Neural Information Squeezer for Causal Emergence
Abstract
1. Introduction
2. Basic Notions and Problems Formulation
2.1. Background
2.2. Effective Coarse-Graining Strategy and Macro-Dynamics
2.3. Problem Formulation
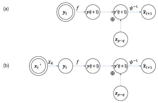
3. Methods
3.1. Neural Information Squeezer Model
Encoder
3.2. Decoder
Dynamics Learner
3.3. Two Stage Optimization
3.3.1. Stage 1: Training a Predictor
3.3.2. Stage 2: Search for the Optimal Scale
3.3.3. About Effective Information
4. Results
4.1. Theoretical Analysis
4.1.1. Squeezed Information Channel
4.1.2. What Happens during Training
4.1.3. The Effective Information Is Mainly Determined by the Bijector
4.1.4. Change with the Scale (Q)
4.2. Empirical Results
4.2.1. Spring Oscillator with Measurement Noise
4.2.2. Simple Markov Chain
4.2.3. Simple Boolean Network
5. Concluding Remarks
Author Contributions
Funding
Data Availability Statement
Acknowledgments
Conflicts of Interest
Appendix A. RealNVP Implementation of Invertible Neural Network
Appendix B. Approximated Calculation of Effective Information for Neural Networks

Appendix C. Proof of Theorem 3
Appendix D. Proof for Theorem 4
Proof for Theorem 5

Appendix E. Proof for Theorem 6
References
- Holland, J.H. Emergence: From Chaos to Order; Illustrated edition; Basic Books: New York, NY, USA, 1999. [Google Scholar]
- Bedau, M.A. Weak Emergence. Philos. Perspect. 1997, 11, 375–399. [Google Scholar] [CrossRef]
- Pearl, J. Causality: Models of Reasoning and Inference, 2nd ed.; Cambridge University Press: Cambridge, UK, 2009. [Google Scholar]
- Granger, C.W.J. Investigating Causal Relations by Econometric Models and Cross-spectral Methods. Econometrica 1969, 37, 424–438. [Google Scholar] [CrossRef]
- Hoel, E.P.; Albantakis, L.; Tononi, G. Quantifying causal emergence shows that macro can beat micro. Proc. Natl. Acad. Sci. USA 2013, 110, 19790–19795. [Google Scholar] [CrossRef] [PubMed]
- Hoel, E.P. When the Map Is Better Than the Territory. Entropy 2017, 19, 188. [Google Scholar] [CrossRef]
- Tononi, G.; Sporns, O. Measuring information integration. BMC Neurosci. 2003, 4, 31. [Google Scholar] [CrossRef] [PubMed]
- Varley, T.; Hoel, E. Emergence as the conversion of information: A unifying theory. arXiv 2021, arXiv:2104.13368. [Google Scholar] [CrossRef]
- Chvykov, P.; Hoel, E. Causal Geometry. Entropy 2021, 23, 24. [Google Scholar] [CrossRef]
- Rosas, F.E.; Mediano, P.A.M.; Jensen, H.J.; Seth, A.K.; Barrett, A.B.; Carhart-Harris, R.L.; Bor, D. Reconciling emergences: An information-theoretic approach to identify causal emergence in multivariate data. PLoS Comput. Biol. 2020, 16, e1008289. [Google Scholar] [CrossRef]
- Varley, T.F. Flickering emergences: The question of locality in information-theoretic approaches to emergence. arXiv 2022, arXiv:2208.14502. [Google Scholar] [CrossRef]
- Swain, A.; Williams, S.D.; Di Felice, L.J.; Hobson, E.A. Interactions and information: Exploring task allocation in ant colonies using network analysis. Anim. Behav. 2022, 189, 69–81. [Google Scholar] [CrossRef]
- Klein, B.; Hoel, E.; Swain, A.; Griebenow, R.; Levin, M. Evolution and emergence: Higher order information structure in protein interactomes across the tree of life. Integr. Biol. 2021, 13, 283–294. [Google Scholar] [CrossRef] [PubMed]
- Ravi, D.; Hamilton, J.L.; Winfield, E.C.; Lalta, N.; Chen, R.H.; Cole, M.W. Causal emergence of task information from dynamic network interactions in the human brain. Rev. Neurosci. 2022, 31, 25–46. [Google Scholar]
