Phase and Amplitude Modes in the Anisotropic Dicke Model with Matter Interactions
Abstract
1. Introduction
2. Anisotropic Dicke Hamiltonian with Matter Interactions
3. Phase and Amplitude Modes in the Anisotropic Dicke Model
3.1. Deformed Normal Phases
3.2. Superradiant Phases
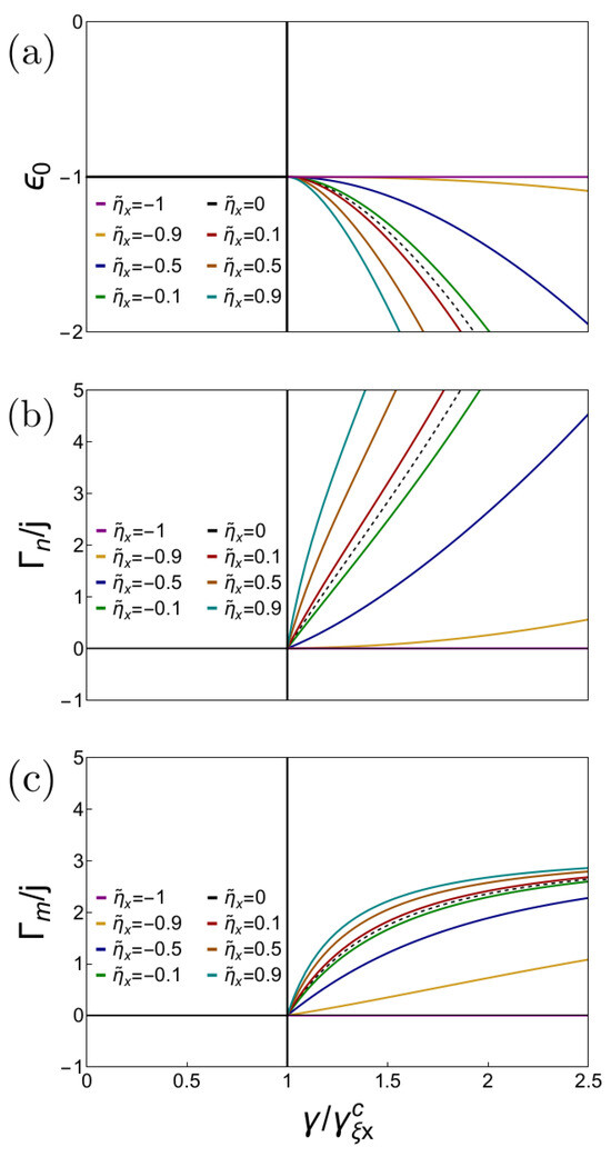
3.3. Deformed Phase
4. Role of Matter–Matter Interactions
4.1. Absence of Matter–Matter Interactions
4.2. Presence of Matter–Matter Interactions
5. Geometric Phase in Presence of Matter Interactions
6. Discussion and Conclusions
Author Contributions
Funding
Data Availability Statement
Conflicts of Interest
Abbreviations
| AH | Anderson–Higgs |
| HPT | Holstein–Primakoff Transformation |
| LMG | Lipking–Meshkov–Glick |
| NG | Nambu–Goldstone |
| QPT | Quantum Phase Transition |
| TC | Tavis–Cummings |
References
- Anderson, P.W. Plasmons, Gauge Invariance, and Mass. Phys. Rev. 1963, 130, 439–442. [Google Scholar] [CrossRef]
- Higgs, P.W. Broken Symmetries and the Masses of Gauge Bosons. Phys. Rev. Lett. 1964, 13, 508–509. [Google Scholar] [CrossRef]
- Goldstone, J. Field theories with “Superconductor” solutions. Nuovo C. (1955–1965) 1961, 19, 154–164. [Google Scholar] [CrossRef]
- Nambu, Y.; Jona-Lasinio, G. Dynamical Model of Elementary Particles Based on an Analogy with Superconductivity. II. Phys. Rev. 1961, 124, 246–254. [Google Scholar] [CrossRef]
- Littlewood, P.B.; Varma, C.M. Gauge-Invariant Theory of the Dynamical Interaction of Charge Density Waves and Superconductivity. Phys. Rev. Lett. 1981, 47, 811–814. [Google Scholar] [CrossRef]
- Littlewood, P.B.; Varma, C.M. Amplitude collective modes in superconductors and their coupling to charge-density waves. Phys. Rev. B 1982, 26, 4883–4893. [Google Scholar] [CrossRef]
- Varma, C.M. Higgs Boson in Superconductors. J. Low Temp. Phys. 2002, 126, 901–909. [Google Scholar] [CrossRef]
- Pekker, D.; Varma, C. Amplitude/Higgs Modes in Condensed Matter Physics. Annu. Rev. Condens. Matter Phys. 2015, 6, 269–297. [Google Scholar] [CrossRef]
- Méasson, M.A.; Gallais, Y.; Cazayous, M.; Clair, B.; Rodière, P.; Cario, L.; Sacuto, A. Amplitude Higgs mode in the 2H-NbSe2 superconductor. Phys. Rev. B 2014, 89, 060503. [Google Scholar] [CrossRef]
- Chubukov, A.V.; Sachdev, S.; Ye, J. Theory of two-dimensional quantum Heisenberg antiferromagnets with a nearly critical ground state. Phys. Rev. B 1994, 49, 11919–11961. [Google Scholar] [CrossRef]
- Podolsky, D.; Sachdev, S. Spectral functions of the Higgs mode near two-dimensional quantum critical points. Phys. Rev. B 2012, 86, 054508. [Google Scholar] [CrossRef]
- Rüegg, C.; Normand, B.; Matsumoto, M.; Furrer, A.; McMorrow, D.F.; Krämer, K.W.; Güdel, H.U.; Gvasaliya, S.N.; Mutka, H.; Boehm, M. Quantum Magnets under Pressure: Controlling Elementary Excitations in TlCuCl3. Phys. Rev. Lett. 2008, 100, 205701. [Google Scholar] [CrossRef]
- Englert, F.; Brout, R. Broken Symmetry and the Mass of Gauge Vector Mesons. Phys. Rev. Lett. 1964, 13, 321–323. [Google Scholar] [CrossRef]
- Guralnik, G.S.; Hagen, C.R.; Kibble, T.W.B. Global Conservation Laws and Massless Particles. Phys. Rev. Lett. 1964, 13, 585–587. [Google Scholar] [CrossRef]
- Bernstein, J. Spontaneous symmetry breaking, gauge theories, the Higgs mechanism and all that. Rev. Mod. Phys. 1974, 46, 7–48. [Google Scholar] [CrossRef]
- Sachdev, S. Quantum Phase Transitions; Cambridge University Press: Cambridge, UK, 1999. [Google Scholar]
- Carr, L.D. Understanding Quantum Phase Transitions; CRC Press: Boca Raton, FL, USA, 2010. [Google Scholar]
- Baksic, A.; Ciuti, C. Controlling Discrete and Continuous Symmetries in “Superradiant” Phase Transitions with Circuit QED Systems. Phys. Rev. Lett. 2014, 112, 173601. [Google Scholar] [CrossRef] [PubMed]
- Yi-Xiang, Y.; Ye, J.; Liu, W.M. Goldstone and Higgs modes of photons inside a cavity. Sci. Rep. 2013, 3, 3476. [Google Scholar] [CrossRef]
- Bissbort, U.; Götze, S.; Li, Y.; Heinze, J.; Krauser, J.S.; Weinberg, M.; Becker, C.; Sengstock, K.; Hofstetter, W. Detecting the Amplitude Mode of Strongly Interacting Lattice Bosons by Bragg Scattering. Phys. Rev. Lett. 2011, 106, 205303. [Google Scholar] [CrossRef]
- Endres, M.; Fukuhara, T.; Pekker, D.; Cheneau, M.; Schauβ, P.; Gross, C.; Demler, E.; Kuhr, S.; Bloch, I. The ‘Higgs’ amplitude mode at the two-dimensional superfluid/Mott insulator transition. Nature 2012, 487, 454–458. [Google Scholar] [CrossRef]
