Position/Attitude Cascade Regulation of Nonholonomic Four-Wheeled Mobile Robot via Double-Loop Sliding-Mode Control Mechanism
Abstract
1. Introduction
2. Kinematic Modelling and Problem Statement
2.1. Kinematic Modelling of the NFMR
2.2. Problem Statement
3. Main Results
3.1. Overall Control Mechanism
3.2. Attitude Controller of the Inner Loop
3.3. Position Controller of the Outer Loop
3.4. Stability Analysis
4. Validation and Results
4.1. Overall Control Mechanism
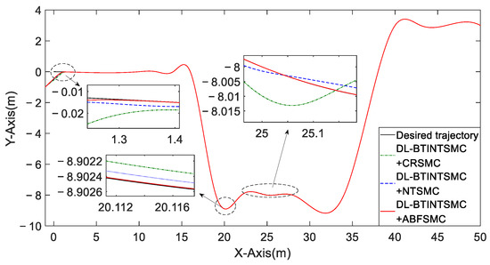
4.2. Results and Discussions
5. Conclusions
Author Contributions
Funding
Institutional Review Board Statement
Informed Consent Statement
Data Availability Statement
Conflicts of Interest
References
- Zhang, X.; Huang, Y.; Wang, S.; Meng, W.; Li, G.; Xie, Y. Motion planning and tracking control of a four-wheel independently driven steered mobile robot with multiple maneuvering modes. Front. Mech. Eng. 2021, 16, 504–527. [Google Scholar] [CrossRef]
- Morin, P.; Samson, C. Motion control of wheeled mobile robots. In Handbook of Robotics; Siciliano, B., Khatib, O., Eds.; Springer: Berlin/Heidelberg, Germany, 2008; pp. 799–826. [Google Scholar]
- Campion, G.; Bastin, G.; Dandrea-Novel, B. Structural properties and classification of kinematic and dynamic models of wheeled mobile robots. IEEE Trans. Robot. Autom. 1996, 12, 47–62. [Google Scholar] [CrossRef]
- Park, B.S.; Yoo, S.J.; Park, J.B.; Choi, Y.H. A Simple Adaptive Control Approach for Trajectory Tracking of Electrically Driven Nonholonomic Mobile Robots. IEEE Trans. Control Syst. Technol. 2010, 18, 1199–1206. [Google Scholar] [CrossRef]
- Wang, Z.; Li, G.; Chen, X.; Zhang, H.; Chen, Q. Simultaneous Stabilization and Tracking of Nonholonomic WMRs with Input Constraints: Controller Design and Experimental Validation. IEEE Trans. Ind. Electron. 2019, 66, 5343–5352. [Google Scholar] [CrossRef]
- Fierro, R.; Lewis, F.L. Control of a nonholomic mobile robot: Backstepping kinematics into dynamics. J. Robot. Syst. 1997, 14, 149–163. [Google Scholar] [CrossRef]
- Fukao, T.; Nakagawa, H.; Adachi, N. Adaptive tracking control of a nonholonomic mobile robot. IEEE Trans. Robot. Autom. 2000, 16, 609–615. [Google Scholar] [CrossRef]
- Lian, C.; Xu, X.; Chen, H.; He, H. Near-Optimal Tracking Control of Mobile Robots Via Receding-Horizon Dual Heuristic Programming. IEEE Trans. Cybern. 2016, 46, 2484–2496. [Google Scholar] [CrossRef]
- Li, Z.; Yang, C.; Su, C.-Y.; Deng, J.; Zhang, W. Vision-Based Model Predictive Control for Steering of a Nonholonomic Mobile Robot. IEEE Trans. Control Syst. Technol. 2015, 24, 553–564. [Google Scholar] [CrossRef]
- Yang, H.; Fan, X.; Shi, P.; Hua, C. Nonlinear Control for Tracking and Obstacle Avoidance of a Wheeled Mobile Robot With Nonholonomic Constraint. IEEE Trans. Control Syst. Technol. 2015, 24, 741–746. [Google Scholar] [CrossRef]
- Tzafestas, S.G. Mobile Robot Control and Navigation: A Global Overview. J. Intell. Robot. Syst. 2018, 91, 35–58. [Google Scholar] [CrossRef]
- Yue, M.; Wang, L.; Ma, T. Neural network based terminal sliding mode control for WMRs affected by an augmented ground friction with slippage effect. IEEE/CAA J. Autom. Sin. 2017, 4, 498–506. [Google Scholar] [CrossRef]
- Ren, C.; Li, X.; Yang, X.; Ma, S. Extended State Observer-Based Sliding Mode Control of an Omnidirectional Mobile Robot With Friction Compensation. IEEE Trans. Ind. Electron. 2019, 66, 9480–9489. [Google Scholar] [CrossRef]
- Ding, X.; Wang, Z.; Zhang, L. Hybrid Control-Based Acceleration Slip Regulation for Four-Wheel-Independent-Actuated Electric Vehicles. IEEE Trans. Transp. Electrif. 2021, 7, 1976–1989. [Google Scholar] [CrossRef]
