Quantization of Integrable and Chaotic Three-Particle Fermi–Pasta–Ulam–Tsingou Models
Abstract
1. Introduction
2. The FPUT Model and the Integrable Three-Particle Case
3. The Quantum Three-Particle FPUT Model
3.1. The Integrable Cases
3.2. The Non-Integrable ( + )-FPUT Three-Particle Model
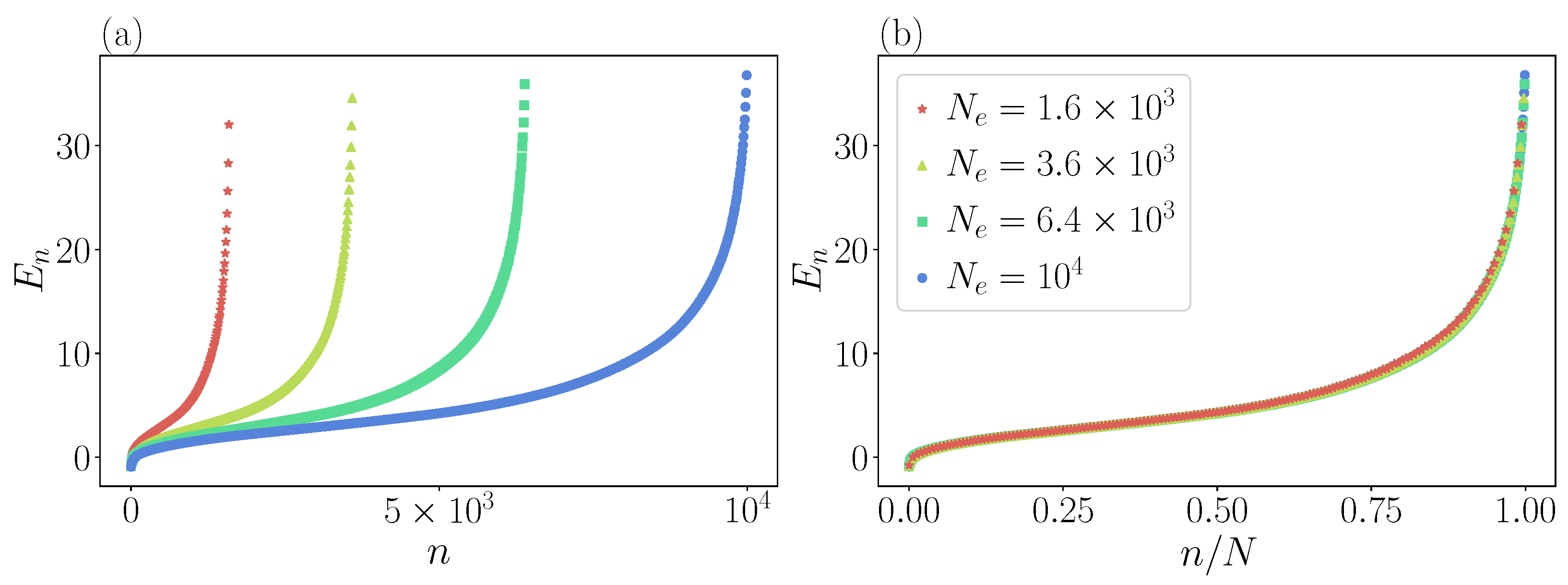
3.3. Eigenstate Thermalization Hypothesis
4. Conclusions
Author Contributions
Funding
Institutional Review Board Statement
Data Availability Statement
Acknowledgments
Conflicts of Interest
Appendix A. Properties of the U Symbols
Appendix B. Details on Numerical Integration of the Classical Equations of Motion
References
- Fermi, E.; Pasta, J.; Ulam, S.; Tsingou, M. Studies of the Nonlinear Problems; Los Alamos Internal Report, Document LA-1940; Los Alamos National Lab. (LANL): Los Alamos, NM, USA, 1955. [CrossRef]
- Ford, J. The Fermi-Pasta-Ulam problem: Paradox turns discovery. Phys. Rep. 1992, 213, 271–310. [Google Scholar] [CrossRef]
- Gallavotti, G. The Fermi-Pasta-Ulam Problem: A Status Report; Lecture Notes in Physics; Springer: Berlin/Heidelberg, Germany, 2008. [Google Scholar]
- Kolmogorov, A.N. On conservation of conditionally periodic motions for a small change in Hamilton’s function. Dokl. Akad. Nauk. 1954, 98, 527. [Google Scholar]
- Arnold, A.N. Invariant Tori and Cylinders for a Class of Perturbed Hamiltonian Systems. Usp. Mat. Nauk. 1963, 18, 13. [Google Scholar]
- Moser, J. On invariant curves of area-preserving mappings of annulus. Matematika 1962, 6, 51–68. [Google Scholar]
- Chirikov, B. A universal instability of many-dimensional oscillator systems. Phys. Rep. 1979, 52, 263. [Google Scholar] [CrossRef]
- Benettin, G.; Christodoulidi, H.; Ponno, A. The Fermi-Pasta-Ulam Problem and Its Underlying Integrable Dynamics. J. Stat. Phys. 2013, 152, 195–212. [Google Scholar] [CrossRef]
- Poggi, P.; Ruffo, S. Exact solutions in the FPU oscillator chain. Physica D 1997, 103, 251–272. [Google Scholar] [CrossRef]
- Choodnovsky, G.V.; Choodnovsky, D.V. Novel first integrals for the Fermi-Pasta-Ulam lattice with cubic nonlinearity and for other many-body systems in one and three dimensions. Lett. Nuovo C 1977, 19, 291. [Google Scholar] [CrossRef]
- Chechin, G.M.; Ryabov, D.S. Stability of nonlinear normal modes in the Fermi-Pasta-Ulam β chain in the thermodynamic limit. Phys. Rev. E 2012, 85, 056601. [Google Scholar] [CrossRef]
- Isola, S.; Kantz, H.; Livi, R. On the quantization of the three-particle Toda lattice. J. Phys. A 1991, 24, 3061–3076. [Google Scholar] [CrossRef]