- Léonard, J.; Morales, A.; Zupancic, P.; Donner, T.; Esslinger, T. Monitoring and manipulating Higgs and Goldstone modes in a supersolid quantum gas. Science 2017, 358, 1415–1418. [Google Scholar] [CrossRef]
- Chiacchio, E.I.R.; Nunnenkamp, A. Emergence of continuous rotational symmetries in ultracold atoms coupled to optical cavities. Phys. Rev. A 2018, 98, 023617. [Google Scholar] [CrossRef]
- Schuster, S.C.; Wolf, P.; Ostermann, S.; Slama, S.; Zimmermann, C. Supersolid Properties of a Bose-Einstein Condensate in a Ring Resonator. Phys. Rev. Lett. 2020, 124, 143602. [Google Scholar] [CrossRef] [PubMed]
- Hepp, K.; Lieb, E.H. On the superradiant phase transition for molecules in a quantized radiation field: The dicke maser model. Ann. Phys. 1973, 76, 360–404. [Google Scholar] [CrossRef]
- Wang, Y.K.; Hioe, F.T. Phase Transition in the Dicke Model of Superradiance. Phys. Rev. A 1973, 7, 831–836. [Google Scholar] [CrossRef]
- Larson, J.; Irish, E.K. Some remarks on ‘superradiant’ phase transitions in light-matter systems. J. Phys. A Math. Theor. 2017, 50, 174002. [Google Scholar] [CrossRef]
- Dicke, R.H. Coherence in Spontaneous Radiation Processes. Phys. Rev. 1954, 93, 99–110. [Google Scholar] [CrossRef]
- Garraway, B.M. The Dicke model in quantum optics: Dicke model revisited. Philos. Trans. R. Soc. A Math. Phys. Eng. Sci. 2011, 369, 1137–1155. [Google Scholar] [CrossRef] [PubMed]
- Kirton, P.; Roses, M.M.; Keeling, J.; Dalla Torre, E.G. Introduction to the Dicke Model: From Equilibrium to Nonequilibrium, and Vice Versa. Adv. Quantum Technol. 2019, 2, 1800043. [Google Scholar] [CrossRef]
- Le Boité, A. Theoretical Methods for Ultrastrong Light–Matter Interactions. Adv. Quantum Technol. 2020, 3, 1900140. [Google Scholar] [CrossRef]
- Larson, J.; Mavrogordatos, T. The Jaynes-Cummings Model and Its Descendants; IOP Publishing: London, UK, 2021. [Google Scholar] [CrossRef]
- Lambert, N.; Emary, C.; Brandes, T. Entanglement and the Phase Transition in Single-Mode Superradiance. Phys. Rev. Lett. 2004, 92, 073602. [Google Scholar] [CrossRef]
- Brandes, T. Coherent and collective quantum optical effects in mesoscopic systems. Phys. Rep. 2005, 408, 315–474. [Google Scholar] [CrossRef]
- Vidal, J.; Dusuel, S. Finite-size scaling exponents in the Dicke model. EPL Europhys. Lett. 2006, 74, 817. [Google Scholar] [CrossRef]
- Villaseñor, D.; Pilatowsky-Cameo, S.; Bastarrachea-Magnani, M.A.; Lerma-Hernández, S.; Santos, L.F.; Hirsch, J.G. Chaos and Thermalization in the Spin-Boson Dicke Model. Entropy 2023, 25, 8. [Google Scholar] [CrossRef] [PubMed]
- de Aguiar, M.A.M.; Furuya, K.; Lewenkopf, C.H.; Nemes, M.C. Particle-Spin Coupling in a Chaotic System: Localization-Delocalization in the Husimi Distributions. EPL Europhys. Lett. 1991, 15, 125. [Google Scholar] [CrossRef]
- de Aguiar, M.; Furuya, K.; Lewenkopf, C.; Nemes, M. Chaos in a spin-boson system: Classical analysis. Ann. Phys. 1992, 216, 291–312. [Google Scholar] [CrossRef]
- Furuya, K.; de Aguiar, M.; Lewenkopf, C.; Nemes, M. Husimi distributions of a spin-boson system and the signatures of its classical dynamics. Ann. Phys. 1992, 216, 313–322. [Google Scholar] [CrossRef]
- Bastarrachea-Magnani, M.A.; López-del-Carpio, B.; Lerma-Hernández, S.; Hirsch, J.G. Chaos in the Dicke model: Quantum and semiclassical analysis. Phys. Scr. 2015, 90, 068015. [Google Scholar] [CrossRef]
- Pérez-Fernández, P.; Relaño, A.; Arias, J.M.; Cejnar, P.; Dukelsky, J.; García-Ramos, J.E. Excited-state phase transition and onset of chaos in quantum optical models. Phys. Rev. E 2011, 83, 046208. [Google Scholar] [CrossRef] [PubMed]
- Stránský, P.; Macek, M.; Cejnar, P. Excited-state quantum phase transitions in systems with two degrees of freedom: Level density, level dynamics, thermal properties. Ann. Phys. 2014, 345, 73–97. [Google Scholar] [CrossRef]
- Stránský, P.; Macek, M.; Leviatan, A.; Cejnar, P. Excited-state quantum phase transitions in systems with two degrees of freedom: II. Finite-size effects. Ann. Phys. 2015, 356, 57–82. [Google Scholar] [CrossRef]
- Cejnar, P.; Stránský, P.; Macek, M.; Kloc, M. Excited-state quantum phase transitions. J. Phys. A Math. Theor. 2021, 54, 133001. [Google Scholar] [CrossRef]