- Klein, B.; Swain, A.; Byrum, T.; Scarpino, S.V.; Fagan, W.F. Exploring noise, degeneracy and determinism in biological networks with the einet package. Methods Ecol. Evol. 2022, 13, 799–804. [Google Scholar] [CrossRef]
- Klein, B.; Hoel, E. The Emergence of Informative Higher Scales in Complex Networks. Complexity 2020, 2020, 8932526. [Google Scholar] [CrossRef]
- Varley, T.; Hoel, E. Emergence as the conversion of information: A unifying theory. Philos. Trans. R. Soc. A 2022, 380, 20210150. [Google Scholar] [CrossRef] [PubMed]
- Silver, D.; Schrittwieser, J.; Simonyan, K.; Antonoglou, I.; Huang, A.; Guez, A.; Hubert, T.; Baker, L.; Lai, M.; Bolton, A.; et al. Mastering the game of Go without human knowledge. Nature 2017, 550, 354–359. [Google Scholar] [CrossRef]
- LeCun, Y.; Bengio, Y.; Hinton, G. Deep learning. Nature 2015, 521, 436–444. [Google Scholar] [CrossRef]
- Reichstein, M.; Camps-Valls, G.; Stevens, B.; Jung, M.; Denzler, J.; Carvalhais, N. Deep learning and process understanding for data-driven Earth system science. Nature 2019, 566, 195–204. [Google Scholar] [CrossRef]
- Senior, A.W.; Evans, R.; Jumper, J.; Kirkpatrick, J.; Sifre, L.; Green, T.; Qin, C.; Žídek, A.; Nelson, A.W.R.; Bridgland, A.; et al. Improved protein structure prediction using potentials from deep learning. Nature 2020, 577, 706–710. [Google Scholar] [CrossRef]
- Tank, A.; Covert, I.; Foti, N.; Shojaie, A.; Fox, E. Neural Granger Causality. arXiv 2018, arXiv:1802.05842. [Google Scholar] [CrossRef]
- Löwe, S.; Madras, D.; Zemel, R.; Welling, M. Amortized causal discovery: Learning to infer causal graphs from time-series data. arXiv 2020, arXiv:2006.10833. [Google Scholar]
- Glymour, C.; Zhang, K.; Spirtes, P. Review of Causal Discovery Methods Based on Graphical Models. Front. Genet. 2019, 10, 524. [Google Scholar] [CrossRef] [PubMed]
- Casadiego, J.; Nitzan, M.; Hallerberg, S.; Timme, M. Model-free inference of direct network interactions from nonlinear collective dynamics. Nat. Commun. 2017, 8, 2192. [Google Scholar] [CrossRef] [PubMed]
- Sanchez-Gonzalez, A.; Heess, N.; Springenberg, J.T.; Merel, J.; Riedmiller, M.; Hadsell, R.; Battaglia, P. Graph networks as learnable physics engines for inference and control. In Proceedings of the International Conference on Machine Learning, Stockholm, Sweden, 10–15 July 2018; pp. 4470–4479. [Google Scholar]
- Zhang, Z.; Zhao, Y.; Liu, J.; Wang, S.; Tao, R.; Xin, R.; Zhang, J. A general deep learning framework for network reconstruction and dynamics learning. Appl. Netw. Sci. 2019, 4, 110. [Google Scholar] [CrossRef]
- Kipf, T.; Fetaya, E.; Wang, K.C.; Welling, M.; Zemel, R. Neural relational inference for interacting systems. In Proceedings of the International Conference on Machine Learning, Stockholm, Sweden, 10–15 July 2018; pp. 2688–2697. [Google Scholar]
- Chen, B.; Huang, K.; Raghupathi, S.; Chandratreya, I.; Du, Q.; Lipson, H. Discovering State Variables Hidden in Experimental Data. arXiv 2021, arXiv:2112.10755. [Google Scholar]
- Koch-Janusz, M.; Ringel, Z. Mutual information, neural networks and the renormalization group. Nat. Phys. 2018, 14, 578–582. [Google Scholar] [CrossRef]
- Li, S.H.; Wang, L. Neural Network Renormalization Group. Phys. Rev. Lett. 2018, 121, 260601. [Google Scholar] [CrossRef]
- Hu, H.Y.; Li, S.H.; Wang, L.; You, Y.Z. Machine learning holographic mapping by neural network renormalization group. Phys. Rev. Res. 2020, 2, 023369. [Google Scholar] [CrossRef]
