Abstract
An effective construction method for long-length quantum code has important applications in the field based on large-scale data. With the rapid development of quantum computing, how to construct this class of quantum coding has become one of the key research fields in quantum information theory. Motivated by the block jacket matrix and its circulant permutation, we proposed a construction method for quantum quasi-cyclic (QC) codes with two classical codes. This simplifies the coding process for long-length quantum error-correction code (QECC) using number decomposition. The obtained code length N can achieve if an appropriate prime number n is taken. Furthermore, with a suitable parameter in the construction method, the obtained codes have four cycles in their generator matrices and show good performance for low density codes.
1. Introduction
Quantum communication requires that environmental effects and decoherence should be reduced with reliable quantum information processing. In practice, information reconciliation in quantum key distribution (QKD) is important for the secret key rate and also affects the maximum transmission distance [,,,]. Error-correcting code generally may be applied in a quantum channel to correct errors caused by channel noise and possible interventions from eavesdroppers. To obtain an acceptable level, QECC is an essential method because of its robustness and efficiency in quantum computation [,,,,,]. One of the advantages of quantum computation is that its high efficiency compares favorably to classical computation; it is able to handle large-scale data that classical computation cannot. Previously, most of the construction methods for QECC focused on the generation of stabilizers, and there was little research on the long code type. Furthermore, due to some fields in quantum information becoming gradually more practical, this has prompted researchers to identify a good coding method for quantum error-correcting codes of long length. For example, encoding large-scale data has potential applications in the field of machine learning (ML) with respect to big data [,,,]. Therefore, how to efficiently express classical massive data with physics-based codes is also an important research field. To obtain a general quantum code, the question is usually converted to a problem of stabilizer generation. One typical method is to obtain the generation matrix of a quantum code based on two classical codes, which are called Calderbank–Shor–Steane (CSS) codes [,]. By resorting to the generalization of cyclic codes, a class of classical codes called quasi-cyclic (QC) codes can build linear codes based on algebraic structure, which has improved some fundamental minimum distances [,,,]. For instance, it can satisfy the modified version of the Gilbert–Vashamov (GV) bound [,,]. It has shown good performance when applied to form quantum codes.
In the construction process for long-sequence QECCs, how to design the generators of stabilizers based on the block matrix is key. Methods from QC low density parity check (LDPC) codes have been studied by Hagiwara et al. in terms of a probabilistic method [,]. In 2018, Galindo et al. applied two generators to construct a quantum version with dual-containing QC []. Some QC short-length codes were obtained with good parameters. Not long after that, Ezerman et al., in 2019, used QC codes with large Hermitian hulls to form QECCs over fields and [], so that a record-breaking binary QECC was obtained. Furthermore, J. Lv et al. proposed some new binary quantum codes derived from one generator quasi-cyclic codes with a stabilizer [,]. Recently, some researchers have considered the application of this kind of quantum code in quantum key distribution []. However, few researchers have paid attention to the construction of long-length quantum QC code involved with massive data. Inspired by the previous work, we presented QC code constructions of long length to generate QECCs with a family of orthogonal jacket matrices, the main property of which are that the inverse matrix can be obtained by its element-wise inverse or block-wise inverse [,]. Therefore, it can be realized relatively easily with a physical circuit. Furthermore, since Gallager first proposed LDPC codes in the 1960s [], this class of classical code has shown good performance approaching the channel capacity [,,,,]. Subsequently, its quantum versions has been investigated [,]. However, the achievements in this field have been explored far less than their classical counterparts. The constructed quantum codes have shown good performance for low density codes based on iterative coding in our proposed construction method.
In this paper, with the advantage of the convenient implementation of the jacket transform, we applied a quasi-cyclic method via a low-density block matrix to gain long-length quantum codes. If a prime number in the proposed construction method is taken to properly choose the jacket matrix with a basic matrix and block circular matrix combined together, then a longer length of matrix to encode classical data can be obtained.
This paper is arranged as follows: In Section 2, we present some preliminary information which is necessary for QECCs. Then, in Section 3 and Section 4, we investigate the construction of long-length quasi-cyclic quantum codes which are generated from block jacket matrices based on a basic matrix and circulant permutation matrices. Furthermore, the construction conditions with low density are also analyzed. Finally, conclusions are drawn in Section 5.
2. Preliminaries
Some relevant notation and basic construction methods for quantum error correction codes are first briefly reviewed below.
2.1. General Construction Methods of QECCs
A linear binary quantum error-correcting code denotes that k-data vectors are encoded to N-dimensional vectors in space , where d is the minimum distance. Consider a -dimensional Hilbert space based on a complex field
where every standard basis vector in space is indexed by a classical binary vector and denoted by . It is generally called a N-qubit state space, for which each component in the tensor product corresponds to one qubit. Similar to classical coding, a fundamental problem in quantum error correction is to generate quantum codes based on the best possible minimum distance. The general construction method for QECCs usually relies on a so-called stabilizer. A stabilizer quantum code can be gained from the stabilizer denoted as
where are commuting generators of the stabilizer, which is the collection of orthogonal quantum state eigenvectors that refer to code words. Therefore, to form a stabilizer quantum code, generators of stabilizer S should first be designed, which are expressed by the following generator matrix
where for , and are the Pauli transformation. According to the property of commuting generators, the elements of its row vector satisfy that the symplectic inner product is equal to zero.
