Optimization of Two-Phase Ejector Mixing Chamber Length under Varied Liquid Volume Fraction
Abstract
1. Introduction
- to identify optimal Lpm under varied secondary flow liquid volume fraction;
- to find the optimal Lpm under varied primary flow liquid volume fraction;
- with optimal Lpm, to search for the optimal Lam under varied secondary flow liquid volume fraction;
- with optimal Lpm, to optimize the Lam under varied primary flow liquid volume fraction.
2. CFD Modeling and Validation
3. Results and Discussion
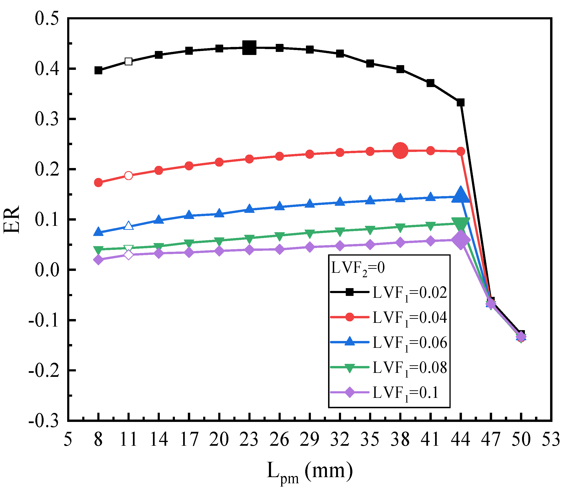
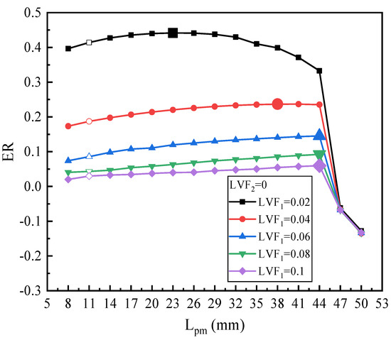
3.1. Optimization of Lpm
3.1.1. Effect of Two-Phase Primary Flow
3.1.2. Effect of Two-Phase Secondary Flow
3.1.3. Effect of Two-Phase Primary and Secondary Flows
- (a).
- Varied LVF2 with fixed LVF1
- (b).
- Varied LVF1 with fixed LVF2
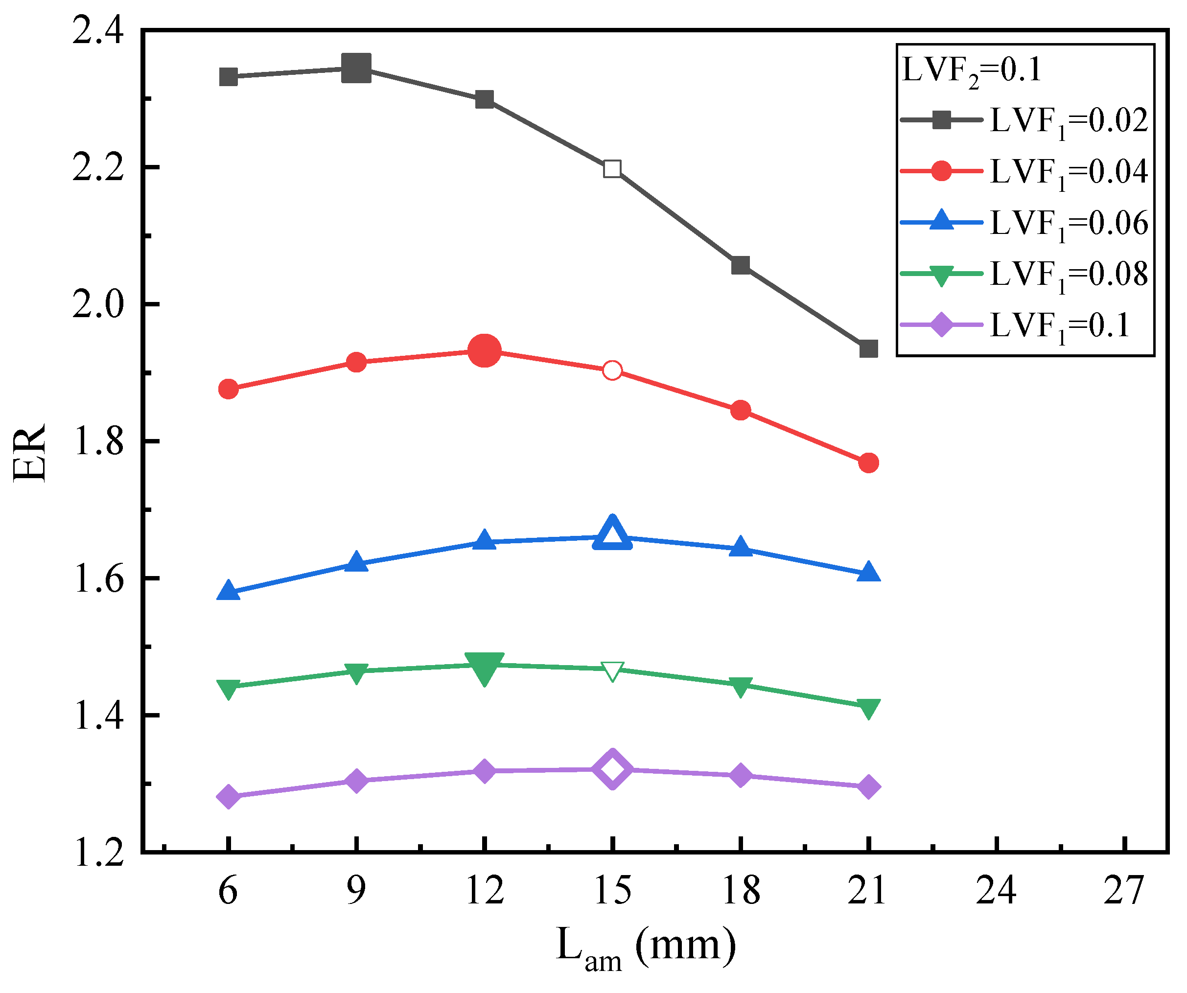
3.2. Optimization of Lam
3.2.1. Effect of Two-Phase Primary Flow
3.2.2. Effect of Two-Phase Secondary Flow
3.2.3. Effect of Two-Phase Primary and Secondary Flows
3.3. A Combination of Optimal Lpm and Lam
4. Conclusions
- (1)
- When the primary inlet of the ejector contains liquid while the secondary inlet does not, the optimal Lpm and Lam are ranged between 23–44 mm and 15–18 mm. When the secondary inlet contains liquid while primary inlet does not, these two optimal lengths are ranged 2–5 mm and 9–15 mm, while when both the primary inlet and secondary inlet contain liquid, they are in the range of 5–23 mm and 6–18 mm, respectively. Thus, two mixing chamber lengths largely depend on the vapor or liquid state of the two inlets;
- (2)
- When primary inlet LVF is fixed and secondary inlet LVF increases from 0 to 0.1, the optimal Lpm decreases along with the growth of secondary inlet LVF; when secondary inlet LVF is fixed and primary inlet LVF varies from 0 to 0.1, the optimal Lpm increases along with the growth of primary inlet LVF;
- (3)
- The sum of optimal Lpm and optimal Lam increases with the increase of primary inlet LVF but decreases with the increase of secondary inlet LVF.