- Hu, H.; Wu, D.; You, Y.Z.; Olshausen, B.; Chen, Y. RG-Flow: A hierarchical and explainable flow model based on renormalization group and sparse prior. Mach. Learn. Sci. Technol. 2022, 3, 035009. [Google Scholar] [CrossRef]
- Gökmen, D.E.; Ringel, Z.; Huber, S.D.; Koch-Janusz, M. Statistical physics through the lens of real-space mutual information. Phys. Rev. Lett. 2021, 127, 240603. [Google Scholar] [CrossRef]
- Chalupka, K.; Eberhardt, F.; Perona, P. Causal feature learning: An overview. Behaviormetrika 2017, 44, 137–164. [Google Scholar] [CrossRef]
- Schölkopf, B.; Locatello, F.; Bauer, S.; Ke, N.R.; Kalchbrenner, N.; Goyal, A.; Bengio, Y. Toward causal representation learning. Proc. IEEE 2021, 109, 612–634. [Google Scholar] [CrossRef]
- Iwasaki, Y.; Simon, H.A. Causality and model abstraction. Artif. Intell. 1994, 67, 143–194. [Google Scholar] [CrossRef]
- Rubenstein, P.K.; Weichwald, S.; Bongers, S.; Mooij, J.; Janzing, D.; Grosse-Wentrup, M.; Schölkopf, B. Causal consistency of structural equation models. arXiv 2017, arXiv:1707.00819. [Google Scholar]
- Beckers, S.; Eberhardt, F.; Halpern, J.Y. Approximate causal abstractions. In Proceedings of the Uncertainty in Artificial Intelligence, Virtual, 3–6 August 2020; pp. 606–615. [Google Scholar]
- Beckers, S.; Eberhardt, F.; Halpern, J.Y. Approximate Causal Abstraction. arXiv 2019, arXiv:1906.11583v2. [Google Scholar]
- Teshima, T.; Ishikawa, I.; Tojo, K.; Oono, K.; Ikeda, M.; Sugiyama, M. Coupling-based invertible neural networks are universal diffeomorphism approximators. Adv. Neural Inf. Process. Syst. 2020, 33, 3362–3373. [Google Scholar]
- Teshima, T.; Tojo, K.; Ikeda, M.; Ishikawa, I.; Oono, K. Universal approximation property of neural ordinary differential equations. arXiv 2017, arXiv:2012.02414. [Google Scholar]
- Dinh, L.; Sohl-Dickstein, J.; Bengio, S. Density estimation using real nvp. arXiv 2016, arXiv:1605.08803. [Google Scholar]
- Kingma, D.P.; Welling, M. Auto-encoding variational bayes. arXiv 2013, arXiv:1312.6114. [Google Scholar]
- Shwartz-Ziv, R.; Tishby, N. Opening the black box of deep neural networks via information. arXiv 2017, arXiv:1703.00810. [Google Scholar]
- Williams, P.L.; Beer, R.D. Nonnegative decomposition of multivariate information. arXiv 2017, arXiv:1004.2515. [Google Scholar]
- Geiger, B.C.; Kubin, G. On the information loss in memoryless systems: The multivariate case. arXiv 2011, arXiv:1109.4856. [Google Scholar]








Disclaimer/Publisher’s Note: The statements, opinions and data contained in all publications are solely those of the individual author(s) and contributor(s) and not of MDPI and/or the editor(s). MDPI and/or the editor(s) disclaim responsibility for any injury to people or property resulting from any ideas, methods, instructions or products referred to in the content. |
© 2022 by the authors. Licensee MDPI, Basel, Switzerland. This article is an open access article distributed under the terms and conditions of the Creative Commons Attribution (CC BY) license (https://creativecommons.org/licenses/by/4.0/).
Share and Cite
Zhang, J.; Liu, K. Neural Information Squeezer for Causal Emergence. Entropy 2023, 25, 26. https://doi.org/10.3390/e25010026
Zhang J, Liu K. Neural Information Squeezer for Causal Emergence. Entropy. 2023; 25(1):26. https://doi.org/10.3390/e25010026
Chicago/Turabian StyleZhang, Jiang, and Kaiwei Liu. 2023. "Neural Information Squeezer for Causal Emergence" Entropy 25, no. 1: 26. https://doi.org/10.3390/e25010026
APA StyleZhang, J., & Liu, K. (2023). Neural Information Squeezer for Causal Emergence. Entropy, 25(1), 26. https://doi.org/10.3390/e25010026