Another well known construction method for quantum codes is the CSS code which is generated by a pair of classical codes and , where and are the information code length and minimum distance, respectively. This means that this class of quantum error code is a complex vector space characterized by a pair of classical binary linear codes and . Here, the parity-check matrices and of the two classical codes are required to satisfy , i.e., every row of is orthogonal to every row of . Hence, define a CSS code as a complex linear combination of vectors:
where is the dual code of the classical code . According to its definition, the obtained quantum CSS code is a class of special stabilizer code, of which the generator matrix is
In light of the characteristics of big data processed in artificial intelligence and other fields, we shall apply the recursive relationship of a quasi-cyclic block jacket matrix to easily obtain long-length QECCs.
2.2. Error of Quantum Error-Correction Code and Bound
As with different quantum codes, errors are also labeled with strings in field . This will occur when the states are transmitted through quantum channels. The traditional approach to error correction for quantum codes is to consider the single qubit flip error, the phase error or the phase-flip error, which can be described with three Pauli operators , and , respectively. Here, is the primitive root of unity. Every error on N qubits can be denoted as , for and . Reflexive stabilizer codes and CSS codes have a one-to-one correspondence by choosing a basis for the error group. In terms of the Pauli matrices, the single qubit quantum error can be described as and for , whose action on is given by
Therefore, it acts on an N-qubit basis state in as follows
Furthermore, the quantum Hamming bound of a general quantum code is required to satisfy the following inequality condition []
which may correct up to quantum error bits.
3. Long-Length Coding Constructions Based on Jacket Matrix
Quasi-cyclic codes are the generalization of cyclic codes, which can generate a class of linear codes of algebraic structure. Assume C is a classical code of length N over field , which is closed with a cyclic-shift operator . This means that any codeword satisfies . The circuit of the cyclic shift can be represented as in Figure 1. In this circuit, as an input code vector can generate an output code vector with some integer s times of operation, .

Figure 1.
Schematic of classical cyclic code vector. Here, according to s times of cyclic-shift operator , the classical code as an input code can generate its cyclic vectors, . Here, s is an integer number, so that the generated vectors belong to a quotient ring.
More generally, if there is a smallest positive integer ℓ such that
also belongs to C, the linear code C is called a quasi-cyclic code of index ℓ. Furthermore, given is called its dual code. If , the code C is self-orthogonal. In quantum theory, if any quantum code word is still a quantum code state in this space after several cyclic shifts, the quantum codes will be correspondingly called quasi-cyclic quantum codes.
In mathematical theory, a cyclic code is an ideal in the quotient ring R; hence, it can be gained by a single polynomial. Here, the quotient ring is defined as for a prime number n. It is an isomorphic between the ring formed by all circulant matrices and the ring R formed by the polynomial . As a consequence, the circulant matrix corresponds to the following polynomial
Under the isomorphism , it has , for . If we define , such as
is a matrix representing the right cyclic shift by one position, it is readily seen that a circulant matrix A over can be represented in the form
where I is the identity matrix. More generally, the matrix may be taken as
where, h is an integer for . It is obvious that the matrix K can form an Abelian operator group . The index i of is an exponent of matrix K, which is called a basic matrix. More generally, the matrix formed by the index of the basic matrix is defined as an exponent matrix. On the basis of the two matrices, we also introduce a circulant permutation matrix Q obtained by an operation “∧” between the matrices K and as
where , is the exponent of the basic matrix K, and
It is easily seen that Q is essentially an array of cyclic-shift operators.
On the other hand, a class of matrix is called a jacket matrix, which could lead to a simple encoding algorithm [,], if it satisfies
i.e., , where a is the normalized constant. It is obvious that Pauli matrices and the Hadamard matrix belong to a jacket matrix.
In addition, we also define an operation ‘’ between the Jacket matrix J and the cyclic-shift operator vector as
Then, on the basis of the jacket matrix J and the circulant permutation matrix Q, we design a matrix G with length constructed by the following circuit
where, is the exponent matrix of the basic matrix K in Equation (13).
4. Long-Length Quantum Coding via Quasi-Cyclic Jacket Matrix
Based on the above mathematical definitions, we mainly consider how to obtain the exponent matrix and the jacket matrix J as follows.
4.1. The Construction Method of Jacket Matrix
Firstly, the construction manner of the low-parity jacket matrix J in Equation (18) is investigated. According to their definition, it is obvious that the Hadamard matrix and the Pauli matrices are special jacket matrices. Consider the 2-order Hadamard matrix
as the smallest basic matrix. A binary -size Hadamard matrix for , under mapping: , may be obtained with the following recursive relation
Generally, on the basis of the tensor product, the -order jacket matrix can be shown as
where may also be chosen as Pauli matrices except for the Hadamard matrix,
Correspondingly, one obtains
Similarly, we also consider a jacket matrix with size based on the fundamental matrix as follows: Denoting a Jacket matrix as , the direct sum may be written as
It is easy to check that
Then, one may obtain
for .
