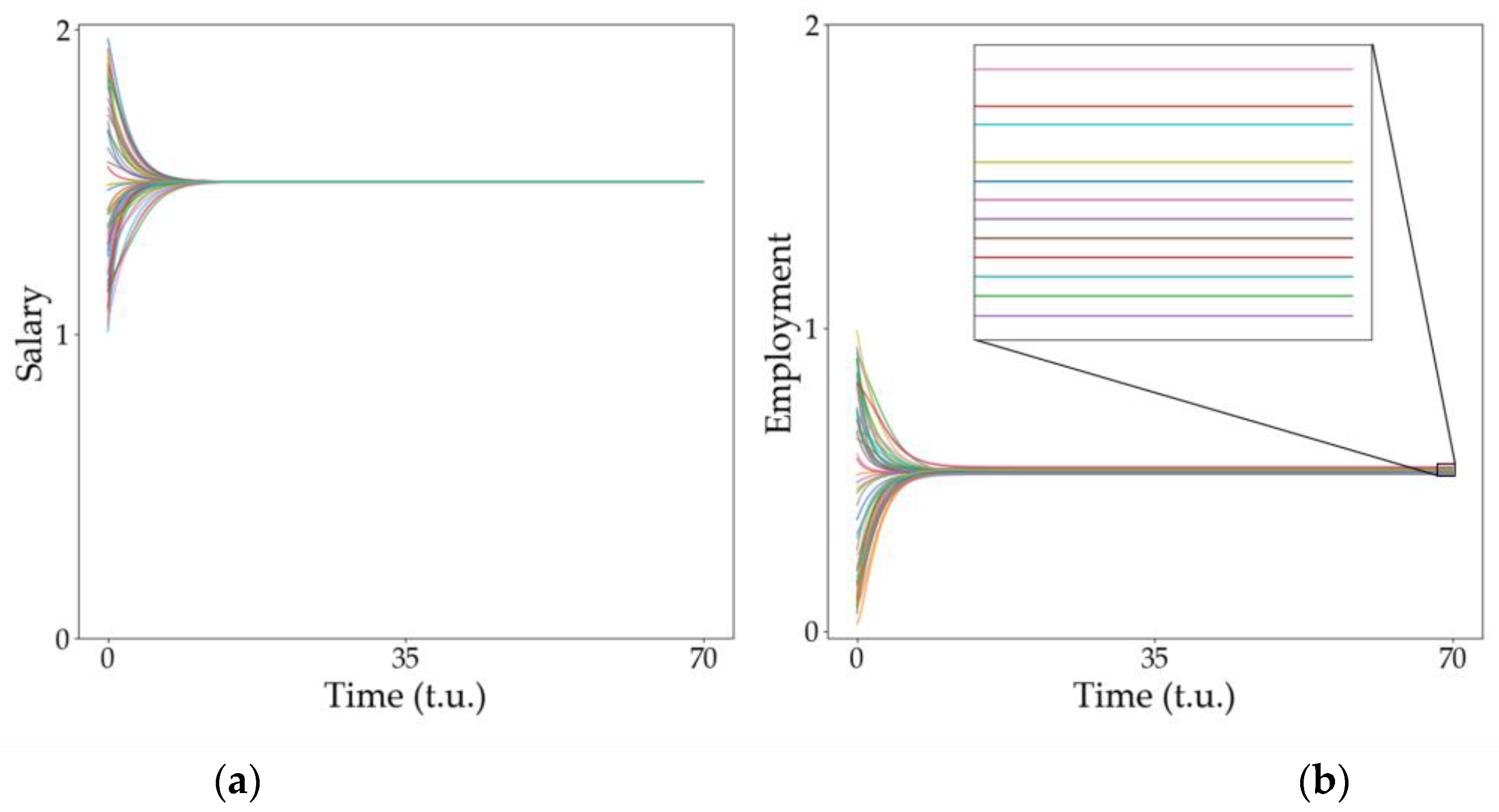
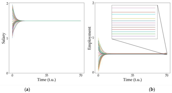
3.2. Synchronization of the Spiral Solutions
3.3. Dispersion of the Steady States
4. Conclusions
Supplementary Materials
Author Contributions
Funding
Acknowledgments
Conflicts of Interest
References
- White, J.A.; Chow, C.C.; Rit, J.; Soto-Treviño, C.; Koppel, N. Synchronization and Oscillatory Dynamics in Heterogeneous, Mutually Inhibited Neurons. J. Comput. Neurosci. 1998, 5, 5–16. [Google Scholar] [CrossRef] [PubMed]
- Waters, C.M.; Bassler, B.L. QUORUM SENSING: Cell-to-Cell Communication in Bacteria. Annu. Rev. Cell Dev. Biol. 2005, 21, 319–346. [Google Scholar] [CrossRef] [PubMed]
- Buck, J. Synchronous rhythmic flashing of fireflies. II. Q. Rev. Biol. 1988, 63, 265–289. [Google Scholar] [CrossRef] [PubMed]
- Lutherm, S.; Fenton, F.H.; Kornreich, B.G.; Squires, A.; Bittihn, P.; Hornung, D.; Zabel, M.; Flanders, J.; Gladuli, A.; Campoy, L.; et al. Low-energy control of electrical turbulence in the heart. Nature 2011, 475, 235–239. [Google Scholar] [CrossRef]
- Tinsley, M.; Taylor, A.; Huang, Z.; Wang, F.; Showalter, K. Dynamical quorum sensing and synchronization in collections of excitable and oscillatory catalytic particles. Phys. D Nonlinear Phenom. 2010, 239, 785–790. [Google Scholar] [CrossRef]
- Tinsley, M.; Taylor, A.; Huang, Z.; Wang, F.; Showalter, K. Dynamical quorum sensing and synchronization in large populations of chemical oscillators. Science 2009, 323, 614–617. [Google Scholar]
- Tinsley, M.; Taylor, A.; Huang, Z.; Wang, F.; Showalter, K. Phase clusters in large populations of chemical oscillators. Angew. Chem. Int. Ed. 2011, 123, 10343–10346. [Google Scholar]
- Kiss, I.Z.; Zhai, Y.; Hudson, J.L. Emerging coherence in a population of chemical oscillators. Science 2002, 296, 1676–1678. [Google Scholar] [CrossRef]
- Toiya, M.; González Ochoa, H.O.; Vanag, V.K.; Fraden, S.; Epstein, I.R. Synchronization of chemical micro-oscillators. J. Phys. Chem. Lett. 2010, 1, 1241–1246. [Google Scholar] [CrossRef]
- García-Selfa, D.; Ghoshal, G.; Bick, C.; Pérez-Mercader, J.; Muñuzuri, A.P. Chemical oscillators synchronized via an active oscillating medium: Dynamics and phase approximation model. Chaos Solitons Fractals 2021, 145, 110809. [Google Scholar] [CrossRef]
- Néda, Z.; Ravasz, E.; Brechet, Y.; Vicsek, T.; Barabási, A.L. The sound of many hands clapping. Nature 2000, 403, 849–850. [Google Scholar] [CrossRef]
