Quantum Phase Transitions in a Generalized Dicke Model
Abstract
1. Introduction
2. Hamiltonian
3. Mean-Field Approach
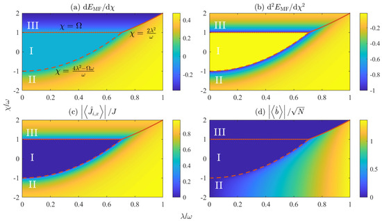
- When the spin–boson coupling strength is held constant, the critical spin–spin interaction strength that distinguishes Phase I from Phase II is given by . In the case of , the generalized Dicke model is reduced to the coupled-top model, with a critical point . In the coupled-top model, it is well-known that a strong ferromagnetic spin–spin interaction () is required to observe the ferromagnetic phase, where two spin ensembles prefer to align in parallel along the x axis. From this perspective, Phase II corresponds to the ferromagnetic phase, as . The spin–boson coupling promotes the formation of the ferromagnetic phase by significantly reducing the ferromagnetic spin–spin interaction strength required to induce the phase transition. The ferromagnetic phase persists even in the presence of antiferromagnetic spin–spin interaction (), provided that is sufficiently large;
- When the spin–spin interaction strength is held constant, the critical spin–boson coupling strength that distinguishes Phase I from Phase II is given by . In the case of , the generalized Dicke model is reduced to the original Dicke model, with a critical point . In the original Dicke model, it is well-known that a strong spin–boson coupling () is required to observe the superradiant phase, where macroscopic excitations of the bosonic field emerge. From this perspective, Phase II corresponds to the superradiant phase, as indicated by . The antiferromagnetic spin–spin interaction () hinders the formation of the superradiance, whereas the ferromagnetic spin–spin interaction () promotes the formation of the superradiant phase.
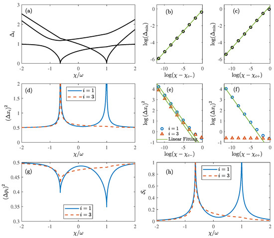
4. Beyond the Mean-Field Approach
5. Conclusions
Author Contributions
Funding
Institutional Review Board Statement
Data Availability Statement
Conflicts of Interest
Appendix A. Symplectic Transformation and Covariance Matrix
References
- Dicke, R.H. Coherence in Spontaneous Radiation Processes. Phys. Rev. 1954, 93, 99–110. [Google Scholar] [CrossRef]
- Scully, M.O.; Zubairy, M.S. Quantum Optics; Cambridge University Press: Cambridge, UK, 1997. [Google Scholar] [CrossRef]
- Braak, D. Integrability of the Rabi Model. Phys. Rev. Lett. 2011, 107, 100401. [Google Scholar] [CrossRef] [PubMed]
- Chen, Q.H.; Wang, C.; He, S.; Liu, T.; Wang, K.L. Exact solvability of the quantum Rabi model using Bogoliubov operators. Phys. Rev. A 2012, 86, 023822. [Google Scholar] [CrossRef]
- Kirton, P.; Roses, M.M.; Keeling, J.; Dalla Torre, E.G. Introduction to the Dicke Model: From Equilibrium to Nonequilibrium, and Vice Versa. Adv. Quantum Technol. 2019, 2, 1800043. [Google Scholar] [CrossRef]
- Garraway, B.M. The Dicke model in quantum optics: Dicke model revisited. Philos. Trans. R. Soc. A Math. Eng. Sci. 2011, 369, 1137–1155. [Google Scholar] [CrossRef]
- Roses, M.M.; Dalla Torre, E.G. Dicke model. PLoS ONE 2020, 15, e0235197. [Google Scholar] [CrossRef]
- Hepp, K.; Lieb, E.H. Equilibrium Statistical Mechanics of Matter Interacting with the Quantized Radiation Field. Phys. Rev. A 1973, 8, 2517–2525. [Google Scholar] [CrossRef]
- Wang, Y.K.; Hioe, F.T. Phase Transition in the Dicke Model of Superradiance. Phys. Rev. A 1973, 7, 831–836. [Google Scholar] [CrossRef]
- Emary, C.; Brandes, T. Quantum Chaos Triggered by Precursors of a Quantum Phase Transition: The Dicke Model. Phys. Rev. Lett. 2003, 90, 044101. [Google Scholar] [CrossRef]