In terms of number theory, any finite prime number n may be decomposed into a Kronecker product and the direct sum of 2 and 3 resort to the following form
where , are integers for . Therefore, to obtain any prime size of quantum code, we first construct generator matrices with size and . In view of the recursive relation, the jacket matrix of large-scale order and its transpose matrix satisfy
It is obvious that the weight of the gained jacket matrix is equal to 1 when it involves as one of the Pauli matrices. For clarity, some decomposition methods of the jacket matrix are presented based on 2-order and 3-order fundamental jacket matrices (Pauli matrices or the Hadamard matrix) and in Table 1.

Table 1.
The construction of jacket matrices.
As can be seen from the above table, any large-scale jacket matrix of prime order can be decomposed by these two kinds of matrices.
Example 1.
Take parameter that is decomposed with a Kronecker product and the direct sum of the fundamental Jacket matrices, then the concatenated matrix may be expressed as different methods
Therefore, the same jacket matrix may be described with different forms in the light of its decomposition methods. Apparently, both a jacket matrix J and a matrix have row weight 1 with any positive integer , so that the row weight of G is exactly , for a given prime , where the block length of the constructed code is .
4.2. The Construction Method of the Exponent Matrix
Next, based on the obtained basic matrix K, to generate the stabilizer with two circulant permutation matrices, we consider further the construction algorithm of the exponent matrix in Equation (18) as follows:
Assume an Abelian group for a prime number , and its subset obtained by non-zero elements, i.e., . As n is a prime number, the size of is even. Hence, the set can be divided on average into two subsets
and of no common element. As can be seen from the group, it is clear that any and the orders of both the subsets are half of , i.e., . Denote all the elements in to be arranged as the first row vector of an obtained matrix , where is the ith subset and is the jth permutation, so the number of the maximum sort order is l.
To the first vector , we take the described anticlockwise (or clockwise) cyclic shift K in (13), i.e., . After times of operation K to vector , l vectors may be generated as the matrix . With a similar rule, we take the sequential arrangement as the first vector of another matrix . It is required that is a different sequence from . Subsequently, the elements in the two subsets can be constructed as two exponent block matrices and . The exponent matrix is generated by combining them. Namely, define an operator ‘⊙’ for combining the two sub-matrices as
Here, is an exponent sub-matrix for obtaining the exponent matrix , and is the row vector of the exponent sub-matrix , . On the basis of the same rule, two exponent matrices and may be gained from the elements in and , respectively. After constructing the exponent matrix and the basic matrix K, the circulant permutation Q may be obtained. By combining it with the n-order jacket matrix, the generator matrix G is finally obtained.
Furthermore, if a greater code rate is required, we also apply the described method again to add the rows. This purpose will be achieved to make the first vector begin with a different cyclic-shifting permutation vector with opposite direction, i.e., clockwise (or anticlockwise). As a result, it will obtain a generator matrix G as
where and are newly obtained matrices with the similar method. It is obvious that the row weight of the obtained matrix is equal to . In fact, if we wish to further reduce the weight of the row matrix, a zero block matrix can be used during the design process. If we denote “” as the exponent of the zero matrix, just taking “” instead of elements in and , the row weight will reduce in the obtained matrix.
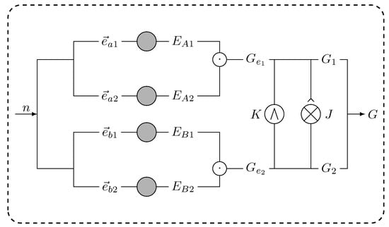
The whole physical circuit of the construction process can be described as in Figure 2. In the process, a prime number n will be divided into two branches. According to the designed approach, two matrices and that generated similarly to will be obtained by operating a cycle-shift operation on two groups of vectors and (). Finally, we take the obtained matrix (similar matrix G in Equation (18)) as the parity-check matrix of a classical QC code by resort to the algorithm.

Figure 2.
The circuit of the constructing generator matrix G. After taking the proper prime number n, two exponent matrices and may be obtained by resort to the operator ‘⊙’ on matrices and using a cyclic shift to vectors and , respectively. Correspondingly, the quasi-cyclic matrix H of the quantum codes can be obtained based on the two classical quasi-cyclic matrices and , which are yielded by the same jacket matrix and two circulant permutation matrices by resort to the operation ‘’.
However, two conditions of coding construction should be satisfied for the generated matrix G. On the one hand, any two rows in G should be orthogonal, i.e., it is self-orthogonal. In fact, according to the proposed construction algorithm, take a cyclic-shift operator in the no-unit operator group , where the group is formed by K introduced before. Without losing generality, denote and two row operator vectors in the circulant permutation matrix Q, . Namely, exponent vectors and are both in the same matrix or . It is obvious that, if any binary row vector in the jacket matrix J is both operated by and with operation , their inner product is equal to 0 or 1, i.e., or 1. Therefore, if any two row vectors and in matrix J are operated by the concatenated vector with size and another vector , their inner product will always be 0 for mode 2 with one-to-one mapping, i.e., ; here, is a cyclic-shift operator. This means that G is a self-orthogonal matrix.