Author Contributions
Funding
Institutional Review Board Statement
Informed Consent Statement
Conflicts of Interest
Nomenclature
| Lpm | constant-pressure mixing chamber length, mm |
| Lam | constant-area mixing chamber length, mm |
| Lpam | sum of mixing chamber length, mm |
| P | pressure, kPa |
| T | temperature, K or °C |
| m1 | primary mass flow rate, g·s−1 |
| m2 | secondary mass flow rate, g·s−1 |
| quality | |
| void fraction | |
| AR | area ratio |
| ER | entrainment ratio |
| PRR | pressure recovery ratio |
| LVF1 | liquid volume fraction of primary flow |
| LVF2 | liquid volume fraction of secondary flow |
| NXP | nozzle exit position |
| MERS | multi-evaporator refrigeration system |
References
- Besagni, G.; Mereu, R.; Inzoli, F. Ejector refrigeration: A comprehensive review. Renew. Sustain. Energy Rev. 2016, 53, 373–407. [Google Scholar] [CrossRef]
- Wang, J.; Qv, D.; Yao, Y.; Ni, L. The difference between vapor injection cycle with flash tank and intermediate heat exchanger for air source heat pump: An experimental and theoretical study. Energy 2021, 221, 119796. [Google Scholar] [CrossRef]
- Cuong, L.N.; Oh, J.T. The Comparison of Experiment Results and CFD Simulation in the Heat Pump System Using Thermobank and Two-Phase Ejector for Heating Room and Cold Storage. Int. J. Air-Cond. Refrig. 2016, 24, 1650004. [Google Scholar] [CrossRef]
- Shi, Y.; Guo, X.; Zhang, X. Study on Economized Vapor Injection Heat Pump System Using Refrigerant R32. Int. J. Air-Cond. Refrig. 2016, 24, 1650006. [Google Scholar] [CrossRef]
- Gullo, P.; Kærn, M.R.; Haida, M.; Smolka, J.; Elbel, S. A review on current status of capacity control techniques for two-phase ejectors. Int. J. Refrig. 2020, 119, 64–79. [Google Scholar] [CrossRef]
- Chen, Q.; Hwang, Y.; Yan, G.; Yu, J. Theoretical investigation on the performance of an ejector enhanced refrigeration cycle using hydrocarbon mixture R290/R600a. Appl. Therm. Eng. 2020, 164, 114456. [Google Scholar] [CrossRef]
- Dokandari, D.A.; Khoshkhoo, R.H.; Bidi, M.; Mafi, M. Thermodynamic investigation and optimization of two novel combined power-refrigeration cycles using cryogenic LNG energy. Int. J. Refrig. 2021, 124, 167–183. [Google Scholar] [CrossRef]
- Barta, R.B.; Dhillon, P.; Braun, J.E.; Ziviani, D.; Groll, E.A. Design and Optimization Strategy for Ejectors Applied in Refrigeration Cycles. Appl. Therm. Eng. 2021, 189, 116682. [Google Scholar] [CrossRef]
- Liu, J.; Lin, Z. A novel dual-temperature ejector-compression heat pump cycle-exergetic and economic analyses. Int. J. Refrig. 2021, 126, 155–167. [Google Scholar] [CrossRef]
- Elliott, M.S.; Rasmussen, B.P. Decentralized model predictive control of a multi-evaporator air conditioning system. Control Eng. Pract. 2013, 21, 1665–1677. [Google Scholar] [CrossRef]
- Li, C.; Yan, J.; Li, Y.; Cai, W.; Lin, C.; Chen, H. Experimental study on a multi-evaporator refrigeration system with variable area ratio ejector. Appl. Therm. Eng. 2016, 102, 196–203. [Google Scholar] [CrossRef]
- Li, S.; Yan, J.; Liu, Z.; Yao, Y.; Li, X.; Wen, N.; Zou, G. Optimization on crucial ejector geometries in a multi-evaporator refrigeration system for tropical region refrigerated trucks. Energy 2019, 189, 116347. [Google Scholar] [CrossRef]
