Rapidity and Energy Dependencies of Temperatures and Volume Extracted from Identified Charged Hadron Spectra in Proton–Proton Collisions at a Super Proton Synchrotron (SPS)
Abstract
:1. Introduction
2. Formalism and Method
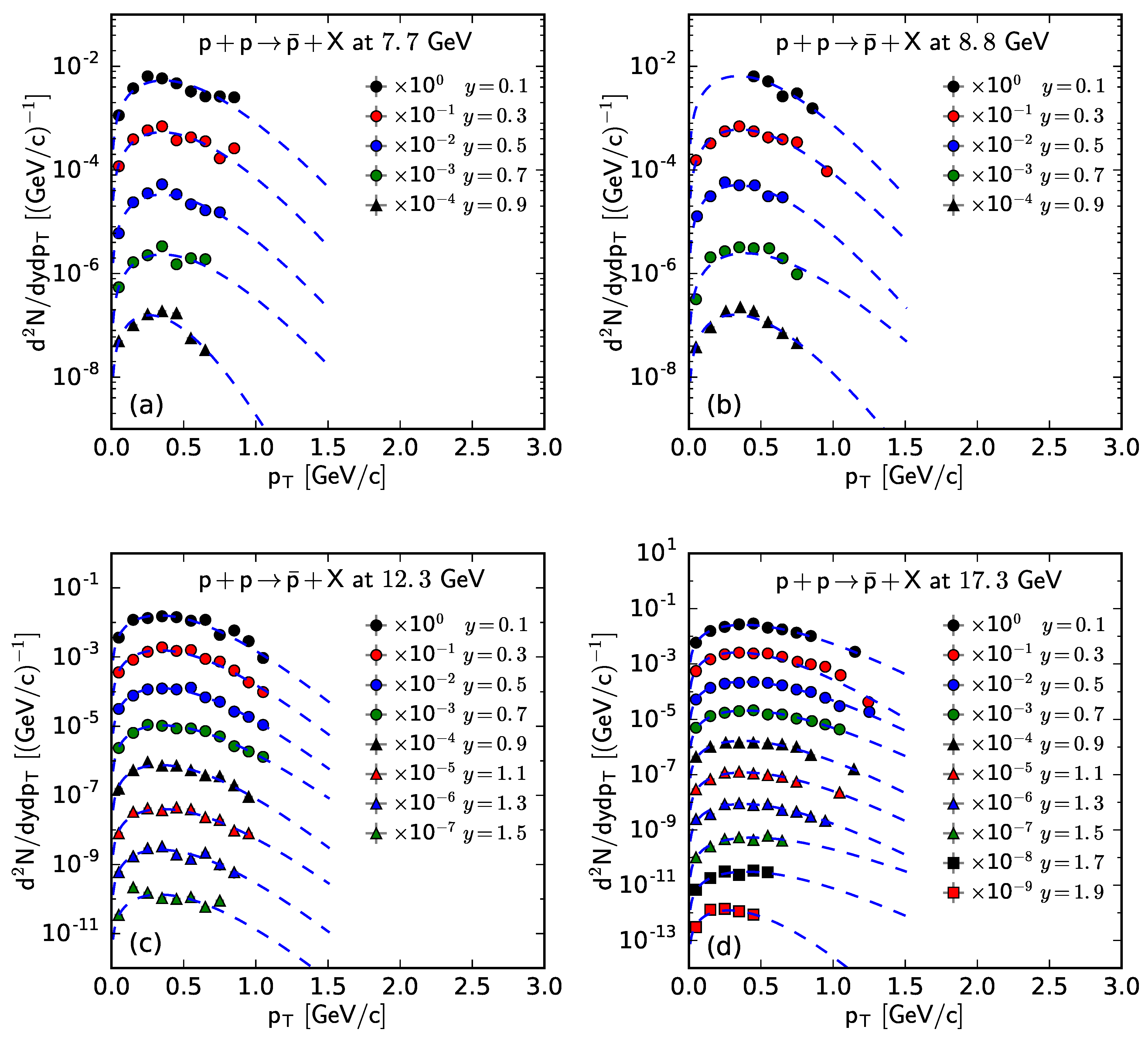
3. Results and Discussion
4. Summary and Conclusions
Author Contributions
Funding
Institutional Review Board Statement
Informed Consent Statement
Data Availability Statement
Conflicts of Interest
Appendix A. The Method to Obtain the Parameter and Its Uncertainty
Appendix B. Parameter Tables Obtained in the Fitting Process
| (GeV) | y | ||||||
|---|---|---|---|---|---|---|---|
| T (GeV) | V () | /ndof | T (GeV) | V () | /ndof | ||
| − | − | − | |||||
| 6.3 | |||||||
| − | − | − | |||||
| − | − | − | |||||
| − | − | − | |||||
| 7.7 | |||||||
| − | − | − | |||||
| − | − | − | |||||
| 8.8 | |||||||
| − | − | − | |||||
| 12.3 | |||||||
| − | − | − | |||||
| − | − | − | |||||
| 17.3 | |||||||
| (GeV) | y | ||||||
|---|---|---|---|---|---|---|---|
| T (GeV) | V () | /ndof | T (GeV) | V () | /ndof | ||
| 6.3 | |||||||
| 7.7 | |||||||
| − | − | − | |||||
| − | − | − | |||||
| 8.8 | |||||||
| 12.3 | |||||||
| 17.3 | |||||||
References
- Arsene, I.; Bearden, I.G.; Beavis, D.; Besliu, C.; Budick, B.; Bggild, H.; Chasman, C.; Chasman, C.; Christensen, C.H.; Christiansen, P.; et al. Quark gluon plasma and color glass condensate at RHIC? The perspective from the BRAHMS experiment. Nucl. Phys. A 2005, 757, 1–27. [Google Scholar] [CrossRef]
- Adcox, K.; Adler, S.S.; Afanasiev, S.; Aidala, C.; Ajitanand, N.N.; Akiba, Y.; Al-Jamel, A.; Alexander, J.; Amirikas, R.; Aoki, K.; et al. Formation of dense partonic matter in relativistic nucleus-nucleus collisions at RHIC: Experimental evaluation by the PHENIX collaboration. Nucl. Phys. A 2005, 757, 184–283. [Google Scholar] [CrossRef]
- Adams, J.; Aggarwal, M.M.; Ahammed, Z.; Amonett, J.; Anderson, B.D.; Arkhipkin, D.; Averichev, G.S.; Badyal, S.K.; Bai, Y.; Balewski, J.; et al. Experimental and theoretical challenges in the search for the quark gluon plasma: The STAR collaboration’s critical assessment of the evidence from RHIC collisions. Nucl. Phys. A 2005, 757, 102–183. [Google Scholar] [CrossRef]
- Schukraft, J. Heavy ion physics with the ALICE experiment at the CERN LHC. Phil. Trans. R. Soc. Lond. A 2012, 370, 917–932. [Google Scholar]
- Braun-Munzinger, P.; Stachel, J. The quest for the quark-gluon plasma. Nature 2007, 448, 302–309. [Google Scholar] [CrossRef] [PubMed]