- Emary, C.; Brandes, T. Chaos and the quantum phase transition in the Dicke model. Phys. Rev. E 2003, 67, 066203. [Google Scholar] [CrossRef]
- Larson, J.; Irish, E.K. Some remarks on ‘superradiant’ phase transitions in light-matter systems. J. Phys. Math. Theor. 2017, 50, 174002. [Google Scholar] [CrossRef]
- Chen, Q.H.; Zhang, Y.Y.; Liu, T.; Wang, K.L. Numerically exact solution to the finite-size Dicke model. Phys. Rev. A 2008, 78, 051801. [Google Scholar] [CrossRef]
- Shen, L.; Shi, Z.; Yang, Z.; Wu, H.; Zhong, Z.; Zheng, S. A similarity of quantum phase transition and quench dynamics in the Dicke model beyond the thermodynamic limit. EPJ Quantum Technol. 2020, 7, 1. [Google Scholar] [CrossRef]
- Sachdev, S. Quantum Phase Transitions, 2nd ed.; Cambridge University Press: Cambridge, UK, 2011. [Google Scholar] [CrossRef]
- Baumann, K.; Guerlin, C.; Brennecke, F.; Esslinger, T. Dicke quantum phase transition with a superfluid gas in an optical cavity. Nature 2010, 464, 1301–1306. [Google Scholar] [CrossRef]
- Keeling, J.; Bhaseen, M.J.; Simons, B.D. Collective Dynamics of Bose-Einstein Condensates in Optical Cavities. Phys. Rev. Lett. 2010, 105, 043001. [Google Scholar] [CrossRef]
- Cai, M.L.; Liu, Z.D.; Zhao, W.D.; Wu, Y.K.; Mei, Q.X.; Jiang, Y.; He, L.; Zhang, X.; Zhou, Z.C.; Duan, L.M. Observation of a quantum phase transition in the quantum Rabi model with a single trapped ion. Nat. Commun. 2021, 12, 1126. [Google Scholar] [CrossRef]
- Cejnar, P.; Stránský, P.; Macek, M.; Kloc, M. Excited-state quantum phase transitions. J. Phys. Math. Theor. 2021, 54, 133001. [Google Scholar] [CrossRef]
- Brandes, T. Excited-state quantum phase transitions in Dicke superradiance models. Phys. Rev. E 2013, 88, 032133. [Google Scholar] [CrossRef]
- Wang, Q.; Pérez-Bernal, F. Signatures of excited-state quantum phase transitions in quantum many-body systems: Phase space analysis. Phys. Rev. E 2021, 104, 034119. [Google Scholar] [CrossRef]
- Bastidas, V.M.; Emary, C.; Regler, B.; Brandes, T. Nonequilibrium Quantum Phase Transitions in the Dicke Model. Phys. Rev. Lett. 2012, 108, 043003. [Google Scholar] [CrossRef]
- Link, V.; Strunz, W.T. Dynamical Phase Transitions in Dissipative Quantum Dynamics with Quantum Optical Realization. Phys. Rev. Lett. 2020, 125, 143602. [Google Scholar] [CrossRef] [PubMed]
- Chávez-Carlos, J.; López-del Carpio, B.; Bastarrachea-Magnani, M.A.; Stránský, P.; Lerma-Hernández, S.; Santos, L.F.; Hirsch, J.G. Quantum and Classical Lyapunov Exponents in Atom-Field Interaction Systems. Phys. Rev. Lett. 2019, 122, 024101. [Google Scholar] [CrossRef] [PubMed]
- Villaseñor, D.; Pilatowsky-Cameo, S.; Bastarrachea-Magnani, M.A.; Lerma-Hernández, S.; Santos, L.F.; Hirsch, J.G. Chaos and Thermalization in the Spin-Boson Dicke Model. Entropy 2023, 25, 8. [Google Scholar] [CrossRef] [PubMed]
- Zhu, C.J.; Ping, L.L.; Yang, Y.P.; Agarwal, G.S. Squeezed Light Induced Symmetry Breaking Superradiant Phase Transition. Phys. Rev. Lett. 2020, 124, 073602. [Google Scholar] [CrossRef]
- Shen, L.T.; Tang, C.Q.; Shi, Z.; Wu, H.; Yang, Z.B.; Zheng, S.B. Squeezed-light-induced quantum phase transition in the Jaynes-Cummings model. Phys. Rev. A 2022, 106, 023705. [Google Scholar] [CrossRef]
- Yang, J.; Shi, Z.; Yang, Z.B.; tuo Shen, L.; Zheng, S.B. First-order quantum phase transition in the squeezed Rabi model. Phys. Scr. 2023, 98, 045107. [Google Scholar] [CrossRef]
- Baksic, A.; Ciuti, C. Controlling Discrete and Continuous Symmetries in “Superradiant” Phase Transitions with Circuit QED Systems. Phys. Rev. Lett. 2014, 112, 173601. [Google Scholar] [CrossRef]