- Yan, J.; Li, S.; Li, R. Numerical study on the auxiliary entrainment performance of an ejector with different area ratio. Appl. Therm. Eng. 2020, 185, 116369. [Google Scholar] [CrossRef]
- Wen, N.; Wang, L.; Yan, J.; Li, X.; Liu, Z.; Li, S.; Zou, G. Effects of operating conditions and cooling loads on two-stage ejector performances. Appl. Therm. Eng. 2019, 150, 770–780. [Google Scholar] [CrossRef]
- Wen, H.; Yan, J.; Li, X. Influence of liquid volume fraction on ejector performance: A numerical study. Appl. Therm. Eng. 2021, 190, 116845. [Google Scholar] [CrossRef]
- Kumar, V.; Sachdeva, G. 1-D model for finding geometry of a single phase ejector. Energy 2018, 165, 75–92. [Google Scholar] [CrossRef]
- Ramesh, A.S.; Sekhar, S.J. Experimental and numerical investigations on the effect of suction chamber angle and nozzle exit position of a steam-jet ejector. Energy 2018, 164, 1097–1113. [Google Scholar] [CrossRef]
- Palacz, M.; Haida, M.; Smolka, J.; Nowak, A.J.; Banasiak, K.; Hafner, A. HEM and HRM accuracy comparison for the simulation of CO2 expansion in two-phase ejectors for supermarket refrigeration systems. Appl. Therm. Eng. 2017, 115, 160–169. [Google Scholar] [CrossRef]
- Aidoun, Z.; Ameur, K.; Falsafioon, M.; Badache, M. Current advances in ejector modeling, experimentation and applications for refrigeration and heat pumps. Part 2: Two-phase ejectors. Inventions 2019, 4, 16. [Google Scholar] [CrossRef]
- Fu, W.; Li, Y.; Liu, Z.; Wu, H.; Wu, T. Numerical study for the influences of primary nozzle on steam ejector performance. Appl. Therm. Eng. 2016, 106, 1148–1156. [Google Scholar] [CrossRef]
- Chunnanond, K.; Aphornratana, S. Ejectors: Applications in refrigeration technology. Renew. Sustain. Energy Rev. 2004, 8, 129–155. [Google Scholar] [CrossRef]
- Jeon, Y.; Kim, D.; Jung, J.; Jang, D.S.; Kim, Y. Comparative performance evaluation of conventional and condenser outlet split ejector-based domestic refrigerator-freezers using R600a. Energy 2018, 161, 1085–1095. [Google Scholar] [CrossRef]
- Tang, Y.; Liu, Z.; Li, Y.; Huang, Z.; Jon, K. Study on fundamental link between mixing efficiency and entrainment performance of a steam ejector. Energy 2021, 215, 119128. [Google Scholar] [CrossRef]
- Nakagawa, M.; Marasigan, A.R.; Matsukawa, T.A. Kurashina, Experimental investigation on the effect of mixing length on the performance of two-phase ejector for CO2 refrigeration cycle with and without heat exchanger. Int. J. Refrig. 2011, 34, 1604–1613. [Google Scholar] [CrossRef]
- Sarkar, J. Ejector enhanced vapor compression refrigeration and heat pump systems—A review. Renew. Sustain. Energy Rev. 2012, 16, 6647–6659. [Google Scholar] [CrossRef]
- Banasiak, K.; Hafner, A.; Andresen, T. Experimental and numerical investigation of the influence of the two-phase ejector geometry on the performance of the R744 heat pump. Int. J. Refrig. 2012, 35, 1617–1625. [Google Scholar] [CrossRef]
- Jeon, Y.; Kim, S.; Kim, D.; Chung, H.J.; Kim, Y. Performance characteristics of an R600a household refrigeration cycle with a modified two-phase ejector for various ejector geometries and operating conditions. Appl. Energy 2017, 205, 1059–1067. [Google Scholar] [CrossRef]