- Harris, J.W.; Müller, B. The search for the quark-gluon plasma. Ann. Rev. Nucl. Part. Sci. 1996, 46, 71–107. [Google Scholar] [CrossRef]
- Heinz, U.W.; Jacob, M. Evidence for a new state of matter: An assessment of the results from the CERN lead beam programme. arXiv 2000, arXiv:nucl-th/0002042v1. [Google Scholar]
- Podlaski, P. Results on system size dependence of strangeness production in the CERN SPS energy range from NA61/SHINE. EPJ Web Conf. 2023, 276, 03008. [Google Scholar] [CrossRef]
- Tannenbaum, M.J. Recent results in relativistic heavy ion collisions: From ‘a new state of matter’ to ‘the perfect fluid’. Rept. Prog. Phys. 2006, 69, 2005–2060. [Google Scholar] [CrossRef]
- Abdulhamid, M.I.; Aboona, B.E.; Adam, J.; Adamczyk, L.; Adams, J.R.; Aggarwal, I.; Aggarwal, M.M.; Ahammed, Z.; Anderson, D.M.; Aschenauer, E.C.; et al. Energy dependence of intermittency for charged hadrons in Au+Au collisions at RHIC. Phys. Lett. B 2023, 845, 138165. [Google Scholar] [CrossRef]
- Abdulhamid, M.I.; Aboona, B.E.; Adam, J.; Adamczyk, L.; Adams, J.R.; Agakishiev, G.; Aggarwal, I.; Aggarwal, M.M.; Ahammed, Z.; Aitbaev, A. Beam energy dependence of triton production and yield ratio (Nt × Np/) in Au+Au collisions at RHIC. Phys. Rev. Lett. 2023, 130, 202301. [Google Scholar] [CrossRef] [PubMed]
- Aboona, B.E.; Adam, J.; Adamczyk, L.; Adams, J.R.; Aggarwal, I.; Aggarwal, M.M.; Ahammed, Z.; Anderson, D.M.; Aschenauer, E.C.; Atchison, J. Search for the chiral magnetic effect in Au+Au collisions at = 27 GeV with the STAR forward event plane detectors. Phys. Lett. B 2023, 839, 137779. [Google Scholar] [CrossRef]
- Adam, J.; Adamczyk, L.; Adams, J.R.; Adkins, J.K.; Agakishiev, G.; Aggarwal, M.M.; Ahammed, Z.; Alekseev, I.; Anderson, D.M.; Aoyama, R.; et al. Bulk properties of the system formed in Au + Au collisions at = 14.5 GeV at the BNL STAR detector. Phys. Rev. C 2020, 101, 024905. [Google Scholar] [CrossRef]
- Helmut, S. Limits of confinement: The first 15 years of ultra-relativistic heavy ion studies. Nucl. Phys. A 2003, 715, 3c–19c. [Google Scholar]
- Back, B.B.; Baker, M.D.; Ballintijn, M.; Barton, D.S.; Becker, B.; Betts, R.R.; Bickley, A.A.; Bindel, R.; Budzanowski, A.; Busza, W.; et al. The PHOBOS perspective on discoveries at RHIC. Nucl. Phys. A 2005, 757, 28–101. [Google Scholar] [CrossRef]
- Aamodt, K.; Abelev, B.; Quintana, A.A.; Adamová, D.; Adare, A.M.; Aggarwal, M.M.; Rinella, G.A.; Agocs, A.G.; Salazar, S.A.; Ahammed, Z.; et al. Elliptic flow of charged particles in Pb-Pb collisions at 2.76 TeV. Phys. Rev. Lett. 2010, 105, 252302. [Google Scholar] [CrossRef] [PubMed]