- Morales, A.J.; Vavilala, V.; Benito, R.M.; Bar-Yam, Y. Global patterns of synchronization in human communications. J. R. Soc. Interface 2017. [Google Scholar] [CrossRef] [PubMed]
- Acemoglu, D.; Ozdaglar, A.; Tahbaz-Salehi, A. Network, Shocks, and Systemic Risk. In Oxford Handbook of the Economics of Networks; Section 21.1.1; Oxford University Press: Oxford, UK, 2016. [Google Scholar]
- Mantegna, R.N.; Stanley, H.E. An Introduction to Econophysics; Cambridge University Press: Cambridge, UK, 2000. [Google Scholar]
- Jackson, M.O.; Watts, A. The Evolution of Social and Economic Networks. J. Soc. Econ. Netw. 2002, 106, 265–295. [Google Scholar] [CrossRef]
- Harrod, R.F. An Essay in Dynamic Theory. Econ. J. 1939, 49, 14–33. [Google Scholar] [CrossRef]
- Domar, E.D. Capital Expansion, Rate of Growth, and Employment. Econometrica 1946, 14, 137–147. [Google Scholar] [CrossRef]
- Solow, R.M. A Contribution to the Theory of Economic Growth. Q. J. Econ. 1956, 70, 65–94. [Google Scholar] [CrossRef]
- Phillips, A.W. The Relation between Unemployment and the Rate of Change of Money Wage Rates in the United Kingdom 1861–1957. Economica 1958, 25, 283–299. [Google Scholar] [CrossRef]
- Goodwin, R.M. A Growth Cycle: Socialism, Capitalism and Economic Growth; Cambridge University Press: Cambridge, UK, 1967. [Google Scholar]
- Murray, J.D. Mathematical Biology: I. An Introduction (Chapters 2–3), 3rd ed.; Springer: Berlin/Heidelberg, Germany, 1993. [Google Scholar]
- Nell, E.J.; Semmler, W. Nicholas Kaldor and Mainstream Economics. Conforntation or Convergence? (Chapters 5, 19, 22 & 32), 1st ed.; Palgrave Macmillan: London, UK, 1991. [Google Scholar]
- Santos, J.F.C.; Araújo, R.A. Using Non-Linear Estimation Strategies to Test an Extended Version of the Goodwin Model on the US Economy. Rev. Keynes. Econ. 2020, 8, 268–286. [Google Scholar] [CrossRef]
- Araujo, R.A.; Moreira, H.N. Testing a Goodwin’s model with capacity utilization to the US economy. In Nonlinearities in Economics: An Interdisciplinary Approach to Economic Dynamics, Growth and Cycles; Orlando, G., Pisarchik, A.N., Stoop, R., Eds.; Springer: Berlin/Heidelberg, Germany, 2021. [Google Scholar]
- Araújo, R.A.; Dávila-Fernández, M.J.; Moreira, H.N. Some new insights on the empirics of Goodwin’s growth-cycle model. Struct. Change Econ. Dyn. 2019, 51, 42–54. [Google Scholar] [CrossRef]
