Heat-Bath and Metropolis Dynamics in Ising-like Models on Directed Regular Random Graphs
Abstract
1. Introduction
2. Models
3. Results
3.1. Ising Model
3.1.1. Heat-Bath Dynamics
3.1.2. Metropolis Dynamics
3.2. Ising Model with Absorbing States
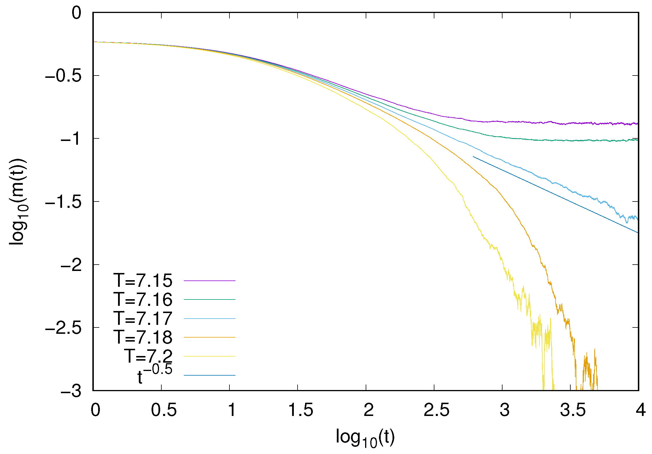
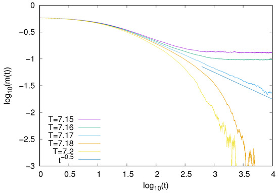
3.2.1. Heat-Bath Dynamics
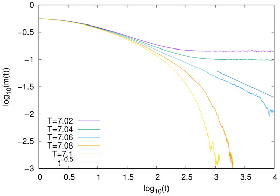
3.2.2. Metropolis Dynamics
3.3. Majority Voter Model
3.3.1. Heat-Bath Dynamics
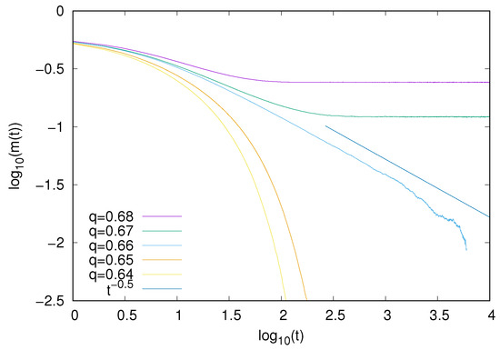
3.3.2. Metropolis Dynamics
4. Conclusions and Remarks
Author Contributions
Funding
Data Availability Statement
Conflicts of Interest
References
- Castellano, C.; Fortunato, S.; Loret, V. Statistical physics of social dynamics. Rev. Mod. Phys. 2009, 81, 591. [Google Scholar] [CrossRef]
- Redner, S. Reality-inspired voter models: A mini-review. C. R. Phys. 2019, 20, 275–292. [Google Scholar] [CrossRef]
- Pastor-Satorras, R.; Vespignani, A. Epidemic spreading in scale-free networks. Phys. Rev. Lett. 2001, 86, 3200. [Google Scholar] [CrossRef] [PubMed]
- Montanari, A.; Saberi, A. The Spread of Innovations in Social Networks. Proc. Natl. Acad. Sci. USA 2010, 107, 20196. [Google Scholar] [CrossRef] [PubMed]
- Ising, T.; Folk, R.; Kenna, R.; Berche, B.; Holovatch, Y. The Fate of Ernst Ising and the Fate of his Model. J. Phys. Stud. 2017, 21, 3002. [Google Scholar] [CrossRef]
- Newman, M.E.J.; Barkema, G.T. Monte Carlo Methods in Statistical Physics; Oxford University Press: Oxford, UK, 1999. [Google Scholar]
- Mata, A.S. An overview of epidemic models with phase transitions to absorbing states running on top of complex networks. Chaos 2021, 31, 012101. [Google Scholar] [CrossRef]
- Albert, R.; Barabási, A.-L. Statistical mechanics of complex networks. Rev. Mod. Phys. 2002, 74, 47–97. [Google Scholar] [CrossRef]
- Holme, P.; Saramäki, J. (Eds.) Temporal Network Theory; Springer: New York, NY, USA, 2019; Volume 2. [Google Scholar]
- Sayama, H.; Pestov, I.; Schmidt, J.; Bush, B.J.; Wong, C.; Yamanoi, J.; Gross, T. Modeling complex systems with adaptive networks. Comput. Math. Appl. 2013, 65, 1645–1664. [Google Scholar] [CrossRef]
- Domenico, M.D.; Granell, C.; Porter, M.A.; Arenas, A. The physics of spreading processes in multilayer networks. Nat. Phys. 2016, 12, 901–906. [Google Scholar] [CrossRef]
- Lipowski, A.; Lipowska, D.; Ferreira, A.L. Agreement dynamics on directed random graphs. J. Stat. Mech: Theory Exp. 2017, 2017, 063408. [Google Scholar] [CrossRef][Green Version]
- Dorogovtsev, S.N.; Goltsev, A.V.; Mendes, J.F.F. Critical phenomena in complex networks. Rev. Mod. Phys. 2008, 80, 1275. [Google Scholar] [CrossRef]
- Mezard, M.; Montanari, A. Information, Physics, and Computation; Oxford University Press: Oxford, UK, 2009. [Google Scholar]
- Gleeson, J.P. Binary-state dynamics on complex networks: Pair approximation and beyond. Phys. Rev. X 2013, 3, 021004. [Google Scholar] [CrossRef]
- Kadanoff, L.P. Statistical Physics: Statics, Dynamics and Renormalization; World Scientific: Singapore, 2000. [Google Scholar]
- Lipowski, A.; Gontarek, K.; Lipowska, D. Robust criticality of an Ising model on rewired directed networks. Phys. Rev. E 2015, 91, 062801. [Google Scholar] [CrossRef] [PubMed]