- Aamodt, K.; Abelev, B.; Quintana, A.A.; Adamová, D.; Adare, A.M.; Aggarwal, M.M.; Rinella, G.A.; Agocs, A.G.; Salazar, S.A.; Ahammed, Z.; et al. Charged-particle multiplicity density at mid-rapidity in central Pb-Pb collisions at = 2.76 TeV. Phys. Rev. Lett. 2010, 105, 252301. [Google Scholar] [CrossRef]
- Aamodt, K.; Quintana, A.A.; Adamová, D.; Adare, A.M.; Aggarwal, M.M.; Rinella, G.A.; Agocs, A.G.; Salazar, S.A.; Ahammed, Z.; Ahmad, N.; et al. Centrality dependence of the charged-particle multiplicity density at mid-rapidity in Pb-Pb collisions at = 2.76 TeV. Phys. Rev. Lett. 2011, 106, 032301. [Google Scholar] [CrossRef]
- Aamodt, K.; Abelev, B.; Quintana, A.A.; Adamová, D.; Adare, A.M.; Aggarwal, M.M.; Rinella, G.A.; Agocs, A.G.; Agostinelli, A.; Salazar, S.A.; et al. Higher harmonic anisotropic flow measurements of charged particles in Pb-Pb collisions at = 2.76 TeV. Phys. Rev. Lett. 2011, 107, 032301. [Google Scholar] [CrossRef]
- Adler, S.S.; Afanasiev, S.; Aidala, C.; Ajitanand, N.N.; Akiba, Y.; Alexander, J.; Amirikas, R.; Aphecetche, L.; Aronson, S.H.; Averbeck, R.; et al. Identified charged particle spectra and yields in Au+Au collisions at = 200 GeV. Phys. Rev. C 2004, 69, 034909. [Google Scholar] [CrossRef]
- Van Hove, L. Multiplicity dependence of pt spectrum as a possible signal for a phase transition in hadronic collisions. Phys. Lett. B 1982, 118, 138–140. [Google Scholar] [CrossRef]
- Andronic, A.; Braun-Munzinger, P.; Stachel, J. Hadron production in central nucleus-nucleus collisions at chemical freeze-out. Nucl. Phys. A 2006, 772, 167–199. [Google Scholar] [CrossRef]
- Cleymans, J.; Oeschler, H.; Redlich, K.; Wheaton, S. Comparison of chemical freeze-out criteria in heavy-ion collisions. Phys. Rev. C 2006, 73, 034905. [Google Scholar] [CrossRef]
- Andronic, A.; Braun-Munzinger, P.; Stachel, J. Thermal hadron production in relativistic nuclear collisions. Acta Phys. Pol. B 2009, 40, 1005–1012. [Google Scholar]
- Andronic, A.; Braun-Munzinger, P.; Stachel, J. The horn, the hadron mass spectrum and the QCD phase diagram: The statistical model of hadron production in central nucleus-nucleus collisions. Nucl. Phys. A 2010, 834, 237c–240c. [Google Scholar] [CrossRef]
- Redlich, K.; Cleymans, J.; Oeschler, H.; Tounsi, A. Particle production and equilibration in heavy ion collisions. Acta Phys. Polon. B 2002, 33, 1609–1628. [Google Scholar]
- Wheaton, S.; Cleymans, J.; Hauer, M. THERMUS: A thermal model package for ROOT. Comput. Phys. Commun. 2009, 180, 84–106. [Google Scholar] [CrossRef]