- Bastidas, V.M.; Emary, C.; Regler, B.; Brandes, T. Nonequilibrium Quantum Phase Transitions in the Dicke Model. Phys. Rev. Lett. 2012, 108, 043003. [Google Scholar] [CrossRef] [PubMed]
- Kloc, M.; Stránský, P.; Cejnar, P. Quantum quench dynamics in Dicke superradiance models. Phys. Rev. A 2018, 98, 013836. [Google Scholar] [CrossRef]
- Shen, L.; Shi, Z.; Yang, Z.; Wu, H.; Zhong, Z.; Zheng, S. A similarity of quantum phase transition and quench dynamics in the Dicke model beyond the thermodynamic limit. EPJ Quantum Technol. 2020, 7, 1. [Google Scholar] [CrossRef]
- Forn-Díaz, P.; Lamata, L.; Rico, E.; Kono, J.; Solano, E. Ultrastrong coupling regimes of light-matter interaction. Rev. Mod. Phys. 2019, 91, 025005. [Google Scholar] [CrossRef]
- Frisk Kockum, A.; Miranowicz, A.; De Liberato, S.; Savasta, S.; Nori, F. Ultrastrong coupling between light and matter. Nat. Rev. Phys. 2019, 1, 19–40. [Google Scholar] [CrossRef]
- Peraca, N.M.; Baydin, A.; Gao, W.; Bamba, M.; Kono, J. Chapter Three—Ultrastrong light–matter coupling in semiconductors. In Semiconductor Quantum Science and Technology; Cundiff, S.T., Kira, M., Eds.; Elsevier: Amsterdam, The Netherlands, 2020; Volume 105, pp. 89–151. [Google Scholar] [CrossRef]
- Nagy, D.; Kónya, G.; Szirmai, G.; Domokos, P. Dicke-Model Phase Transition in the Quantum Motion of a Bose-Einstein Condensate in an Optical Cavity. Phys. Rev. Lett. 2010, 104, 130401. [Google Scholar] [CrossRef] [PubMed]
- Liu, N.; Lian, J.; Ma, J.; Xiao, L.; Chen, G.; Liang, J.Q.; Jia, S. Light-shift-induced quantum phase transitions of a Bose-Einstein condensate in an optical cavity. Phys. Rev. A 2011, 83, 033601. [Google Scholar] [CrossRef]
- Yuan, J.B.; Lu, W.J.; Song, Y.J.; Kuang, L.M. Single-impurity-induced Dicke quantum phase transition in a cavity-Bose-Einstein condensate. Sci. Rep. 2017, 7, 7404. [Google Scholar] [CrossRef]
- Jaako, T.; Xiang, Z.L.; Garcia-Ripoll, J.J.; Rabl, P. Ultrastrong-coupling phenomena beyond the Dicke model. Phys. Rev. A 2016, 94, 033850. [Google Scholar] [CrossRef]
- Yang, W.J.; Wang, X.B. Ultrastrong-coupling quantum-phase-transition phenomena in a few-qubit circuit QED system. Phys. Rev. A 2017, 95, 043823. [Google Scholar] [CrossRef]
- De Bernardis, D.; Jaako, T.; Rabl, P. Cavity quantum electrodynamics in the nonperturbative regime. Phys. Rev. A 2018, 97, 043820. [Google Scholar] [CrossRef]
- Pilar, P.; De Bernardis, D.; Rabl, P. Thermodynamics of ultrastrongly coupled light-matter systems. Quantum 2020, 4, 335. [Google Scholar] [CrossRef]
- Auerbach, N.; Zelevinsky, V. Super-radiant dynamics, doorways and resonances in nuclei and other open mesoscopic systems. Rep. Prog. Phys. 2011, 74, 106301. [Google Scholar] [CrossRef]
- Cong, K.; Zhang, Q.; Wang, Y.; Noe, G.T.; Belyanin, A.; Kono, J. Dicke superradiance in solids. J. Opt. Soc. Am. B 2016, 33, C80–C101. [Google Scholar] [CrossRef]
- Hagenmüller, D.; Ciuti, C. Cavity QED of the Graphene Cyclotron Transition. Phys. Rev. Lett. 2012, 109, 267403. [Google Scholar] [CrossRef] [PubMed]
- Chirolli, L.; Polini, M.; Giovannetti, V.; MacDonald, A.H. Drude Weight, Cyclotron Resonance, and the Dicke Model of Graphene Cavity QED. Phys. Rev. Lett. 2012, 109, 267404. [Google Scholar] [CrossRef] [PubMed]
- Scheibner, M.; Schmidt, T.; Worschech, L.; Forchel, A.; Bacher, G.; Passow, T.; Hommel, D. Superradiance of quantum dots. Nat. Phys. 2007, 3, 106–110. [Google Scholar] [CrossRef]
- Blais, A.; Huang, R.S.; Wallraff, A.; Girvin, S.M.; Schoelkopf, R.J. Cavity quantum electrodynamics for superconducting electrical circuits: An architecture for quantum computation. Phys. Rev. A 2004, 69, 062320. [Google Scholar] [CrossRef]
- Casanova, J.; Romero, G.; Lizuain, I.; García-Ripoll, J.J.; Solano, E. Deep Strong Coupling Regime of the Jaynes-Cummings Model. Phys. Rev. Lett. 2010, 105, 263603. [Google Scholar] [CrossRef]
- Mezzacapo, A.; Las Heras, U.; Pedernales, J.S.; DiCarlo, L.; Solano, E.; Lamata, L. Digital Quantum Rabi and Dicke Models in Superconducting Circuits. Sci. Rep. 2014, 4, 7482. [Google Scholar] [CrossRef] [PubMed]
- Dimer, F.; Estienne, B.; Parkins, A.S.; Carmichael, H.J. Proposed realization of the Dicke-model quantum phase transition in an optical cavity QED system. Phys. Rev. A 2007, 75, 013804. [Google Scholar] [CrossRef]