- Casati, G.; Ford, J. Stochastic Behavior in Classical and Quantum Hamiltonian Systems; Lecture Notes in Physics; Springer: Berlin/Heidelberg, Germany, 1979; Volume 93, p. 334. [Google Scholar]
- Berry, M.V.; Tabor, M. Level clustering in the regular spectrum. Proc. R. Soc. Lon. A Math. Phys. Sci. 1977, 356, 375–394. [Google Scholar] [CrossRef]
- Berry, M.V. Quantizing a classically ergodic system: Sinai’s billiard and the KKR method. Ann. Phys. 1981, 131, 163–216. [Google Scholar] [CrossRef]
- Bohigas, O.; Giannoni, M.J. Chaotic motion and random matrix theories. In Mathematical and Computational Methods in Nuclear Physics; Springer: Berlin/Heidelberg, Germany, 1984; pp. 1–99. [Google Scholar]
- Tabor, M. Chaos and Integrability in Nonlinear Dynamics: An Introduction; Wiley: Hoboken, NJ, USA, 1989. [Google Scholar]
- Seligman, T.H.; Verbaarschot, J.J.M.; Zirnbauer, M.R. Quantum Spectra and Transition from Regular to Chaotic Classical Motion. Phys. Rev. Lett. 1984, 53, 215–217. [Google Scholar] [CrossRef]
- Deutsch, J.M. Quantum statistical mechanics in a closed system. Phys. Rev. A 1991, 43, 2046. [Google Scholar] [CrossRef] [PubMed]
- Srednicki, M. Chaos and quantum thermalization. Phys. Rev. E 1994, 50, 888. [Google Scholar] [CrossRef]
- Ivić, Z.; Tsironis, G.P. Biphonons in the β-Fermi-Pasta-Ulam model. Phys. D Nonlinear Phenom. 2006, 216, 200–206. [Google Scholar] [CrossRef]
- Berman, G.; Tarkhanov, N. Quantum Dynamics in the Fermi–Pasta–Ulam Problem. Int. J. Theor. Phys. 2006, 45, 1846–1868. [Google Scholar] [CrossRef]
- Riseborough, P.S. Phase transition arising from the underscreened Anderson lattice model: A candidate concept for explaining hidden order in URu2Si2. Phys. Rev. E 2012, 85, 11129. [Google Scholar] [CrossRef]
- Burin, A.L.; Maksymov, A.O.; Schmidt, M.; Polishchuk, I.Y. Chaotic Dynamics in a Quantum Fermi–Pasta–Ulam Problem. Entropy 2019, 21, 51. [Google Scholar] [CrossRef]
- Press, W.H.; Teukolsky, S.A.; Vetterling, W.T.; Flannery, B.P. Numerical Recipes: The Art of Scientific Computing; Cambridge University Press: Cambridge, UK, 2007. [Google Scholar]
- Beenakker, C.W. Random-matrix theory of quantum transport. Rev. Mod. Phys. 1997, 69, 731. [Google Scholar] [CrossRef]
- Dieplinger, J.; Bera, S.; Evers, F. Emergent Relativistic Effects in Condensed Matter. Ann. Phys. 2021, 435, 168503. [Google Scholar] [CrossRef]