- Andronic, A.; Beutler, F.; Braun-Munzinger, P.; Redlich, K.; Stachel, J. Statistical hadronization of heavy flavor quarks in elementary collisions: Successes and failures. Phys. Lett. B 2009, 678, 350–354. [Google Scholar] [CrossRef]
- Aduszkiewicz, A.; Ali, Y.; Andronov, E.; Antićić, T.; Baatar, B.; Baszczyk, M.; Bhosale, S.; Blondel, A.; Bogomilov, M.; Brandin, A.; et al. Measurements of π±, K±, p and spectra in proton–proton interactions at 20, 31, 40, 80 and 158 GeV/c with the NA61/SHINE spectrometer at the CERN SPS. Eur. Phys. J. C 2017, 77, 671. [Google Scholar] [CrossRef]
- Cleymans, J.; Worku, D. Relativistic thermodynamics: Transverse momentum distributions in high-energy physics. Eur. Phys. J. A 2012, 48, 160. [Google Scholar] [CrossRef]
- Abelev, B.I.; Adams, J.; Aggarwal, M.M.; Ahammed, Z.; Amonett, J.; Anderson, B.D.; Anderson, M.; Arkhipkin, D.; Averichev, G.S.; Bai, Y.; et al. Strange particle production in p + p collisions at = 200 GeV. Phys. Rev. C 2007, 75, 064901. [Google Scholar] [CrossRef]
- Tsallis, C. Possible generalization of Boltzmann-Gibbs statistics. J. Stat. Phys. 1988, 52, 479–487. [Google Scholar] [CrossRef]
- Biro, T.S.; Purcsel, G.; Urmossy, K. Non-extensive approach to quark matter. Eur. Phys. J. A 2009, 40, 325–340. [Google Scholar] [CrossRef]
- Zheng, H.; Zhu, L.L.; Bonasera, A. Systematic analysis of hadron spectra in p + p collisions using Tsallis distributions. Phys. Rev. D 2015, 92, 074009. [Google Scholar] [CrossRef]
- Zheng, H.; Zhu, L.L. Can Tsallis distribution fit all the particle spectra produced at RHIC and LHC? Adv. High Energy Phys. 2015, 2015, 180491. [Google Scholar] [CrossRef]
- Wang, X.N.; Hwa, R.C. The effect of jet production on the multiplicity dependence of average transverse momentum. Phys. Rev. D 1989, 39, 187–194. [Google Scholar] [CrossRef] [PubMed]
- Sjöstrand, T.; van Zijl, M. A multiple-interaction model for the event structure in hadron collisions. Phys. Rev. D 1987, 36, 2019–2041. [Google Scholar] [CrossRef]
- Parvan, A.S. Non-extensive statistics effects in transverse momentum spectra of hadrons. arXiv 2015, arXiv:1502.01581. [Google Scholar]
- Rath, R.; Khuntia, A.; Sahoo, R.; Cleymans, J. Event multiplicity, transverse momentum and energy dependence of charged particle production, and system thermodynamics in pp collisions at the Large Hadron Collider. J. Phys. G 2020, 47, 055111. [Google Scholar] [CrossRef]
- Schnedermann, E.; Sollfrank, J.; Heinz, U. Thermal phenomenology of hadrons from 200A GeV S+S collisions. Phys. Rev. C 1993, 48, 2462–2475. [Google Scholar] [CrossRef]