- Baden, M.P.; Arnold, K.J.; Grimsmo, A.L.; Parkins, S.; Barrett, M.D. Realization of the Dicke Model Using Cavity-Assisted Raman Transitions. Phys. Rev. Lett. 2014, 113, 020408. [Google Scholar] [CrossRef] [PubMed]
- Schneble, D.; Torii, Y.; Boyd, M.; Streed, E.W.; Pritchard, D.E.; Ketterle, W. The Onset of Matter-Wave Amplification in a Superradiant Bose-Einstein Condensate. Science 2003, 300, 475–478. [Google Scholar] [CrossRef] [PubMed]
- Baumann, K.; Guerlin, C.; Brennecke, F.; Esslinger, T. Dicke quantum phase transition with a superfluid gas in an optical cavity. Nature 2010, 464, 1301–1306. [Google Scholar] [CrossRef] [PubMed]
- Baumann, K.; Mottl, R.; Brennecke, F.; Esslinger, T. Exploring Symmetry Breaking at the Dicke Quantum Phase Transition. Phys. Rev. Lett. 2011, 107, 140402. [Google Scholar] [CrossRef] [PubMed]
- Klinder, J.; Keßler, H.; Wolke, M.; Mathey, L.; Hemmerich, A. Dynamical phase transition in the open Dicke model. Proc. Natl. Acad. Sci. USA 2015, 112, 3290–3295. [Google Scholar] [CrossRef] [PubMed]
- Keeling, J.; Bhaseen, M.J.; Simons, B.D. Collective Dynamics of Bose-Einstein Condensates in Optical Cavities. Phys. Rev. Lett. 2010, 105, 043001. [Google Scholar] [CrossRef] [PubMed]
- Zhang, X.; Chen, Y.; Wu, Z.; Wang, J.; Fan, J.; Deng, S.; Wu, H. Observation of a superradiant quantum phase transition in an intracavity degenerate Fermi gas. Science 2021, 373, 1359–1362. [Google Scholar] [CrossRef]
- Helson, V.; Zwettler, T.; Mivehvar, F.; Colella, E.; Roux, K.; Konishi, H.; Ritsch, H.; Brantut, J.P. Density-wave ordering in a unitary Fermi gas with photon-mediated interactions. Nature 2023, 618, 716–720. [Google Scholar] [CrossRef]
- Mivehvar, F.; Ostermann, S.; Piazza, F.; Ritsch, H. Driven-Dissipative Supersolid in a Ring Cavity. Phys. Rev. Lett. 2018, 120, 123601. [Google Scholar] [CrossRef] [PubMed]
- Mivehvar, F.; Piazza, F.; Donner, T.; Ritsch, H. Cavity QED with quantum gases: New paradigms in many-body physics. Adv. Phys. 2021, 70, 1–153. [Google Scholar] [CrossRef]
- Tavis, M.; Cummings, F.W. Exact Solution for an N-Molecule—Radiation-Field Hamiltonian. Phys. Rev. 1968, 170, 379–384. [Google Scholar] [CrossRef]
- Bastarrachea-Magnani, M.A.; Lerma-Hernández, S.; Hirsch, J.G. Comparative quantum and semiclassical analysis of atom-field systems. I. Density of states and excited-state quantum phase transitions. Phys. Rev. A 2014, 89, 032101. [Google Scholar] [CrossRef]
- Emary, C.; Brandes, T. Quantum Chaos Triggered by Precursors of a Quantum Phase Transition: The Dicke Model. Phys. Rev. Lett. 2003, 90, 044101. [Google Scholar] [CrossRef] [PubMed]
- Emary, C.; Brandes, T. Chaos and the quantum phase transition in the Dicke model. Phys. Rev. E 2003, 67, 066203. [Google Scholar] [CrossRef] [PubMed]
- Mottl, R.; Brennecke, F.; Baumann, K.; Landig, R.; Donner, T.; Esslinger, T. Roton-Type Mode Softening in a Quantum Gas with Cavity-Mediated Long-Range Interactions. Science 2012, 336, 1570–1573. [Google Scholar] [CrossRef] [PubMed]
- Eastham, P.R.; Littlewood, P.B. Bose condensation of cavity polaritons beyond the linear regime: The thermal equilibrium of a model microcavity. Phys. Rev. B 2001, 64, 235101. [Google Scholar] [CrossRef]
- Hopfield, J.J. Theory of the Contribution of Excitons to the Complex Dielectric Constant of Crystals. Phys. Rev. 1958, 112, 1555–1567. [Google Scholar] [CrossRef]
- Carusotto, I.; Ciuti, C. Quantum fluids of light. Rev. Mod. Phys. 2013, 85, 299–366. [Google Scholar] [CrossRef]
- Ciuti, C.; Bastard, G.; Carusotto, I. Quantum vacuum properties of the intersubband cavity polariton field. Phys. Rev. B 2005, 72, 115303. [Google Scholar] [CrossRef]
- Bastarrachea-Magnani, M.A.; Hirsch, J.G. Numerical solutions of the Dicke Hamiltonian. Rev. Mex. Fis. S 2011, 57, 69. [Google Scholar]
- Liu, T.; Zhang, Y.Y.; Chen, Q.H.; Wang, K.L. Large-N scaling behavior of the ground-state energy, fidelity, and the order parameter in the Dicke model. Phys. Rev. A 2009, 80, 023810. [Google Scholar] [CrossRef]
- Fan, J.; Yang, Z.; Zhang, Y.; Ma, J.; Chen, G.; Jia, S. Hidden continuous symmetry and Nambu-Goldstone mode in a two-mode Dicke model. Phys. Rev. A 2014, 89, 023812. [Google Scholar] [CrossRef]
- Ivanov, P.A.; Singer, K.; Vitanov, N.V.; Porras, D. Quantum Sensors Assisted by Spontaneous Symmetry Breaking for Detecting Very Small Forces. Phys. Rev. Appl. 2015, 4, 054007. [Google Scholar] [CrossRef]