- Press, W.H.; Flannery, B.P.; Teukolsky, S.A.; Vetterling, W.T. Numerical Recipes; Cambridge University Press: Cambridge, UK, 1988. [Google Scholar]
- Strogatz, S.H. Nonlinear Dynamics and Chaos: With Applications to Physics, Biology, Chemistry, and Engineering; Studies in Nonlinearity; Addison-Wesley Publishing: Boston, MA, USA, 1994. [Google Scholar]
- Albert, R.; Barabási, A.L.; Pósfai, M. Network Science; Cambridge University Press: Cambridge, UK, 2016. [Google Scholar]
- Albert, R.; Barabási, A.L. Statistical mechanics of complex networks. Rev. Mod. Phys. 2002, 74, 47–97. [Google Scholar] [CrossRef]
- Boccaletti, S.; Latora, V.; Moreno, Y.; Chavez, M.; Hwang, D.U. Complex networks: Structure and dynamics. Phys. Rep. 2006, 424, 175–308. [Google Scholar] [CrossRef]
- Gonçalves, J.; Matsushita, R.; Da Silva, S. The Asymmetric Brazilian Input–Output Network. J. Econ. Stud. 2021, 48, 604–615. [Google Scholar] [CrossRef]
- Vanag, V.K.; Epstein, I.R. Cross-diffusion and pattern formation in reaction–diffusion systems. Phys. Chem. Chem. Phys. 2009, 11, 897–912. [Google Scholar] [PubMed]










Disclaimer/Publisher’s Note: The statements, opinions and data contained in all publications are solely those of the individual author(s) and contributor(s) and not of MDPI and/or the editor(s). MDPI and/or the editor(s) disclaim responsibility for any injury to people or property resulting from any ideas, methods, instructions or products referred to in the content. |
© 2023 by the authors. Licensee MDPI, Basel, Switzerland. This article is an open access article distributed under the terms and conditions of the Creative Commons Attribution (CC BY) license (https://creativecommons.org/licenses/by/4.0/).
Share and Cite
Rodríguez, F.Y.; Muñuzuri, A.P. A Goodwin Model Modification and Its Interactions in Complex Networks. Entropy 2023, 25, 894. https://doi.org/10.3390/e25060894
Rodríguez FY, Muñuzuri AP. A Goodwin Model Modification and Its Interactions in Complex Networks. Entropy. 2023; 25(6):894. https://doi.org/10.3390/e25060894
Chicago/Turabian StyleRodríguez, Francisco Yáñez, and Alberto P. Muñuzuri. 2023. "A Goodwin Model Modification and Its Interactions in Complex Networks" Entropy 25, no. 6: 894. https://doi.org/10.3390/e25060894
APA StyleRodríguez, F. Y., & Muñuzuri, A. P. (2023). A Goodwin Model Modification and Its Interactions in Complex Networks. Entropy, 25(6), 894. https://doi.org/10.3390/e25060894