- Fu, W.; Liu, Z.; Li, Y.; Wu, H.; Tang, Y. Numerical study for the influences of primary steam nozzle distance and mixing chamber throat diameter on steam ejector performance. Int. J. Therm. Sci. 2018, 132, 509–516. [Google Scholar] [CrossRef]
- Dong, J.; Hu, Q.; Yu, M.; Han, Z.; Cui, W.; Liang, D.; Ma, H.; Pan, X. Numerical investigation on the influence of mixing chamber length on steam ejector performance. Appl. Therm. Eng. 2020, 174, 115204. [Google Scholar] [CrossRef]
- Hemidi, A.; Henry, F.; Leclaire, S.; Seynhaeve, J.M.; Bartosiewicz, Y. CFD analysis of a supersonic air ejector. Part I: Experimental validation of single-phase and two-phase operation. Appl. Therm. Eng. 2009, 29, 1523–1531. [Google Scholar] [CrossRef]
- Yuan, G.; Zhang, L.; Zhang, H.; Wang, Z. Numerical and experimental investigation of performance of the liquid-gas and liquid jet pumps in desalination systems. Desalination 2011, 276, 89–95. [Google Scholar] [CrossRef]
- Chen, W.; Huang, C.; Bai, Y.; Chong, D.; Yan, J.; Liu, J. Experimental and numerical investigation of two phase ejector performance with the water injected into the induced flow. Int. J. Adv. Nucl. React. Des. Technol. 2020, 2, 15–24. [Google Scholar] [CrossRef]
- Aliabadi, M.A.F.; Bahiraei, M. Effect of water nano-droplet injection on steam ejector performance based on non-equilibrium spontaneous condensation: A droplet number study. Appl. Therm. Eng. 2021, 184, 116236. [Google Scholar] [CrossRef]
- Yan, J.; Li, S.; Liu, Z. Numerical investigation on optimization of ejector primary nozzle geometries with fixed/varied nozzle exit position. Appl. Therm. Eng. 2020, 175, 115426. [Google Scholar] [CrossRef]
- Li, C.; Li, Y.Z. Investigation of entrainment behavior and characteristics of gas-liquid ejectors based on CFD simulation. Chem. Eng. Sci. 2011, 66, 405–416. [Google Scholar] [CrossRef]
- Palacz, M.; Smolka, J.; Kus, W.; Fic, A.; Bulinski, Z.; Nowak, A.J.; Banasiak, K.; Hafner, A. CFD-based shape optimisation of a CO2 two-phase ejector mixing section. Appl. Therm. Eng. 2016, 95, 62–69. [Google Scholar] [CrossRef]
- Besagni, G.; Cristiani, N.; Croci, L.; Guédon, G.R.; Inzoli, F. Computational fluid-dynamics modelling of supersonic ejectors: Screening of modelling approaches, comprehensive validation and assessment of ejector component efficiencies. Appl. Therm. Eng. 2021, 186, 116431. [Google Scholar] [CrossRef]
- Carrillo, J.A.E.; de la Flor, F.J.S.; Lissén, J.M.S. Single-phase ejector geometry optimisation by means of a multi-objective evolutionary algorithm and a surrogate CFD model. Energy 2018, 164, 46–64. [Google Scholar] [CrossRef]
- Croquer, S.; Poncet, S.; Aidoun, Z. Turbulence modeling of a single-phase R134a supersonic ejector. Part 1: Numerical benchmark. Int. J. Refrig. 2016, 61, 140–152. [Google Scholar] [CrossRef]
























| Parameters | Value (mm) |
|---|---|
| The suction chamber diameter, Ds | 19.6 |
| The primary nozzle inlet diameter, Dp | 9.6 |
| The primary nozzle outlet diameter, Dn | 3 |
| The constant-area mixing chamber diameter, Dam | 5.2 |
| The diffuser outlet diameter, Dd | 10 |
| The primary nozzle length, Lp | 20 |
| The constant-pressure mixing chamber length, Lpm | 11 |