- Hatchett, J.P.L.; Wemmenhove, B.; Castillo, I.P.; Nikoletopoulos, T.; Skantzos, N.S.; Coolen, A.C.C. Parallel dynamics of disordered Ising spin systems on finitely connected random graphs. J. Phys. A Math. General 2004, 37, 6201. [Google Scholar] [CrossRef][Green Version]
- Mimura, K.; Coolen, A.C.C. Parallel dynamics of disordered Ising spin systems on finitely connected directed random graphs with arbitrary degree distributions. J. Phys. A Math. Theor. 2009, 42, 415001. [Google Scholar] [CrossRef]
- Sánchez, A.D.; López, J.M.; Rodríguez, M.A. Nonequilibrium Phase Transitions in Directed Small-World Networks. Phys. Rev. Lett. 2002, 88, 048701. [Google Scholar] [CrossRef]
- Lipowski, A.; Ferreira, A.L.; Lipowska, D.; Gontarek, K. Phase transitions in Ising models on directed networks. Phys. Rev. E 2015, 92, 052811. [Google Scholar] [CrossRef]
- Neri, I.; Bollé, D. The cavity approach to parallel dynamics of Ising spins on a graph. J. Stat. Mech. 2009, 2009, P08009. [Google Scholar] [CrossRef]
- Torrisi, G.; Kühn, R.; Annibale, A. Uncovering the non-equilibrium stationary properties in sparse Boolean networks. J. Stat. Mech. Theory Exp. 2022, 2022, 053303. [Google Scholar] [CrossRef]
- Dorogovtsev, S.N.; Goltsev, A.V.; Mendes, J.F.F. Ising model on networks with an arbitrary distribution of connections. Phys. Rev. E 2002, 66, 016104. [Google Scholar] [CrossRef]
- Leone, M.A.; Vázquez, A.; Vespignani, A.; Zecchina, R. Ferromagnetic ordering in graphs with arbitrary degree distribution. Eur. Phys. J. B 2002, 28, 191. [Google Scholar] [CrossRef]
- Mézard, M.; Parisi, G.; Virasoro, M. Spin Glass Theory and Beyond: An Introduction to the Replica Method and Its Applications; World Scientific Publishing Company: Singapore, 1986. [Google Scholar]
- Täuber, U.C. Phase transitions and scaling in systems far from equilibrium. Annu. Rev. Condens. Matter Phys. 2017, 8, 185–210. [Google Scholar] [CrossRef]
- Fisher, M.E.; Racz, Z. Scaling theory of nonlinear relaxation. Phys. Rev. B 1976, 13, 5039. [Google Scholar] [CrossRef]
- Zheng, B. Monte Carlo simulations of short-time critical dynamics. Int. J. Mod. Phys. B 1998, 12, 1419–1484. [Google Scholar] [CrossRef]
- Goldenfeld, N. Lectures on Phase Transitions and the Renormalization Group; Addison-Wesley: Reading, MA, USA, 1992. [Google Scholar]
- Jȩdrzejewski, A.; Chmiel, A.; Sznajd-Weron, K. Oscillating hysteresis in the q-neighbor Ising model. Phys. Rev. E 2015, 92, 052105. [Google Scholar] [CrossRef] [PubMed]
- Jȩdrzejewski, A.; Chmiel, A.; Sznajd-Weron, K. Kinetic Ising models with various single-spin-flip dynamics on quenched and annealed random regular graphs. Phys. Rev. E 2017, 96, 012132. [Google Scholar] [CrossRef] [PubMed]
- Lipowski, A.; Droz, M. Phase transitions in nonequilibrium d-dimensional models with q absorbing states. Phys. Rev. E 2002, 65, 056114. [Google Scholar] [CrossRef]
- Krause, S.M.; Böttcher, P.; Bornholdt, S. Mean-field-like behavior of the generalized voter-model-class kinetic Ising model. Phys. Rev. E 2012, 85, 031126. [Google Scholar] [CrossRef]
- Droz, M.; Ferreira, A.L.; Lipowski, A. Splitting the voter Potts model critical point. Phys. Rev. E 2003, 67, 056108. [Google Scholar] [CrossRef]