- Singh, P.; Nandanwar, A.; Behera, L.; Verma, N.K.; Nahavandi, S. Uncertainty Compensator and Fault Estimator-Based Exponential Supertwisting Sliding-Mode Controller for a Mobile Robot. IEEE Trans. Cybern. 2021, 52, 11963–11976. [Google Scholar] [CrossRef] [PubMed]
- Xie, Y.; Zhang, X.; Zheng, S.; Ahn, C.K.; Wang, S. Asynchronous H∞ Continuous Stabilization of Mode-Dependent Switched Mobile Robot. IEEE Trans. Syst. Man Cybern. Syst. 2021, 52, 6906–6920. [Google Scholar] [CrossRef]
- Li, J.; Wang, J.; Peng, H.; Hu, Y.; Su, H. Fuzzy-Torque Approximation-Enhanced Sliding Mode Control for Lateral Stability of Mobile Robot. IEEE Trans. Syst. Man Cybern. Syst. 2022, 52, 2491–2500. [Google Scholar] [CrossRef]
- Xiong, R.; Li, L.; Zhang, C.; Ma, K.; Yi, X.; Zeng, H. Path Tracking of a Four-Wheel Independently Driven Skid Steer Robotic Vehicle Through a Cascaded NTSM-PID Control Method. IEEE Trans. Instrum. Meas. 2022, 71, 7502311. [Google Scholar] [CrossRef]
- Ailon, A.; Zohar, I. Controllers for trajectory tracking and string-like formation in wheeled mobile robots with bounded inputs. In Proceedings of the Melecon 2010—2010 15th IEEE Mediterranean Electrotechnical Conference, Valletta, Malta, 26–28 April 2010; pp. 1563–1568. [Google Scholar]
- Yang, H.; Fan, X.; Xia, Y.; Hua, C. Robust tracking control for wheeled mobile robot based on extended state observer. Adv. Robot. 2015, 30, 68–78. [Google Scholar] [CrossRef]
- Dian, S.; Han, J.; Guo, R.; Li, S.; Zhao, T.; Hu, Y.; Wu, Q. Double Closed-Loop General Type-2 Fuzzy Sliding Model Control for Trajectory Tracking of Wheeled Mobile Robots. Int. J. Fuzzy Syst. 2019, 21, 2032–2042. [Google Scholar] [CrossRef]
- Chen, C.-Y.; Li, T.-H.S.; Yeh, Y.-C.; Chang, C.-C. Design and implementation of an adaptive sliding-mode dynamic controller for wheeled mobile robots. Mechatronics 2009, 19, 156–166. [Google Scholar] [CrossRef]
- Yang, X.; Wei, P.; Zhang, Y.; Liu, X.; Yang, L. Disturbance Observer Based on Biologically Inspired Integral Sliding Mode Control for Trajectory Tracking of Mobile Robots. IEEE Access 2019, 7, 48382–48391. [Google Scholar] [CrossRef]
- Taghavifar, H.; Rakheja, S. A Novel Terramechanics-Based Path-Tracking Control of Terrain-Based Wheeled Robot Vehicle With Matched-Mismatched Uncertainties. IEEE Trans. Veh. Technol. 2020, 69, 67–77. [Google Scholar] [CrossRef]
- Chiu, C.-S. Derivative and integral terminal sliding mode control for a class of MIMO nonlinear systems. Automatica 2012, 48, 316–326. [Google Scholar] [CrossRef]
- Peng, S.; Shi, W. Adaptive Fuzzy Integral Terminal Sliding Mode Control of a Nonholonomic Wheeled Mobile Robot. Math. Probl. Eng. 2017, 2017, 3671846. [Google Scholar] [CrossRef]
- Peng, S.; Shi, W. Adaptive Fuzzy Output Feedback Control of a Nonholonomic Wheeled Mobile Robot. IEEE Access 2018, 6, 43414–43424. [Google Scholar] [CrossRef]
- Ding, F.; Huang, J.; Wang, Y.; Zhang, J.; He, S. Sliding mode control with an extended disturbance observer for a class of underactuated system in cascaded form. Nonlinear Dyn. 2017, 90, 2571–2582. [Google Scholar] [CrossRef]
- Huang, J.; Ri, S.; Fukuda, T.; Wang, Y. A Disturbance Observer Based Sliding Mode Control for a Class of Underactuated Robotic System With Mismatched Uncertainties. IEEE Trans. Autom. Control 2019, 64, 2480–2487. [Google Scholar] [CrossRef]
- Liu, K.; Ji, H.; Zhang, Y. Extended state observer based adaptive sliding mode tracking control of wheeled mobile robot with input saturation and uncertainties. Proc. Inst. Mech. Eng. Part C J. Mech. Eng. Sci. 2019, 233, 5460–5476. [Google Scholar] [CrossRef]
- Jeong, S.; Chwa, D. Sliding-Mode-Disturbance-Observer-Based Robust Tracking Control for Omnidirectional Mobile Robots With Kinematic and Dynamic Uncertainties. IEEE/ASME Trans. Mechatron. 2021, 26, 741–752. [Google Scholar] [CrossRef]