- Hagedorn, R. Multiplicities, pT distributions and the expected hadron ⟶ quark-gluon phase transition. Riv. Nuovo Cimento 1983, 6, 1–50. [Google Scholar] [CrossRef]
- Adamczyk, L.; Adkins, J.K.; Agakishiev, G.; Aggarwal, M.M.; Ahammed, Z.; Ajitanand, N.N.; Alekseev, I.; Anderson, D.M.; Aoyama, R.; Aparin, A.; et al. Bulk properties of the medium produced in relativistic heavy-ion collisions from the beam energy scan program. Phys. Rev. C 2017, 96, 044904. [Google Scholar] [CrossRef]
- Braun-Munzinger, P.; Stachel, J.; Wessels, J.P.; Xu, N. Thermal equilibration and expansion in nucleus-nucleus collisions at the AGS. Phys. Lett. B 1995, 344, 43–48. [Google Scholar] [CrossRef]
- Andronic, A.; Braun-Munzinger, P.; Stachel, J. Thermal hadron production in relativistic nuclear collisions: The hadron mass spectrum, the horn, and the QCD phase transition. Phys. Lett. B 2009, 673, 142–145. [Google Scholar] [CrossRef]
- Abelev, B.I.; Aggarwal, M.M.; Ahammed, Z.; Anderson, B.D.; Arkhipkin, D.; Averichev, G.S.; Bai, Y.; Balewski, J.; Barannikova, O.; Barnby, L.S.; et al. Systematic measurements of identified particle spectra in pp, d+Au and Au+Au collisions from STAR. Phys. Rev. C 2009, 79, 034909. [Google Scholar] [CrossRef]
- Cleymans, J.; Oeschler, H.; Redlich, K. Influence of impact parameter on thermal description of relativistic heavy ion collisions at (1–2)A GeV. Phys. Rev. C 1999, 59, 1663–1673. [Google Scholar] [CrossRef]
- Braun-Munzinger, P.; Heppe, I.; Stachel, J. Chemical equilibration in Pb+Pb collisions at the SPS. Phys. Lett. B 1999, 465, 15–20. [Google Scholar] [CrossRef]
- Manninen, J.; Becattini, F. Chemical freeze-out in ultra-relativistic heavy ion collisions at = 130 and 200 GeV. Phys. Rev. C 2008, 78, 054901. [Google Scholar] [CrossRef]
- Andronic, A.; Braun-Munzinger, P.; Redlich, K. Decoding the phase structure of QCD via particle production at high energy. Nature 2018, 561, 321–330. [Google Scholar] [CrossRef]
- Koch, P.; Rafelski, J.; Greiner, W. Strange hadron in hot nuclear matter. Phys. Lett. B 1983, 123, 321–330. [Google Scholar] [CrossRef]
- Braun-Munzinger, P.; Magestro, D.; Redlich, K.; Stachel, J. Hadron production in Au-Au collisions at RHIC. Phys. Lett. B 2001, 518, 41–46. [Google Scholar] [CrossRef]
- Lao, H.-L.; Gao, Y.-Q.; Liu, F.-H. Energy dependent chemical potentials of light particles and quarks from yield ratios of antiparticles to particles in high energy collisions. Universe 2019, 5, 152. [Google Scholar] [CrossRef]