- Buijsman, W.; Gritsev, V.; Sprik, R. Nonergodicity in the Anisotropic Dicke Model. Phys. Rev. Lett. 2017, 118, 080601. [Google Scholar] [CrossRef] [PubMed]
- Liu, M.; Chesi, S.; Ying, Z.J.; Chen, X.; Luo, H.G.; Lin, H.Q. Universal Scaling and Critical Exponents of the Anisotropic Quantum Rabi Model. Phys. Rev. Lett. 2017, 119, 220601. [Google Scholar] [CrossRef] [PubMed]
- Shapiro, D.S.; Pogosov, W.V.; Lozovik, Y.E. Universal fluctuations and squeezing in a generalized Dicke model near the superradiant phase transition. Phys. Rev. A 2020, 102, 023703. [Google Scholar] [CrossRef]
- Bastarrachea-Magnani, M.A.; Lerma-Hernández, S.; Hirsch, J.G. Thermal and quantum phase transitions in atom-field systems: A microcanonical analysis. J. Stat. Mech. Theory Exp. 2016, 2016, 093105. [Google Scholar] [CrossRef]
- Kloc, M.; Stránský, P.; Cejnar, P. Quantum phases and entanglement properties of an extended Dicke model. Ann. Phys. 2017, 382, 85–111. [Google Scholar] [CrossRef]
- Das, P.; Sharma, A. Revisiting the phase transitions of the Dicke model. Phys. Rev. A 2022, 105, 033716. [Google Scholar] [CrossRef]
- Das, P.; Bhakuni, D.S.; Sharma, A. Phase transitions of the anisotropic Dicke model. Phys. Rev. A 2023, 107, 043706. [Google Scholar] [CrossRef]
- Bhaseen, M.J.; Mayoh, J.; Simons, B.D.; Keeling, J. Dynamics of nonequilibrium Dicke models. Phys. Rev. A 2012, 85, 013817. [Google Scholar] [CrossRef]
- Ferri, F.; Rosa-Medina, R.; Finger, F.; Dogra, N.; Soriente, M.; Zilberberg, O.; Donner, T.; Esslinger, T. Emerging Dissipative Phases in a Superradiant Quantum Gas with Tunable Decay. Phys. Rev. X 2021, 11, 041046. [Google Scholar] [CrossRef]
- Soriente, M.; Donner, T.; Chitra, R.; Zilberberg, O. Dissipation-Induced Anomalous Multicritical Phenomena. Phys. Rev. Lett. 2018, 120, 183603. [Google Scholar] [CrossRef] [PubMed]
- Stitely, K.C.; Giraldo, A.; Krauskopf, B.; Parkins, S. Nonlinear semiclassical dynamics of the unbalanced, open Dicke model. Phys. Rev. Res. 2020, 2, 033131. [Google Scholar] [CrossRef]
- Emary, C.; Brandes, T. Phase transitions in generalized spin-boson (Dicke) models. Phys. Rev. A 2004, 69, 053804. [Google Scholar] [CrossRef]
- Ivanov, P.A.; Porras, D.; Ivanov, S.S.; Schmidt-Kaler, F. Simulation of the Jahn–Teller–Dicke magnetic structural phase transition with trapped ions. J. Phys. B At. Mol. Opt. Phys. 2013, 46, 104003. [Google Scholar] [CrossRef]
- Hayn, M.; Emary, C.; Brandes, T. Phase transitions and dark-state physics in two-color superradiance. Phys. Rev. A 2011, 84, 053856. [Google Scholar] [CrossRef]
- Moodie, R.I.; Ballantine, K.E.; Keeling, J. Generalized classes of continuous symmetries in two-mode Dicke models. Phys. Rev. A 2018, 97, 033802. [Google Scholar] [CrossRef]
- Palacino, R.; Keeling, J. Atom-only theories for U(1) symmetric cavity-QED models. Phys. Rev. Res. 2021, 3, L032016. [Google Scholar] [CrossRef]
- Hwang, M.J.; Plenio, M.B. Quantum Phase Transition in the Finite Jaynes-Cummings Lattice Systems. Phys. Rev. Lett. 2016, 117, 123602. [Google Scholar] [CrossRef] [PubMed]
- Cordero, S.; Nahmad-Achar, E.; López-Peña, R.; Castaños, O. Quantum phase diagrams of matter-field Hamiltonians I: Fidelity, Bures distance, and entanglement. Phys. Scr. 2021, 96, 035104. [Google Scholar] [CrossRef]
- López-Peña, R.; Cordero, S.; Nahmad-Achar, E.; Castaños, O. Quantum phase diagrams of matter-field Hamiltonians II: Wigner function analysis. Phys. Scr. 2021, 96, 035103. [Google Scholar] [CrossRef]
- Li, X.; Bamba, M.; Yuan, N.; Zhang, Q.; Zhao, Y.; Xiang, M.; Xu, K.; Jin, Z.; Ren, W.; Ma, G.; et al. Observation of Dicke cooperativity in magnetic interactions. Science 2018, 361, 794–797. [Google Scholar] [CrossRef] [PubMed]
- Bamba, M.; Li, X.; Marquez Peraca, N.; Kono, J. Magnonic superradiant phase transition. Commun. Phys. 2022, 5, 3. [Google Scholar] [CrossRef]
- Marquez Peraca, N.; Li, X.; Moya, J.M.; Hayashida, K.; Kim, D.; Ma, X.; Neubauer, K.J.; Fallas Padilla, D.; Huang, C.L.; Dai, P.; et al. Quantum simulation of an extended Dicke model with a magnetic solid. Commun. Mater. 2024, 5, 42. [Google Scholar] [CrossRef]
- Lee, C.F.; Johnson, N.F. First-Order Superradiant Phase Transitions in a Multiqubit Cavity System. Phys. Rev. Lett. 2004, 93, 083001. [Google Scholar] [CrossRef] [PubMed]