- Hammal, O.A.; Chaté, H.; Dornic, I.; Munoz, M.A. Langevin description of critical phenomena with two symmetric absorbing states. Phys. Rev. Lett. 2005, 94, 230601. [Google Scholar] [CrossRef]
- Castellano, C.; Muñoz, M.A.M.; Pastor-Satorras, R. Nonlinear q-voter model. Phys. Rev. E 2009, 80, 041129. [Google Scholar] [CrossRef] [PubMed]
- Park, S.-C. Order–disorder transition in the two-dimensional interacting monomer-dimer model: Ising criticality. J. Stat. Mech. Theory Exp. 2015, 2015, P10009. [Google Scholar] [CrossRef]
- Rodrigues, L.; Chatelain, C.; Tomé, T.; Oliveira, M.J.D. Critical behavior in lattice models with two symmetric absorbing states. J. Stat. Mech. Theory Exp. 2015, 2015, P01035. [Google Scholar] [CrossRef]
- Azizi, A.; Pleimling, M. Critical phenomena in the presence of symmetric absorbing states: A microscopic spin model with tunable parameters. Phys. Rev. E 2020, 102, 022112. [Google Scholar] [CrossRef]
- Dornic, I.; Chaté, H.; Chave, J.; Hinrichsen, H. Critical coarsening without surface tension: The universality class of the voter model. Phys. Rev. Lett. 2001, 87, 045701. [Google Scholar] [CrossRef] [PubMed]
- De Oliveira, M.J. Isotropic majority-vote model on a square lattice. J. Stat. Phys. 1992, 66, 273–281. [Google Scholar] [CrossRef]
- Acuña-Lara, A.L.; Sastre, F. Critical phenomena of the majority voter model in a three-dimensional cubic lattice. Phys. Rev. E 2012, 86, 041123. [Google Scholar] [CrossRef]
- Zubillaga, B.J.; Vilela, A.L.M.; Wang, M.; Du, R.; Dong, G.; Stanley, H.E. Three-state majority-vote model on small-world networks. Sci. Rep. 2022, 12, 282. [Google Scholar] [CrossRef]
- Kawasaki, K. Diffusion constants near the critical point for time-dependent Ising models I. Phys. Rev. 1966, 145, 224. [Google Scholar] [CrossRef]










Disclaimer/Publisher’s Note: The statements, opinions and data contained in all publications are solely those of the individual author(s) and contributor(s) and not of MDPI and/or the editor(s). MDPI and/or the editor(s) disclaim responsibility for any injury to people or property resulting from any ideas, methods, instructions or products referred to in the content. |
© 2023 by the authors. Licensee MDPI, Basel, Switzerland. This article is an open access article distributed under the terms and conditions of the Creative Commons Attribution (CC BY) license (https://creativecommons.org/licenses/by/4.0/).
Share and Cite
Lipowski, A.; Ferreira, A.L.; Lipowska, D. Heat-Bath and Metropolis Dynamics in Ising-like Models on Directed Regular Random Graphs. Entropy 2023, 25, 1615. https://doi.org/10.3390/e25121615
Lipowski A, Ferreira AL, Lipowska D. Heat-Bath and Metropolis Dynamics in Ising-like Models on Directed Regular Random Graphs. Entropy. 2023; 25(12):1615. https://doi.org/10.3390/e25121615
Chicago/Turabian StyleLipowski, Adam, António L. Ferreira, and Dorota Lipowska. 2023. "Heat-Bath and Metropolis Dynamics in Ising-like Models on Directed Regular Random Graphs" Entropy 25, no. 12: 1615. https://doi.org/10.3390/e25121615
APA StyleLipowski, A., Ferreira, A. L., & Lipowska, D. (2023). Heat-Bath and Metropolis Dynamics in Ising-like Models on Directed Regular Random Graphs. Entropy, 25(12), 1615. https://doi.org/10.3390/e25121615