| The constant-area mixing chamber length, Lam | 15 |
| The diffuser length, Ld | 56 |
| Parameters | Type | Pressure (kPa) | Temperature (K) | |
|---|---|---|---|---|
| Superheated Gas | Two-Phase | |||
| Primary inlet | Pressure inlet | 374.6 | 290 | 280 |
| Secondary inlet | Pressure inlet | 243.3 | 278 | 268 |
| Outlet | Pressure outlet | 267.63 | - | - |
| Grid Number | Pressure (Pa) | Error (%) | Velocity (m·s−1) | Error (%) |
|---|---|---|---|---|
| 52,200 | 274,947 | - | 120.138 | - |
| 68,520 | 275,288 | 0.12 | 119.893 | 0.2 |
| 83,100 | 275,521 | 0.085 | 119.684 | 0.17 |
| 114,880 | 275,613 | 0.033 | 119.623 | 0.051 |
| Grid Number | Pressure (Pa) | Error (%) | Velocity (m·s−1) | Error (%) |
|---|---|---|---|---|
| 52,200 | 206,538 | - | 165.218 | - |
| 68,520 | 206,879 | 0.165 | 164.934 | 0.172 |
| 83,100 | 207,054 | 0.085 | 164.841 | 0.056 |
| 114,880 | 207,123 | 0.033 | 164.788 | 0.032 |
| LVF2 = 0 (ER) | LVF2 = 0.02 (ER) | LVF2 = 0.06 (ER) | LVF2 = 0.1 (ER) | |
|---|---|---|---|---|
| LVF1 = 0.02 | 18 (0.442) | 15 (1.248) | 12 (1.941) | 9 (2.344) |
| LVF1 = 0.04 | 21 (0.24) | 9 (0.912) | 15 (1.544) | 12 (1.932) |
| LVF1 = 0.06 | 15 (0.145) | 6 (0.693) | 15 (1.306) | 15 (1.661) |
| LVF1 = 0.08 | 15 (0.092) | 12 (0.536) | 12 (1.128) | 12 (1.474) |
| LVF1 = 0.1 | 18 (0.065) | 18 (0.423) | 15 (0.983) | 15 (1.321) |
| LVF1 = 0 (ER) | LVF1 = 0.02 (ER) | LVF1 = 0.06 (ER) | LVF1 = 0.1 (ER) | |
|---|---|---|---|---|
| LVF2 = 0.02 | 12 (2.02) | 15 (1.248) | 6 (0.693) | 18 (0.423) |
| LVF2 = 0.04 | 15 (2.362) | 15 (1.651) | 12 (1.055) | 12 (0.744) |
| LVF2 = 0.06 | 9 (2.687) | 12 (1.941) | 15 (1.306) | 15 (0.983) |
| LVF2 = 0.08 | 9 (2.958) | 9 (2.158) | 12 (1.504) | 12 (1.172) |
| LVF2 = 0.1 | 9 (3.17) | 9 (2.344) | 15 (1.661) | 15 (1.321) |
Disclaimer/Publisher’s Note: The statements, opinions and data contained in all publications are solely those of the individual author(s) and contributor(s) and not of MDPI and/or the editor(s). MDPI and/or the editor(s) disclaim responsibility for any injury to people or property resulting from any ideas, methods, instructions or products referred to in the content. |
© 2022 by the authors. Licensee MDPI, Basel, Switzerland. This article is an open access article distributed under the terms and conditions of the Creative Commons Attribution (CC BY) license (https://creativecommons.org/licenses/by/4.0/).
Share and Cite
Yan, J.; Shu, Y.; Jiang, J.; Wen, H. Optimization of Two-Phase Ejector Mixing Chamber Length under Varied Liquid Volume Fraction. Entropy 2023, 25, 7. https://doi.org/10.3390/e25010007
Yan J, Shu Y, Jiang J, Wen H. Optimization of Two-Phase Ejector Mixing Chamber Length under Varied Liquid Volume Fraction. Entropy. 2023; 25(1):7. https://doi.org/10.3390/e25010007
Chicago/Turabian StyleYan, Jia, Yuetong Shu, Jing Jiang, and Huaqin Wen. 2023. "Optimization of Two-Phase Ejector Mixing Chamber Length under Varied Liquid Volume Fraction" Entropy 25, no. 1: 7. https://doi.org/10.3390/e25010007
APA StyleYan, J., Shu, Y., Jiang, J., & Wen, H. (2023). Optimization of Two-Phase Ejector Mixing Chamber Length under Varied Liquid Volume Fraction. Entropy, 25(1), 7. https://doi.org/10.3390/e25010007