- Chen, G.; Wang, X.; Liang, J.Q.; Wang, Z.D. Exotic quantum phase transitions in a Bose-Einstein condensate coupled to an optical cavity. Phys. Rev. A 2008, 78, 023634. [Google Scholar] [CrossRef]
- Chen, Q.H.; Liu, T.; Zhang, Y.Y.; Wang, K.L. Quantum phase transitions in coupled two-level atoms in a single-mode cavity. Phys. Rev. A 2010, 82, 053841. [Google Scholar] [CrossRef]
- Rodríguez-Lara, B.M.; Lee, R.K. Classical dynamics of a two-species condensate driven by a quantum field. Phys. Rev. E 2011, 84, 016225. [Google Scholar] [CrossRef] [PubMed]
- Zhao, X.Q.; Liu, N.; Liang, J.Q. First-Order Quantum Phase Transition for Dicke Model Induced by Atom-Atom Interaction. Commun. Theor. Phys. 2017, 67, 511. [Google Scholar] [CrossRef]
- Rodriguez, J.P.J.; Chilingaryan, S.A.; Rodríguez-Lara, B.M. Critical phenomena in an extended Dicke model. Phys. Rev. A 2018, 98, 043805. [Google Scholar] [CrossRef]
- Yang, L.P.; Jacob, Z. Quantum critical detector: Amplifying weak signals using discontinuous quantum phase transitions. Opt. Express 2019, 27, 10482–10494. [Google Scholar] [CrossRef] [PubMed]
- Chen, G.; Zhao, D.; Chen, Z. Quantum phase transition for the Dicke model with the dipole–dipole interactions. J. Phys. B At. Mol. Opt. Phys. 2006, 39, 3315–3320. [Google Scholar] [CrossRef]
- Nie, J.; Huang, X.; Yi, X. Critical properties of entanglement in the Dicke model with the dipole–dipole interactions. Opt. Commun. 2009, 282, 1478–1481. [Google Scholar] [CrossRef]
- Robles Robles, R.A.; Chilingaryan, S.A.; Rodríguez-Lara, B.M.; Lee, R.K. Ground state in the finite Dicke model for interacting qubits. Phys. Rev. A 2015, 91, 033819. [Google Scholar] [CrossRef]
- Herrera Romero, R.; Bastarrachea-Magnani, M.A.; Linares, R. Critical Phenomena in Light–Matter Systems with Collective Matter Interactions. Entropy 2022, 24, 1198. [Google Scholar] [CrossRef] [PubMed]
- Liu, W.; Duan, L. Quantum Phase Transitions in a Generalized Dicke Model. Entropy 2023, 25, 1492. [Google Scholar] [CrossRef]
- Sinha, S.; Sinha, S. Chaos and Quantum Scars in Bose-Josephson Junction Coupled to a Bosonic Mode. Phys. Rev. Lett. 2020, 125, 134101. [Google Scholar] [CrossRef]
- Wang, Q. Quantum Chaos in the Extended Dicke Model. Entropy 2022, 24, 1415. [Google Scholar] [CrossRef] [PubMed]
- Román-Roche, J.; Gómez-León, A.; Luis, F.; Zueco, D. Cavity QED materials: Comparison and validation of two linear response theories at arbitrary light-matter coupling strengths. arXiv 2024, arXiv:2406.11971. [Google Scholar]
- Román-Roche, J.; Gómez-León, A.; Luis, F.; Zueco, D. Linear response theory for cavity QED materials. arXiv 2024, arXiv:2406.11957. [Google Scholar]
- Hirsch, J.G.; Castaños, O.; López-Peña, R.; Nahmad-Achar, E. Virtues and limitations of the truncated Holstein-Primakoff description of quantum rotors. Phys. Scr. 2013, 87, 038106. [Google Scholar] [CrossRef]
- Berry, M.V. Quantal phase factors accompanying adiabatic changes. Proc. R. Soc. London. A. Math. Phys. Sci. 1984, 392, 45–57. [Google Scholar] [CrossRef]
- Berry, M.V. Classical adiabatic angles and quantal adiabatic phase. J. Phys. A Math. Gen. 1985, 18, 15. [Google Scholar] [CrossRef]
- Carollo, A.C.M.; Pachos, J.K. Geometric Phases and Criticality in Spin-Chain Systems. Phys. Rev. Lett. 2005, 95, 157203. [Google Scholar] [CrossRef]
- Pachos, J.K.; Carollo, A.C. Geometric phases and criticality in spin systems. Philos. Trans. R. Soc. A Math. Phys. Eng. Sci. 2006, 364, 3463–3476. [Google Scholar] [CrossRef] [PubMed]
- Reuter, M.E.; Hartmann, M.J.; Plenio, M.B. Geometric phases and critical phenomena in a chain of interacting spins. Proc. R. Soc. A Math. Phys. Eng. Sci. 2007, 463, 1271–1285. [Google Scholar] [CrossRef]
- Peng, X.; Wu, S.; Li, J.; Suter, D.; Du, J. Observation of the Ground-State Geometric Phase in a Heisenberg XY Model. Phys. Rev. Lett. 2010, 105, 240405. [Google Scholar] [CrossRef]
- Leek, P.J.; Fink, J.M.; Blais, A.; Bianchetti, R.; Göppl, M.; Gambetta, J.M.; Schuster, D.I.; Frunzio, L.; Schoelkopf, R.J.; Wallraff, A. Observation of Berry’s Phase in a Solid-State Qubit. Science 2007, 318, 1889–1892. [Google Scholar] [CrossRef] [PubMed]
- Zhang, Z.; Wang, T.; Xiang, L.; Yao, J.; Wu, J.; Yin, Y. Measuring the Berry phase in a superconducting phase qubit by a shortcut to adiabaticity. Phys. Rev. A 2017, 95, 042345. [Google Scholar] [CrossRef]