- Matraji, I.; Al-Durra, A.; Haryono, A.; Al-Wahedi, K.; Abou-Khousa, M. Trajectory tracking control of Skid-Steered Mobile Robot based on adaptive Second Order Sliding Mode Control. Control Eng. Pract. 2018, 72, 167–176. [Google Scholar] [CrossRef]
- Zhai, J.-Y.; Song, Z.-B. Adaptive sliding mode trajectory tracking control for wheeled mobile robots. Int. J. Control 2018, 92, 2255–2262. [Google Scholar] [CrossRef]
- Ye, T.; Luo, Z.; Wang, G. Adaptive sliding mode control of robot based on fuzzy neural network. J. Ambient. Intell. Humaniz. Comput. 2020, 11, 6235–6247. [Google Scholar] [CrossRef]
- Szczepanski, R.; Tarczewski, T.; Grzesiak, L.M. Adaptive state feedback speed controller for PMSM based on Artificial Bee Colony algorithm. Appl. Soft Comput. 2019, 83, 105644. [Google Scholar] [CrossRef]

















| Parameters | Value | Parameters | Value |
|---|---|---|---|
| Length | 0.89 m | Incremental encoder | 2500 ppr |
| Width | 0.53 m | Frequency of PC | 2.59 GHz |
| Wheel diameter | 0.28 m | RAM of PC | 8 G |
| Total weight | 1 t | Max speed | 2 m/s |
| LiDAR sweep distance | 60 m | Battery run-time | 8 h |
| Rated torque of the driving/steering motor | 20 Nm | Rated power of the driving/steering motor | 1.13 kw |
| Error | Criterion | PID | CSMC | DCRSMC | DNTSMC | BTSMC + NTSMC | BTINTSMC + ABFSMC |
|---|---|---|---|---|---|---|---|
| Distance | IAE | 34.1069 | 38.7033 | 15.1050 | 15.0703 | 15.2021 | 13.5757 |
| ISE | 70.4731 | 54.9742 | 41.1628 | 38.0608 | 42.1426 | 37.1057 | |
| STD | 0.6769 | 0.6335 | 0.6235 | 0.5982 | 0.6311 | 0.5938 |
| Criterion | BTINTSMC + CRSMC | BTINTSMC + NTSMC | BTINTSMC + ABFSMC |
|---|---|---|---|
| IAE | 1.6398 | 0.5831 | 0.0403 |
| ISE | 0.1592 | 0.0205 | 0.0001 |
| STD | 0.0399 | 0.0143 | 0.0010 |
| Criterion | BTINTSMC + CRSMC | BTINTSMC + NTSMC | BTINTSMC + ABFSMC |
|---|---|---|---|
| IAE | 2.5522 | 1.8415 | 1.7249 |
| ISE | 0.5341 | 0.4463 | 0.4402 |
| STD | 0.0721 | 0.0659 | 0.0654 |
Disclaimer/Publisher’s Note: The statements, opinions and data contained in all publications are solely those of the individual author(s) and contributor(s) and not of MDPI and/or the editor(s). MDPI and/or the editor(s) disclaim responsibility for any injury to people or property resulting from any ideas, methods, instructions or products referred to in the content. |
© 2022 by the authors. Licensee MDPI, Basel, Switzerland. This article is an open access article distributed under the terms and conditions of the Creative Commons Attribution (CC BY) license (https://creativecommons.org/licenses/by/4.0/).
Share and Cite
Zhang, X.; Qin, D.; Wang, S.; Xie, Y.; Li, H.; Li, S. Position/Attitude Cascade Regulation of Nonholonomic Four-Wheeled Mobile Robot via Double-Loop Sliding-Mode Control Mechanism. Entropy 2023, 25, 27. https://doi.org/10.3390/e25010027
Zhang X, Qin D, Wang S, Xie Y, Li H, Li S. Position/Attitude Cascade Regulation of Nonholonomic Four-Wheeled Mobile Robot via Double-Loop Sliding-Mode Control Mechanism. Entropy. 2023; 25(1):27. https://doi.org/10.3390/e25010027
Chicago/Turabian StyleZhang, Xin, Dongchen Qin, Shuting Wang, Yuanlong Xie, Hu Li, and Shiqi Li. 2023. "Position/Attitude Cascade Regulation of Nonholonomic Four-Wheeled Mobile Robot via Double-Loop Sliding-Mode Control Mechanism" Entropy 25, no. 1: 27. https://doi.org/10.3390/e25010027
APA StyleZhang, X., Qin, D., Wang, S., Xie, Y., Li, H., & Li, S. (2023). Position/Attitude Cascade Regulation of Nonholonomic Four-Wheeled Mobile Robot via Double-Loop Sliding-Mode Control Mechanism. Entropy, 25(1), 27. https://doi.org/10.3390/e25010027