- Buijsman, W.; Gritsev, V.; Sprik, R. Nonergodicity in the Anisotropic Dicke Model. Phys. Rev. Lett. 2017, 118, 080601. [Google Scholar] [CrossRef]
- Bastarrachea-Magnani, M.A.; Lerma-Hernández, S.; Hirsch, J.G. Thermal and quantum phase transitions in atom-field systems: A microcanonical analysis. J. Stat. Mech. Theory Exp. 2016, 2016, 093105. [Google Scholar] [CrossRef]
- Liu, M.; Chesi, S.; Ying, Z.J.; Chen, X.; Luo, H.G.; Lin, H.Q. Universal Scaling and Critical Exponents of the Anisotropic Quantum Rabi Model. Phys. Rev. Lett. 2017, 119, 220601. [Google Scholar] [CrossRef]
- Fan, J.; Yang, Z.; Zhang, Y.; Ma, J.; Chen, G.; Jia, S. Hidden continuous symmetry and Nambu-Goldstone mode in a two-mode Dicke model. Phys. Rev. A 2014, 89, 023812. [Google Scholar] [CrossRef]
- Mei, Q.X.; Li, B.W.; Wu, Y.K.; Cai, M.L.; Wang, Y.; Yao, L.; Zhou, Z.C.; Duan, L.M. Experimental Realization of the Rabi-Hubbard Model with Trapped Ions. Phys. Rev. Lett. 2022, 128, 160504. [Google Scholar] [CrossRef] [PubMed]
- Greentree, A.D.; Tahan, C.; Cole, J.H.; Hollenberg, L.C.L. Quantum phase transitions of light. Nat. Phys. 2006, 2, 856–861. [Google Scholar] [CrossRef]
- Schiró, M.; Bordyuh, M.; Öztop, B.; Türeci, H.E. Phase Transition of Light in Cavity QED Lattices. Phys. Rev. Lett. 2012, 109, 053601. [Google Scholar] [CrossRef]
- Zheng, H.; Takada, Y. Importance of counter-rotating coupling in the superfluid-to-Mott-insulator quantum phase transition of light in the Jaynes-Cummings lattice. Phys. Rev. A 2011, 84, 043819. [Google Scholar] [CrossRef]
- Xu, Y.; Pu, H. Emergent Universality in a Quantum Tricritical Dicke Model. Phys. Rev. Lett. 2019, 122, 193201. [Google Scholar] [CrossRef]
- Zhang, Y.Y.; Hu, Z.X.; Fu, L.; Luo, H.G.; Pu, H.; Zhang, X.F. Quantum Phases in a Quantum Rabi Triangle. Phys. Rev. Lett. 2021, 127, 063602. [Google Scholar] [CrossRef]
- Fallas Padilla, D.; Pu, H.; Cheng, G.J.; Zhang, Y.Y. Understanding the Quantum Rabi Ring Using Analogies to Quantum Magnetism. Phys. Rev. Lett. 2022, 129, 183602. [Google Scholar] [CrossRef]
- Zhao, J.; Hwang, M.J. Frustrated Superradiant Phase Transition. Phys. Rev. Lett. 2022, 128, 163601. [Google Scholar] [CrossRef]
- Sedov, D.D.; Kozin, V.K.; Iorsh, I.V. Chiral Waveguide Optomechanics: First Order Quantum Phase Transitions with Z3 Symmetry Breaking. Phys. Rev. Lett. 2020, 125, 263606. [Google Scholar] [CrossRef]
- Ricco, L.S.; Kozin, V.K.; Seridonio, A.C.; Shelykh, I.A. Reshaping the Jaynes-Cummings ladder with Majorana bound states. Phys. Rev. A 2022, 106, 023702. [Google Scholar] [CrossRef]
- Herrera Romero, R.; Bastarrachea-Magnani, M.A.; Linares, R. Critical Phenomena in Light-Matter Systems with Collective Matter Interactions. Entropy 2022, 24, 1198. [Google Scholar] [CrossRef] [PubMed]
- Hines, A.P.; McKenzie, R.H.; Milburn, G.J. Quantum entanglement and fixed-point bifurcations. Phys. Rev. A 2005, 71, 042303. [Google Scholar] [CrossRef]
- Mondal, D.; Sinha, S.; Sinha, S. Chaos and quantum scars in a coupled top model. Phys. Rev. E 2020, 102, 020101. [Google Scholar] [CrossRef]
- Mondal, D.; Sinha, S.; Sinha, S. Dynamical route to ergodicity and quantum scarring in kicked coupled top. Phys. Rev. E 2021, 104, 024217. [Google Scholar] [CrossRef]
- Mondal, D.; Sinha, S.; Sinha, S. Quantum transitions, ergodicity, and quantum scars in the coupled top model. Phys. Rev. E 2022, 105, 014130. [Google Scholar] [CrossRef]
- Bakemeier, L.; Alvermann, A.; Fehske, H. Quantum phase transition in the Dicke model with critical and noncritical entanglement. Phys. Rev. A 2012, 85, 043821. [Google Scholar] [CrossRef]
- Peng, J.; Rico, E.; Zhong, J.; Solano, E.; Egusquiza, I.n.L. Unified superradiant phase transitions. Phys. Rev. A 2019, 100, 063820. [Google Scholar] [CrossRef]