On the other hand, it should also be proved that any codewords from are orthogonal to all codewords from , i.e., . In fact, for the basic matrix K, assume its cyclic-shift time of operating on it in and , respectively. According to the described algorithm, the cyclic-shift steps in the two sets are both 2, i.e., with the same operation . Therefore, any two matrices and of which exponents from and , can be described as forms like Equation (12), i.e.,
It is obvious that and are linearly independent, i.e., the two generated Abelian spaces are orthogonal.
As a result, if we take and as the exponent matrices constructed by Equation (18), we can obtain two N-length matrices and . Then, the rows of the two matrices are randomly chosen as the parity-check matrix of classical code , , so a generator matrix of a QC quantum code of the form of Equation (5) is obtained.
Example 2.
Let prime number so , and sets , . Take and as the first vectors to construct the sub-matrices and , respectively, so that is obtained by combining the two sub-matrices. Similarly, also take and as the first vectors, then will be constructed by coupling and . Correspondingly, in terms of the basic matrix K with parameter in Equation (13), the exponent matrices and may be generated as
Similarly, by making use of a similar method, matrix may be obtained as follows:
We also take the 11 by 11 basic-matrix . Then, the matrices and with size are obtained by combining the two exponent matrices and the basic-matrix. It is obvious that the obtained matrix can encode 55 information bits at most. To increase the coding rate , we can also add the rows and ( and ) of the exponent matrix in terms of the algorithm described before, such as
and
As the result, the exponent matrices and can also be shown as the following matrix
Therefore, the two matrices and are used to form the generator matrix in Equation (5).
For example, if we wish to obtain a quantum code with a coding rate of 0.4, by applying the proposed approach, the two classical codes and can be constructed, respectively. Therefore, according to the construction method of CSS-type, a quantum code is obtained. With greatly increasing code length of QC codes, some methods of computing the minimum distance are required [,].
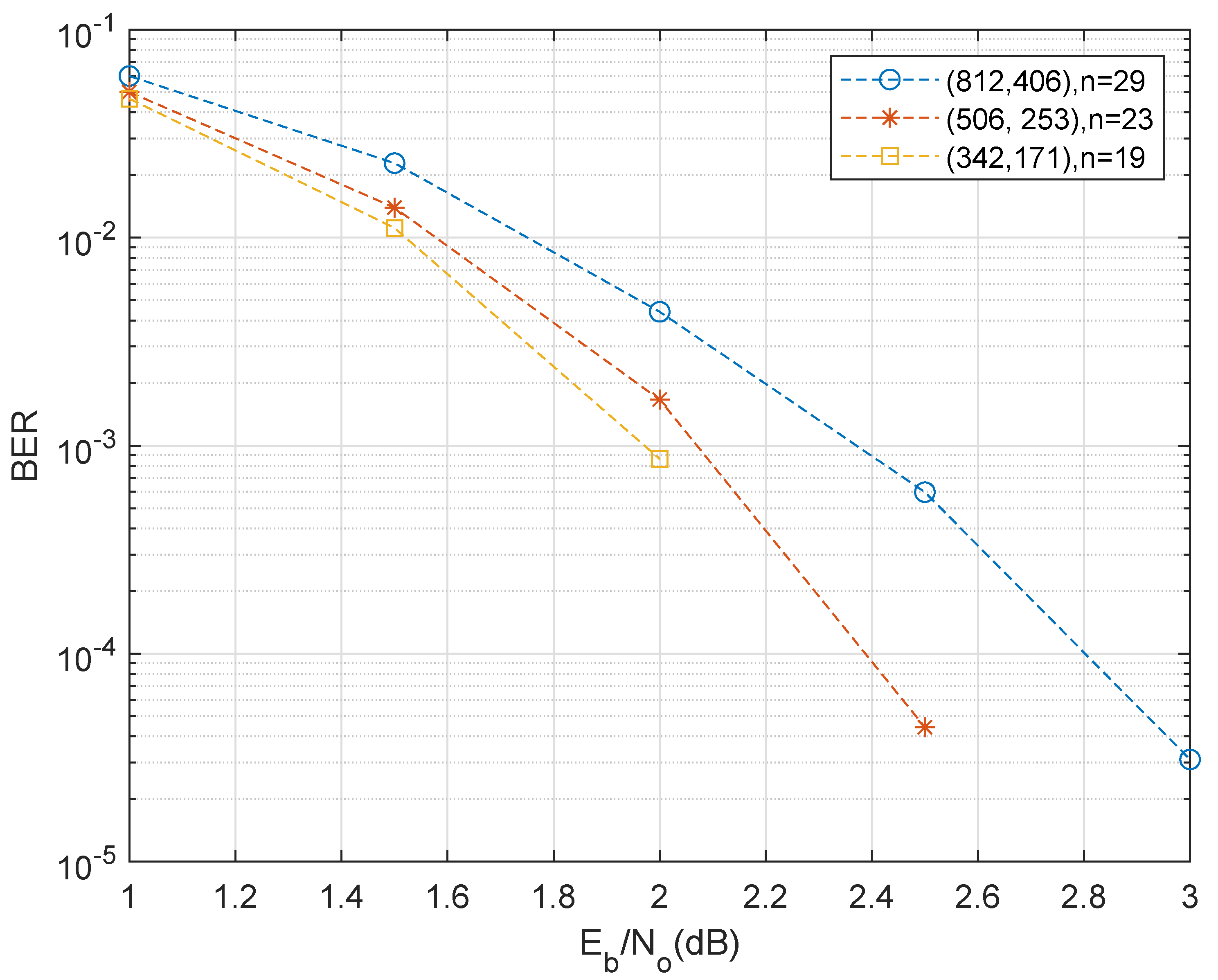
In the following, we use different parameters to analysis the bit error ratio (BER) of the presented QC codes with a jacket matrix of 0.5 code rate. We first consider the coding performance of one of the pair of classical codes and in Figure 3. Here, if different prime numbers are taken in the construction method, their corresponding code lengths are , respectively. With a 0.5 coding rate, we compare their corresponding QC codes. In the signal-to-noise ratio (SNR) range, it is shown that the two shorter lengths of the taken QC quantum codes show better performance from 0.2 to 0.4 dB than the longer one. However, owing to the close cycles and their bit-flip error correction capability, a greater length of code shows its superiority with increasing length.