- McDonald, S.W.; Kaufman, A.N. Spectrum and Eigenfunctions for a Hamiltonian with Stochastic Trajectories. Phys. Rev. Lett. 1979, 42, 1189–1191. [Google Scholar] [CrossRef]
- Reimann, P. Eigenstate thermalization: Deutsch’s approach and beyond. New J. Phys. 2015, 17, 055025. [Google Scholar] [CrossRef]
- Gjonabalaj, M.O.; Campbell, D.K.; Polkovnikov, A. Counterdiabatic driving in the classical β-Fermi-Pasta-Ulam-Tsingou chain. Phys. Rev. E 2022, 106, 014131. [Google Scholar] [CrossRef]
- Claeys, P.W.; Pandey, M.; Sels, D.; Polkovnikov, A. Floquet-Engineering Counterdiabatic Protocols in Quantum Many-Body Systems. Phys. Rev. Lett. 2019, 123, 090602. [Google Scholar] [CrossRef]
- Kolodrubetz, M.; Sels, D.; Mehta, P.; Polkovnikov, A. Geometry and non-adiabatic response in quantum and classical systems. Phys. Rep. 2017, 697, 1. [Google Scholar] [CrossRef]
- Schmid, H.; Succi, S.; Ruffo, S. Nonlinearity accelerates the thermalization of the quartic FPUT model with stochastic baths. J. Stat. Mech. 2021, 2021, 053205. [Google Scholar] [CrossRef]










Disclaimer/Publisher’s Note: The statements, opinions and data contained in all publications are solely those of the individual author(s) and contributor(s) and not of MDPI and/or the editor(s). MDPI and/or the editor(s) disclaim responsibility for any injury to people or property resulting from any ideas, methods, instructions or products referred to in the content. |
© 2023 by the authors. Licensee MDPI, Basel, Switzerland. This article is an open access article distributed under the terms and conditions of the Creative Commons Attribution (CC BY) license (https://creativecommons.org/licenses/by/4.0/).
Share and Cite
Arzika, A.I.; Solfanelli, A.; Schmid, H.; Ruffo, S. Quantization of Integrable and Chaotic Three-Particle Fermi–Pasta–Ulam–Tsingou Models. Entropy 2023, 25, 538. https://doi.org/10.3390/e25030538
Arzika AI, Solfanelli A, Schmid H, Ruffo S. Quantization of Integrable and Chaotic Three-Particle Fermi–Pasta–Ulam–Tsingou Models. Entropy. 2023; 25(3):538. https://doi.org/10.3390/e25030538
Chicago/Turabian StyleArzika, Alio Issoufou, Andrea Solfanelli, Harald Schmid, and Stefano Ruffo. 2023. "Quantization of Integrable and Chaotic Three-Particle Fermi–Pasta–Ulam–Tsingou Models" Entropy 25, no. 3: 538. https://doi.org/10.3390/e25030538
APA StyleArzika, A. I., Solfanelli, A., Schmid, H., & Ruffo, S. (2023). Quantization of Integrable and Chaotic Three-Particle Fermi–Pasta–Ulam–Tsingou Models. Entropy, 25(3), 538. https://doi.org/10.3390/e25030538