- Zhuang, W.F.; Geng, B.; Luo, H.G.; Guo, G.C.; Gong, M. Universality class and exact phase boundary in the superradiant phase transition. Phys. Rev. A 2021, 104, 053308. [Google Scholar] [CrossRef]
- Nataf, P.; Dogan, M.; Le Hur, K. Heisenberg uncertainty principle as a probe of entanglement entropy: Application to superradiant quantum phase transitions. Phys. Rev. A 2012, 86, 043807. [Google Scholar] [CrossRef]
- Wang, C.; Zhang, Y.Y.; Chen, Q.H. Quantum correlations in collective spin systems. Phys. Rev. A 2012, 85, 052112. [Google Scholar] [CrossRef]
- Dusuel, S.; Vidal, J. Continuous unitary transformations and finite-size scaling exponents in the Lipkin-Meshkov-Glick model. Phys. Rev. B 2005, 71, 224420. [Google Scholar] [CrossRef]
- Soldati, R.R.; Mitchison, M.T.; Landi, G.T. Multipartite quantum correlations in a two-mode Dicke model. Phys. Rev. A 2021, 104, 052423. [Google Scholar] [CrossRef]
- Duan, L.; Wang, Y.Z.; Chen, Q.H. Quantum phase transitions in the triangular coupled-top model. Phys. Rev. B 2023, 107, 094415. [Google Scholar] [CrossRef]
- Holstein, T.; Primakoff, H. Field Dependence of the Intrinsic Domain Magnetization of a Ferromagnet. Phys. Rev. 1940, 58, 1098–1113. [Google Scholar] [CrossRef]
- Serafini, A. Quantum Continuous Variables; CRC Press: London, UK, 2017. [Google Scholar]
- de Magalhaes, A.R.B.; dAvila Fonseca, C.H.; Nemes, M.C. Classical and quantum coupled oscillators: Symplectic structure. Phys. Scr. 2006, 74, 472. [Google Scholar] [CrossRef]
- Eisert, J.; Cramer, M.; Plenio, M.B. Colloquium: Area laws for the entanglement entropy. Rev. Mod. Phys. 2010, 82, 277–306. [Google Scholar] [CrossRef]
- Adesso, G.; Illuminati, F. Entanglement in continuous-variable systems: Recent advances and current perspectives. J. Phys. A Math. Theor. 2007, 40, 7821–7880. [Google Scholar] [CrossRef]
- Lambert, N.; Emary, C.; Brandes, T. Entanglement and the Phase Transition in Single-Mode Superradiance. Phys. Rev. Lett. 2004, 92, 073602. [Google Scholar] [CrossRef]
- Vidal, J.; Dusuel, S. Finite-size scaling exponents in the Dicke model. Europhys. Lett. 2006, 74, 817. [Google Scholar] [CrossRef]
- Hwang, M.J.; Puebla, R.; Plenio, M.B. Quantum Phase Transition and Universal Dynamics in the Rabi Model. Phys. Rev. Lett. 2015, 115, 180404. [Google Scholar] [CrossRef] [PubMed]


Disclaimer/Publisher’s Note: The statements, opinions and data contained in all publications are solely those of the individual author(s) and contributor(s) and not of MDPI and/or the editor(s). MDPI and/or the editor(s) disclaim responsibility for any injury to people or property resulting from any ideas, methods, instructions or products referred to in the content. |
© 2023 by the authors. Licensee MDPI, Basel, Switzerland. This article is an open access article distributed under the terms and conditions of the Creative Commons Attribution (CC BY) license (https://creativecommons.org/licenses/by/4.0/).
Share and Cite
Liu, W.; Duan, L. Quantum Phase Transitions in a Generalized Dicke Model. Entropy 2023, 25, 1492. https://doi.org/10.3390/e25111492
Liu W, Duan L. Quantum Phase Transitions in a Generalized Dicke Model. Entropy. 2023; 25(11):1492. https://doi.org/10.3390/e25111492
Chicago/Turabian StyleLiu, Wen, and Liwei Duan. 2023. "Quantum Phase Transitions in a Generalized Dicke Model" Entropy 25, no. 11: 1492. https://doi.org/10.3390/e25111492
APA StyleLiu, W., & Duan, L. (2023). Quantum Phase Transitions in a Generalized Dicke Model. Entropy, 25(11), 1492. https://doi.org/10.3390/e25111492