Figure 3.
BER performance comparison of code rate classical QC code with and . To achieve a greater length of cycle, the decomposition numbers of prime n more than 4 (to avoid 4−cycles) are used in our construction method. Assuming the input is a Gaussian white noise channel model, we take the prime numbers and the maximum iterations of operator as to construct the jacket matrixes; then the code lengths are , respectively.
Furthermore, we consider the probability of three classes of Pauli errors in the communication channel. Assuming the channel is viewed as a possibly more realistic depolarizing channel, it can independently generate a list of X bit-flip errors, Z phase-flip errors and Y errors which are a combination of bit and phase flip with equal probability for a total probability f. Hence, the marginal flip probability distributed identically is . Owing to the construction methods of all CSS-type quantum codes obtained by the two classical codes and , the X-and-Z errors may be separately decoded and corrected with a standard classical correction algorithm []. In Figure 4, we compare the proposed QC quantum codes with the conventional quantum error-correction codes proposed in []. Here, we take, respectively, the quantum coding rate of these codes as 0.50 and 0.48. The proposed codes of lengths and are generated by jacket matrices with parameters and , respectively. According to the construction method in [], two codes with similar lengths and are compared. Because the pair of classical codes and are isomorphic, the average decoding performances are similar in simulation. Therefore, we just focus on analysis of the single classical code in Figure 4. According to the presented coding method, the obtained generator matrix has sparse properties in terms of the character of the jacket block matrix; hence, a larger minimum distance for the generator matrix can be obtained. As a result, the bit error rate of our gained codes is higher than for the conventional codes, although the floor of no error for both codes is down to about . However, with increasing , their BERs tend to the same level. Therefore, the proposed QC quantum codes show better performance for the coding of large-scale data.

Figure 4.
Comparison of decoding error rate of the proposed QC quantum codes (bule) and conventional QC LDPC CSS codes (red). Here, the proposed QC quantum codes with lengths and are generated by and for times of iterations on a binary symmetric channel, and the conventional QC LDPC codes are obtained with similar lengths with rates = 0.50, 0.48, respectively. Based on the equal error rate of one of the classical pair codes and , the bit error rate of the marginal flip probability of X and Z errors is shown.
Assume is a jacket in Equation (23) constructed with Pauli matrices and (not including the Hadamard matrix) in the described algorithm. To analysis the computation complexity, we first consider the 0 and 1 densities in the binary matrix denoted by
where and are the 0 and 1 numbers respectively. Therefore, the density of the jacket matrix equals and becomes lower with increasing length . According to the described algorithm, there are two operators, i.e., the Kronecker-product operator ‘⊗’ and the direct-sum operator ‘⊕’, involved. It is obvious that the calculation complexity of the direct sum is that is less than the Kronecker-product operator’s .
Therefore, the low complexity of the coding method should obey the following rules:
- (1)
- the length of the taken matrices between the Kronecker-product operator should be larger;
- (2)
- to obtain the long QC quantum code, the number in the decomposition method should include more direct-sum operators than Kronecker-product operators. As a result, the constructed quantum codes show good performance for low density code.
In addition, we consider the low-density properties of the constructed matrix. After first being proposed by Gallager, LDPC codes were rediscovered several decades later [,]. Classical LDPC codes have good performance, which approach the channel capacity in the limit of large block size. There has been considerable interest in finding quantum versions of these codes [,,]. However, quantum LDPC codes are far less studied than their classical counterparts. In spite of its good performance, one main obstacle is how to obtain a highly efficient algorithm for iterative coding. In our paper, we have tentatively presented a method of constructing quantum LDPC codes and the results further enrich the theoretical achievements in this field. To ensure that the Tanner graph of the LDPC codes is free of 4-cycles, the girth may be at least 6 because the cycle of short length will reduce the performance of the LDPC codes. To meet the requirement, we just take the parameter n of the basic jacket matrix to be no less than 7, i.e., , in our construction algorithm.