- Lao, H.-L.; Gao, Y.-Q.; Liu, F.-H. Light particle and quark chemical potentials from negatively to positively charged particle yield ratios corrected by removing strong and weak decays. Adv. High Energy Phys. 2020, 2020, 5064737. [Google Scholar] [CrossRef]
- Gardim, F.G.; Giacalone, G.; Luzum, M.; Ollitrault, J.Y. Thermodynamics of hot strong-interaction matter from ultrarelativistic nuclear collisions. Nat. Phys. 2020, 16, 615–619. [Google Scholar] [CrossRef]
- Waqas, M.; Peng, G.-X.; Ajaz, M.; Haj Ismail, A.; Wazir, Z.; Li, L.-L. Extraction of different temperatures and kinetic freeze-out volume in high energy collisions. J. Phys. G 2022, 49, 095102. [Google Scholar] [CrossRef]
- Gutay, L.J.; Hirsch, A.S.; Pajares, C.; Scharenberg, R.P.; Srivastava, B.K. De-confinement in small systems: Clustering of color sources in high multiplicity p collisions at = 1.8 TeV. Int. J. Mod. Phys. E 2015, 24, 1550101. [Google Scholar] [CrossRef]
- Scharenberg, R.P.; Srivastava, B.K.; Pajares, C. Exploring the initial stage of high multiplicity proton–proton collisions by determining the initial temperature of the quark-gluon plasma. Phys. Rev. D 2019, 100, 114040. [Google Scholar] [CrossRef]
- Sahoo, P.; De, S.; Tiwari, S.K.; Sahoo, R. Energy and centrality dependent study of deconfinement phase transition in a color string percolation approach at RHIC energies. Eur. Phys. J. A 2018, 54, 136. [Google Scholar] [CrossRef]
- Yu, N.; Luo, X.F. Particle decay from statistical thermal model in high-energy nucleus-nucleus collisions. Eur. Phys. J. A 2019, 55, 26. [Google Scholar] [CrossRef]
- Biyajima, M.; Kaneyama, M.; Mizoguchi, T.; Wilk, G. Analyses of kt distributions at RHIC by means of some selected statistical and stochastic models. Eur. Phys. J. C 2005, 40, 243–250. [Google Scholar] [CrossRef]
- Cleymans, J.; Hamar, G.; Levai, P.; Wheaton, S. Near-thermal equilibrium with Tsallis distributions in heavy-ion collisions. J. Phys. G 2009, 36, 064018. [Google Scholar] [CrossRef]
- Shao, M.; Yi, L.; Tang, Z.B.; Chen, H.F.; Li, C.; Xu, Z.B. Examination of the species and beam energy dependence of particle spectra using Tsallis statistics. J. Phys. G 2010, 37, 085104. [Google Scholar] [CrossRef]
- Wong, C.-Y.; Wilk, G.; Cirto, L.J.L.; Tsallis, C. From QCD-based hard-scattering to nonextensive statistical mechanical descriptions of transverse momentum spectra in high-energy pp and p collisions. Phys. Rev. D 2015, 91, 114027. [Google Scholar] [CrossRef]
- Hui, J.-Q.; Jiang, Z.-J.; Xu, D.-F. A description of the transverse momentum distributions of charged particles produced in heavy ion collisions at RHIC and LHC energies. Adv. High Energy Phys. 2018, 2018, 7682325. [Google Scholar] [CrossRef]