- Plastina, F.; Liberti, G.; Carollo, A. Scaling of Berry’s phase close to the Dicke quantum phase transition. Europhys. Lett. 2006, 76, 182. [Google Scholar] [CrossRef]
- Chen, G.; Li, J.; Liang, J.Q. Critical property of the geometric phase in the Dicke model. Phys. Rev. A 2006, 74, 054101. [Google Scholar] [CrossRef]
- Carollo, A.; Valenti, D.; Spagnolo, B. Geometry of quantum phase transitions. Phys. Rep. 2020, 838, 1–72. [Google Scholar] [CrossRef]
- Guerra, C.A.E.; Mahecha-Gómez, J.; Hirsch, J.G. Quantum phase transition and Berry phase in an extended Dicke model. Eur. Phys. J. D 2020, 74, 200. [Google Scholar] [CrossRef]
- Lu, W.; Zhai, C.; Liu, Y.; Song, Y.; Yuan, J.; Tang, S. Berry Phase of Two Impurity Qubits as a Signature of Dicke Quantum Phase Transition. Photonics 2022, 9, 844. [Google Scholar] [CrossRef]
- Li, S.C.; Liu, H.L.; Zhao, X.Y. Quantum phase transition and geometric phase in a coupled cavity-BEC system. Eur. Phys. J. D 2013, 67, 250. [Google Scholar] [CrossRef]
- Chen, G.; Chen, Z.; Liang, J.Q. Ground-state properties for coupled Bose-Einstein condensates inside a cavity quantum electrodynamics. Europhys. Lett. (EPL) 2007, 80, 40004. [Google Scholar] [CrossRef]
- Sinha, S.; Sinha, S. Dissipative Bose-Josephson junction coupled to bosonic baths. Phys. Rev. E 2019, 100, 032115. [Google Scholar] [CrossRef]
- Joshi, A.; Puri, R.R.; Lawande, S.V. Effect of dipole interaction and phase-interrupting collisions on the collapse-and-revival phenomenon in the Jaynes-Cummings model. Phys. Rev. A 1991, 44, 2135–2140. [Google Scholar] [CrossRef] [PubMed]
- Abdel-Rady, A.S.; Hassan, S.S.A.; Osman, A.N.A.; Salah, A. Evolution of Extended JC-Dicke Quantum Phase Transition with a Coupled Optical Cavity in Bose-Einstein Condensate System. Int. J. Theor. Phys. 2017, 56, 3655–3666. [Google Scholar] [CrossRef]
- Salah, A.; Abdel-Rady, A.S.; Osman, A.N.A.; Hassan, S.S.A. Enhancing quantum phase transitions in the critical point of Extended TC-Dicke model via Stark effect. Sci. Rep. 2018, 8, 11633. [Google Scholar] [CrossRef] [PubMed]
- Tian, L. Circuit QED and Sudden Phase Switching in a Superconducting Qubit Array. Phys. Rev. Lett. 2010, 105, 167001. [Google Scholar] [CrossRef] [PubMed]
- Zhang, Y.; Yu, L.; Liang, J.Q.; Chen, G.; Jia, S.; Nori, F. Quantum phases in circuit QED with a superconducting qubit array. Sci. Rep. 2014, 4, 4083. [Google Scholar] [CrossRef] [PubMed]
- Bastarrachea-Magnani, M.A.; Lerma-Hernández, S.; Hirsch, J.G. Comparative quantum and semiclassical analysis of atom-field systems. II. Chaos and regularity. Phys. Rev. A 2014, 89, 032102. [Google Scholar] [CrossRef]
- Chávez-Carlos, J.; Bastarrachea-Magnani, M.A.; Lerma-Hernández, S.; Hirsch, J.G. Classical chaos in atom-field systems. Phys. Rev. E 2016, 94, 022209. [Google Scholar] [CrossRef] [PubMed]
- Zhang, W.M.; Feng, D.H.; Gilmore, R. Coherent states: Theory and some applications. Rev. Mod. Phys. 1990, 62, 867–927. [Google Scholar] [CrossRef]
- Gilmore, R. Catastrophe Theory for Scientists and Engineers; Dover Publications: New York, NY, USA, 1993. [Google Scholar]
- Castaños, O.; Nahmad-Achar, E.; López-Peña, R.; Hirsch, J.G. Superradiant phase in field-matter interactions. Phys. Rev. A 2011, 84, 013819. [Google Scholar] [CrossRef]
- Lipkin, H.J.; Meshkov, N.; Glick, A. Validity of many-body approximation methods for a solvable model: (I). Exact solutions and perturbation theory. Nucl. Phys. 1965, 62, 188–198. [Google Scholar] [CrossRef]
- Meshkov, N.; Glick, A.J.; Lipkin, H.J. Validity of many-body approximation methods for a solvable model: (II). Linearization procedures. Nucl. Phys. 1965, 62, 199–210. [Google Scholar] [CrossRef]
- Glick, A.J.; Lipkin, H.J.; Meshkov, N. Validity of many-body approximation methods for a solvable model: (III). Diagram summations. Nucl. Phys. 1965, 62, 211–224. [Google Scholar] [CrossRef]
- Dusuel, S.; Vidal, J. Finite-Size Scaling Exponents of the Lipkin-Meshkov-Glick Model. Phys. Rev. Lett. 2004, 93, 237204. [Google Scholar] [CrossRef] [PubMed]
- Dusuel, S.; Vidal, J. Continuous unitary transformations and finite-size scaling exponents in the Lipkin-Meshkov-Glick model. Phys. Rev. B 2005, 71, 224420. [Google Scholar] [CrossRef]
- Castaños, O.; López-Peña, R.; Hirsch, J.G.; López-Moreno, E. Classical and quantum phase transitions in the Lipkin-Meshkov-Glick model. Phys. Rev. B 2006, 74, 104118. [Google Scholar] [CrossRef]