In classical codes, a bipartite Tanner graph consists of check nodes and variable nodes []. The variable and check node degrees are denoted as and , respectively, which correspond to the row and column minimum distances of the sparse parity-check matrix H. Assume the length of the shortest cycle on the graph, and that the number of independent iterations are referred to as the girth g and T, respectively [,]. Correspondingly, a useful iteration gain is generally bounded by
Obviously, the gained block length should be sufficient while the girth is given, so that the bound satisfies []
for a specific girth , where x is an integer. According to the bound (40), the relation of the code length N and the weights and is shown in Figure 5. Here, as x is taken as 2, 3 and 4 with hypothesis , then the cycle-10, cycle-14 and cycle-18 are gained, respectively.

Figure 5.
The performance of required code length N with different parameters. Here, to reflect the relation of several parameters, it takes so that 10-cycles, 14-cycles and 18-cycles are obtained with hypothesis . To satisfy the bound, the prime number n in the proposed method should also meet the condition of length N and cycles.
In this figure, it is shown that the length increases exponentially with the cycle length and its minimum weight . Provided that the required cycle is determined, i.e., the cycle is bigger than a 4-cycle, for balancing the weights and the code length N, it is necessary to consider the fundamental construction of the jacket matrix. In terms of the characters of the proposed method, the minimum distance of the obtained codes will grow linearly with increase in the parameter n. Thereby, we can apply the taken prime number to generate jacket matrices to adjust the relation between and N. The main rule for reducing the density and increasing the cycle of the parity check matrix H is that n in the decomposition method should be larger. For example, if we decompose the length of the QC code as with the most basic method, the cycles will be smaller. However, if we take another decomposition method , the cycle length is obviously increased, and, hence, the obtained quantum codes have the advantage of simple implementation of an iterative decoder and low-complexity encoding.
According to information coding theory, the sparse parity-check matrix H of code for decoding can be gained from the generator matrix. Based on the character of our constructed matrix with prime number n, it is easy to check that the variable and check node degrees in H or the corresponding bipartite Tanner graph at most are and , where is an integral function. For Example 2, the row and column weights of the parity-check matrix for constructed codes are and , respectively. It is obvious that the bound can be met with its 6-cycle for .
Furthermore, according to the family of proposed codes from the circulant permutation matrix in Equation (14), the obtained quantum QC code of dimension contains its upper bound on the minimum distance as the code length . This means that, the adopted parameter n in the proposed coding method should correspondingly approach
with the long-code length, where is an integer set.
In practical applications, quantum codes with long length may potentially be used in some future quantum information fields involved in large-scale data, such as quantum machine learning, which uses quantum computers and aims to enhance the power of machine learning. However, some major obstacles still limit the use of quantum hardware for practical applications of machine learning. One of the bottlenecks is that the data has to be encoded into the quantum computer in an efficient manner to generate its useful quantum kernel. Although some encoding methods have been investigated [,,], the features are limited by the number of qubits []. Additionally, the inherent noise of quantum computers also influences the quality of the experimental results. Generally, rapid processing of the large datasets is vital because the operation timescale relies linearly on the size of the dataset. Therefore, to provide a useful kernel for machine learning, a good coding manner with long code length can efficiently load a high-dimensional feature vector into a quantum computer. As a consequence, the proposed coding method in this paper provides a tentative coding scheme for ML based on large-scale data.
5. Conclusions
The coding method for massive data has important applications in the field of information transmission and big-data processing. With the rapid development of quantum computing, this class of coding construction has become one of the research fields in quantum information. In this paper, based on a class of circulant permutation matrices, we presented quantum quasi-cyclic CSS codes in terms of two long-length classical codes based on block matrices. Motivated by the advantages of convenient and low-complexity implementation of an iterative decoder for proposed code, a family of jacket block matrices were applied to quantum coding construction. The presented method can efficiently construct long-length quantum QC codes based on the proposed method of an iterative coding process. If the parameter is selected appropriately, the obtained quantum codes are number 4-cycles in their generators and have good performance for LDPC codes.
Furthermore, we also analysed the marginal flip probability with respect to our proposed codes; that a good performance was obtained for the bit error rate is shown in Section 4. Therefore, the obtained QC quantum codes that benefit from their semi-parallel architectures can potentially be applied to the future quantum information field in relation to massive data.
Author Contributions
Formal analysis, Investigation, Writing–original draft, Y.L.; Software, J.-Y.L. All authors have read and agreed to the published version of the manuscript.
Funding
This work is supported by the Natural Science Foundation of Shanghai (No.19ZR1420000).
Institutional Review Board Statement
Not applicable.
Informed Consent Statement
Not applicable.
Data Availability Statement
The data used to support the findings of this study are included within the article.
Conflicts of Interest
The authors declare no conflict of interest.
References
- Gisin, N.; Ribordy, G.; Tittel, W.; Zbinden, H. Quantum cryptography. Rev. Mod. Phys. 2002, 74, 145. [Google Scholar] [CrossRef]
- Assche, G.V.; Cardinal, J.; Cerf, N.J. Reconciliation of a quantum distributed Gaussian key. IEEE Trans. Inf. Theory 2004, 50, 394–400. [Google Scholar]
- Scarani, V.; Pasquinucci, H.B.; Cerf, N.J. The security of practical quantum key distribution. Rev. Mod. Phys. 2009, 81, 301. [Google Scholar] [CrossRef]
- Guo, Y.; Wang, K.S.; Huang, D.; Jiang, X.Q. High efficiency continuous-variable quantum key distribution based on qc-ldpc codes. Chin. Opt. Lett. 2019, 11, 112701. [Google Scholar] [CrossRef]
- Calderbank, A.R.; Rains, E.M.; Shor, P.W. Quantum Error Correction and Orthogonal Geometry. Phys. Rev. Lett. 1997, 76, 405. [Google Scholar] [CrossRef]
- Calderbank, A.R.; Shor, P. Good quantum error-correcting codes exist. Phys. Rev. A 1996, 54, 1098. [Google Scholar] [CrossRef]
- Steane, A. Multiple particle inference and quantum error correction. Proc. R. Soc. A 1996, 452, 2551. [Google Scholar]
- Shor, P.W. Scheme for reducing decoherence in quantum computer memory. Phys. Rev. A 1995, 52, 2493. [Google Scholar] [CrossRef] [PubMed]
- Steane, A.M. Error correcting codes in quantum theory. Phys. Rev. Lett. 1996, 77, 793. [Google Scholar] [CrossRef]
- Nielsen, M.A.; Chuang, I.S. Quantum Computation and Quantum Information; Cambridge University Press: Cambridge, UK, 2000. [Google Scholar]
- Rebentrost, P.; Mohseni, M.; Lloyd, S. Quantum support vector machine for big data classification. Phys. Rev. Lett. 2014, 113, 130503. [Google Scholar] [CrossRef]
- Vandermolen, R.; Wright, D. Graph-Theoretic Approach to Quantum Error Correction. arXiv 2021, arXiv:2110.08414. [Google Scholar] [CrossRef]
- Zhou, N.R.; Zhang, T.F.; Xie, X.W.; Wu, J.Y. Hybrid quantum-classical generative adversarial networks for image generation via learning discrete distribution. Signal Process. Image Commun. 2023, 110, 116891. [Google Scholar] [CrossRef]
- Cao, C.; Zhang, C.; Wu, Z.; Grassl, M.; Zeng, B. Quantum variational learning for quantum error-correcting codes. arXiv 2022, arXiv:2204.03560. [Google Scholar] [CrossRef]
- Aydin, N.; Ray-Chaudhuri, D.K. Quasi-cyclic codes over Z4 and some new binary codes. IEEE Trans. Inf. Theory 2002, 48, 2065–2069. [Google Scholar] [CrossRef]
- Daskalov, R.; Hristov, P. New binary one-generator quasi-cyclic codes. IEEE Trans. Inf. Theory 2003, 49, 3001–3005. [Google Scholar] [CrossRef]
- Kapshikar, U.; Kundu, S. Diagonal distance of quantum codes and hardness of the minimum distance problem. arXiv 2022, arXiv:2203.04262. [Google Scholar]
- Panteleev, P.; Kalachev, G. Quantum LDPC Codes with Almost Linear Minimum Distance. IEEE Trans. Inf. Theory 2022, 1, 68. [Google Scholar] [CrossRef]
- Ling, S.; Sol’e, P. Good self-dual qausi-cyclic codes exist. IEEE Trans. Inf. Theory 2003, 49, 1052–1053. [Google Scholar] [CrossRef]
- Kasami, T. A Gilbert-Varshamov bound for quasi-cyclic codes of rate1/2. IEEE Trans. Inf. Theory 2008, 20, 679. [Google Scholar] [CrossRef]
- Loubenets, E.R. General lower and upper bounds under minimum-error quantum state discrimination. Phys. Rev. A 2022, 105, 032410. [Google Scholar] [CrossRef]
- Hagiwara, M.; Imai, H. Quantum quasi-cyclic LDPC codes. In Proceedings of the 2007 IEEE International Symposium on Information Theory, Nice, France, 24–29 June 2007; pp. 806–810. [Google Scholar]
- Hagiwara, M.; Kasai, K.; Imai, H.; Sakaniwa, K. Spatially Coupled Quasi-Cyclic Quantum LDPC Codes. In Proceedings of the 2011 IEEE International Symposium on Information Theory Proceedings, ISIT 2011, St. Petersburg, Russia, 31 July–5 August 2011. [Google Scholar]
- Galindo, C.; Hernando, F.; Mastsumoto, R. Quasi-cyclic constructions of quantum codes. Finite Fields Appl. 2018, 52, 261–280. [Google Scholar] [CrossRef]
- Ezerman, M.F.; Ling, S.; Ozkaya, B.; Sol’e, P. Good stabilizer codes from quasi-cyclic codes over F4 and F9. arXiv 2019, arXiv:1906.04964v1. [Google Scholar]
- Lv, J.; Li, R.; Wang, J. New binary quantum codes derived from one generator quasi-cyclic codes. IEEE Access 2019, 7, 85782–85785. [Google Scholar] [CrossRef]
- Lv, J.; Li, R.; Wang, J. An explicit construction of quantum stabilizer codes from quasi-cyclic codes. IEEE Commun. Lett. 2020, 24, 1067–1071. [Google Scholar] [CrossRef]
- Lee, M.H. The center weighted Hardamard transform. IEEE Trans. Circuits Syst. 1989, 36, 1247. [Google Scholar] [CrossRef]
- Lee, M.H.; Hou, J. Fast Block Inverse Jacket Transform. IEEE Signal Process. Lett. 2006, 13, 461. [Google Scholar] [CrossRef]
- Gallager, R.G. Low-Density Parity-Check Codes. Ph.D. Thesis, Massachusetts Institute of Technology, Cambridge, MA, USA, 1963. [Google Scholar]
- Davey, M.C.; MacKay, D.J.C. Low density parity check codes over GF(q). IEEE Commun. Lett. 1998, 2, 165–167. [Google Scholar] [CrossRef]
- MacKay, D.J.C. Good error-correcting codes based on very sparse matrices. IEEE Trans. Inf. Theory 1999, 45, 399–432. [Google Scholar] [CrossRef]
- Kovalev, A.A.; Pryadko, L.P. Fault tolerance of quantum low-density parity check codes with sublinear distance scaling. Phys. Rev. A 2013, 87, 020304. [Google Scholar] [CrossRef]
- Fawzi, O.; Grospellier, A.; Leverrier, A. Constant overhead quantum fault-tolerance with quantum expander codes. In Proceedings of the 2018 IEEE 59th Annual Symposium on Foundations of Computer Science (FOCS), Paris, France, 7–9 October 2018; pp. 743–754. [Google Scholar]
- Tremblay, M.A.; Delfosse, N.; Beverland, M.E. Constant-overhead quantum error correction with thin planar connectivity. arXiv 2021, arXiv:2109.14609. [Google Scholar] [CrossRef]
- Feng, K.; Ma, Z. A finite Gilbert-Varshamov bound for pure stabilizer quantum codes. IEEE Trans Inf. Theory 2004, 50, 3323. [Google Scholar] [CrossRef]
- Kou, Y.; Lin, S.; Fossorier, M. Low-density parity-check codes based on finite geometries: A rediscovery and new results. IEEE Trans. Inf. Theory 2001, 47, 2711–2736. [Google Scholar] [CrossRef]
- Berrou, C.; Vaton, S. Computing the minimum distance of linear codes by the error impulse method. In Proceedings of the IEEE International Symposium on Information Theory, Taipei, Taiwan, 17–21 November 2002. [Google Scholar]
- MacKay, D.J.C.; Mitchison, G.; McFadden, P.L. Sparse-graph codes for quantum error correction. IEEE Trans. Inf. Theory 2004, 50, 2315–2330. [Google Scholar] [CrossRef]
- Hu, X.Y.; Eleftheriou, E.; Arnold, D.M. Regular and Irregular Progressive EdgeGrowth Tanner Graphs. IEEE Trans. Commun. 2005, 51, 386–388. [Google Scholar]
- Tanner, R.M. A recursive approach to low complexity codes. IEEE Trans. Inf. Theory 1981, 27, 533. [Google Scholar] [CrossRef]
- Gallager, R.G. Low-density parity-check codes. IEEE Trans. Inf. Theory 1962, 8, 21. [Google Scholar] [CrossRef]
- Perez-Salinas, A.; Cervera-Lierta, A.; Gil-Fuster, E.; Latorre, J.I. Data re-uploading for a universal quantum classifier. Quantum 2020, 4, 226. [Google Scholar] [CrossRef]
- Schuld, M. Quantum machine learning models are kernel methods. arXiv 2021, arXiv:2101.11020. [Google Scholar]
- Haug, T.; Self, C.N.; Kim, M.S. Large-scale quantum machine learning. arXiv 2021, arXiv:2108.01039. [Google Scholar]
- Havlcek, V.; Corcoles, A.D.; Temme, K.; Harrow, A.W.; Kandala, A.; Chow, J.M.; Gambetta, J.M. Supervised learning with quantum-enhanced feature spaces. Nature 2019, 567, 209. [Google Scholar] [CrossRef]
Disclaimer/Publisher’s Note: The statements, opinions and data contained in all publications are solely those of the individual author(s) and contributor(s) and not of MDPI and/or the editor(s). MDPI and/or the editor(s) disclaim responsibility for any injury to people or property resulting from any ideas, methods, instructions or products referred to in the content. |
© 2023 by the authors. Licensee MDPI, Basel, Switzerland. This article is an open access article distributed under the terms and conditions of the Creative Commons Attribution (CC BY) license (https://creativecommons.org/licenses/by/4.0/).