- Tripathy, S.; Tiwari, S.K.; Younus, M.; Sahoo, R. Elliptic flow in Pb+Pb collisions at = 2.76 TeV at the LHC using Boltzmann transport equation with non-extensive statistics. Eur. Phys. J. A 2018, 54, 38. [Google Scholar] [CrossRef]
- Rybczyński, M.; Włodarczyk, Z. Tsallis statistics approach to the transverse momentum distributions in p-p collisions. Eur. Phys. J. C 2014, 74, 2785. [Google Scholar] [CrossRef]
- Zhang, S.; Ma, Y.G.; Chen, J.H.; Zhong, C. Beam energy dependence of Hanbury-Brown-Twiss radii from a blast-wave model. Adv. High Energy Phys. 2016, 2016, 9414239. [Google Scholar] [CrossRef]
- Hogg, R.V.; McKean, J.W.; Craig, A.T. Introduction to Mathematical Statistics, 8th ed.; Pearson: Boston, MA, USA, 2018. [Google Scholar]














Disclaimer/Publisher’s Note: The statements, opinions and data contained in all publications are solely those of the individual author(s) and contributor(s) and not of MDPI and/or the editor(s). MDPI and/or the editor(s) disclaim responsibility for any injury to people or property resulting from any ideas, methods, instructions or products referred to in the content. |
© 2023 by the authors. Licensee MDPI, Basel, Switzerland. This article is an open access article distributed under the terms and conditions of the Creative Commons Attribution (CC BY) license (https://creativecommons.org/licenses/by/4.0/).
Share and Cite
Yang, P.-P.; Liu, F.-H.; Olimov, K.K. Rapidity and Energy Dependencies of Temperatures and Volume Extracted from Identified Charged Hadron Spectra in Proton–Proton Collisions at a Super Proton Synchrotron (SPS). Entropy 2023, 25, 1571. https://doi.org/10.3390/e25121571
Yang P-P, Liu F-H, Olimov KK. Rapidity and Energy Dependencies of Temperatures and Volume Extracted from Identified Charged Hadron Spectra in Proton–Proton Collisions at a Super Proton Synchrotron (SPS). Entropy. 2023; 25(12):1571. https://doi.org/10.3390/e25121571
Chicago/Turabian StyleYang, Pei-Pin, Fu-Hu Liu, and Khusniddin K. Olimov. 2023. "Rapidity and Energy Dependencies of Temperatures and Volume Extracted from Identified Charged Hadron Spectra in Proton–Proton Collisions at a Super Proton Synchrotron (SPS)" Entropy 25, no. 12: 1571. https://doi.org/10.3390/e25121571
APA StyleYang, P.-P., Liu, F.-H., & Olimov, K. K. (2023). Rapidity and Energy Dependencies of Temperatures and Volume Extracted from Identified Charged Hadron Spectra in Proton–Proton Collisions at a Super Proton Synchrotron (SPS). Entropy, 25(12), 1571. https://doi.org/10.3390/e25121571