- Heiss, W.D.; Scholtz, F.G.; Geyer, H.B. The large N behaviour of the Lipkin model and exceptional points. J. Phys. A Math. Gen. 2005, 38, 1843. [Google Scholar] [CrossRef]
- Leyvraz, F.; Heiss, W.D. Large-N Scaling Behavior of the Lipkin-Meshkov-Glick Model. Phys. Rev. Lett. 2005, 95, 050402. [Google Scholar] [CrossRef] [PubMed]
- Heiss, W.D. On the thermodynamic limit of the Lipkin model. J. Phys. A Math. Gen. 2006, 39, 10081. [Google Scholar] [CrossRef]
- Ribeiro, P.; Vidal, J.; Mosseri, R. Exact spectrum of the Lipkin-Meshkov-Glick model in the thermodynamic limit and finite-size corrections. Phys. Rev. E 2008, 78, 021106. [Google Scholar] [CrossRef] [PubMed]
- Engelhardt, G.; Bastidas, V.M.; Kopylov, W.; Brandes, T. Excited-state quantum phase transitions and periodic dynamics. Phys. Rev. A 2015, 91, 013631. [Google Scholar] [CrossRef]
- García-Ramos, J.E.; Pérez-Fernández, P.; Arias, J.M. Excited-state quantum phase transitions in a two-fluid Lipkin model. Phys. Rev. C 2017, 95, 054326. [Google Scholar] [CrossRef]
- Holstein, T.; Primakoff, H. Field Dependence of the Intrinsic Domain Magnetization of a Ferromagnet. Phys. Rev. 1940, 58, 1098–1113. [Google Scholar] [CrossRef]
- Bakemeier, L.; Alvermann, A.; Fehske, H. Dynamics of the Dicke model close to the classical limit. Phys. Rev. A 2013, 88, 043835. [Google Scholar] [CrossRef]
- Goldstein, H.; Poole, C.P.; Safko, J. Classical Mechanics, 3rd ed.; Addison-Wesley: Reader, MA, USA, 2001. [Google Scholar]
- Huang, J.F.; Tian, L. Modulation-based superradiant phase transition in the strong-coupling regime. Phys. Rev. A 2023, 107, 063713. [Google Scholar] [CrossRef]
- Deng, Y.; Yi, S. Self-ordered supersolid phase beyond Dicke superradiance in a ring cavity. Phys. Rev. Res. 2023, 5, 013002. [Google Scholar] [CrossRef]
- Fuentes-Guridi, I.; Carollo, A.; Bose, S.; Vedral, V. Vacuum Induced Spin-1/2 Berry’s Phase. Phys. Rev. Lett. 2002, 89, 220404. [Google Scholar] [CrossRef] [PubMed]
- Carollo, A.; França Santos, M.; Vedral, V. Berry’s phase in cavity QED: Proposal for observing an effect of field quantization. Phys. Rev. A 2003, 67, 063804. [Google Scholar] [CrossRef]
- Carollo, A.; Fuentes-Guridi, I.; França Santos, M.; Vedral, V. Spin-1/2 Geometric Phase Driven by Decohering Quantum Fields. Phys. Rev. Lett. 2004, 92, 020402. [Google Scholar] [CrossRef] [PubMed]
- Bose, S.; Carollo, A.; Fuentes-Guridi, I.; França Santos, M.; Vedral, V. Vacuum induced berry phase: Theory and experimental proposal. J. Mod. Opt. 2003, 50, 1175–1181. [Google Scholar] [CrossRef]
- Alcalde, M.A.; Pimentel, B. Path integral approach to the full Dicke model. Phys. A Stat. Mech. Its Appl. 2011, 390, 3385–3396. [Google Scholar] [CrossRef]
- Boneberg, M.; Lesanovsky, I.; Carollo, F. Quantum fluctuations and correlations in open quantum Dicke models. Phys. Rev. A 2022, 106, 012212. [Google Scholar] [CrossRef]




Disclaimer/Publisher’s Note: The statements, opinions and data contained in all publications are solely those of the individual author(s) and contributor(s) and not of MDPI and/or the editor(s). MDPI and/or the editor(s) disclaim responsibility for any injury to people or property resulting from any ideas, methods, instructions or products referred to in the content. |
© 2024 by the authors. Licensee MDPI, Basel, Switzerland. This article is an open access article distributed under the terms and conditions of the Creative Commons Attribution (CC BY) license (https://creativecommons.org/licenses/by/4.0/).
Share and Cite
Herrera Romero, R.; Bastarrachea-Magnani, M.A. Phase and Amplitude Modes in the Anisotropic Dicke Model with Matter Interactions. Entropy 2024, 26, 574. https://doi.org/10.3390/e26070574
Herrera Romero R, Bastarrachea-Magnani MA. Phase and Amplitude Modes in the Anisotropic Dicke Model with Matter Interactions. Entropy. 2024; 26(7):574. https://doi.org/10.3390/e26070574
Chicago/Turabian StyleHerrera Romero, Ricardo, and Miguel Angel Bastarrachea-Magnani. 2024. "Phase and Amplitude Modes in the Anisotropic Dicke Model with Matter Interactions" Entropy 26, no. 7: 574. https://doi.org/10.3390/e26070574
APA StyleHerrera Romero, R., & Bastarrachea-Magnani, M. A. (2024). Phase and Amplitude Modes in the Anisotropic Dicke Model with Matter Interactions. Entropy, 26(7), 574. https://doi.org/10.3390/e26070574

