Stochastic Thermodynamics of an Electromagnetic Energy Harvester
Abstract
1. Introduction
2. Experimental Setup
3. Theoretical Model
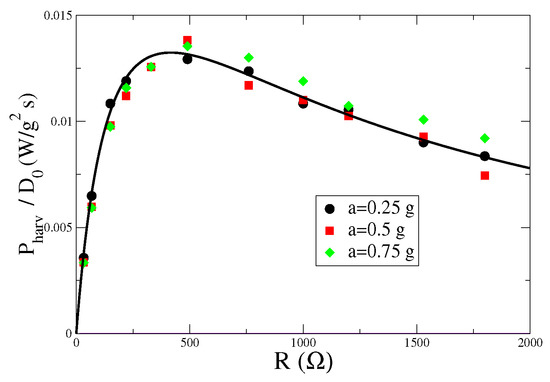
Fitting Parameters
4. Temporal Autocorrelation Function
5. Stochastic Energetics
6. Conclusions
Author Contributions
Funding
Institutional Review Board Statement
Informed Consent Statement
Data Availability Statement
Acknowledgments
Conflicts of Interest
Appendix A
References
- Reimann, P. Brownian motors: Noisy transport far from equilibrium. Phys. Rep. 2002, 361, 57. [Google Scholar] [CrossRef]
- den Broeck, C.V.; Kawai, R. Microscopic Analysis of a Thermal Brownian Motor. Phys. Rev. Lett. 2004, 93, 090601. [Google Scholar] [CrossRef] [PubMed]
- Di Leonardo, R.; Angelani, L.; Dell’Arciprete, D.; Ruocco, G.; Iebba, V.; Schippa, S.; Conte, M.P.; Mecarini, F.; De Angelis, F.; Di Fabrizio, E. Bacterial ratchet motors. Proc. Natl. Acad. Sci. USA 2010, 107, 9541–9545. [Google Scholar] [CrossRef] [PubMed]
- Gnoli, A.; Petri, A.; Dalton, F.; Pontuale, G.; Gradenigo, G.; Sarracino, A.; Puglisi, A. Brownian ratchet in a thermal bath driven by coulomb friction. Phys. Rev. Lett. 2013, 110, 120601. [Google Scholar] [CrossRef] [PubMed]
- Sodano, H.A.; Inman, D.J.; Park, G. Comparison of piezoelectric energy harvesting devices for recharging batteries. J. Intell. Mater. Syst. Struct. 2005, 16, 799–807. [Google Scholar] [CrossRef]
- Seifert, U. Entropy production along a stochastic trajectory and an integral fluctuation theorem. Phys. Rev. Lett. 2005, 95, 040602. [Google Scholar] [CrossRef]
- Peliti, L.; Pigolotti, S. Stochastic Thermodynamics: An Introduction; Princeton University Press: Princeton, NJ, USA, 2021. [Google Scholar]
- Aurell, E.; Mejía-Monasterio, C.; Muratore-Ginanneschi, P. Optimal protocols and optimal transport in stochastic thermodynamics. Phys. Rev. Lett. 2011, 106, 250601. [Google Scholar] [CrossRef]
- Gallavotti, G.; Cohen, E.G.D. Dynamical ensembles in stationary states. J. Stat. Phys. 1995, 80, 931. [Google Scholar] [CrossRef]
- Evans, D.J.; Cohen, E.G.D.; Morriss, G.P. Probability of second law violations in shearing steady flows. Phys. Rev. Lett. 1993, 71, 2401. [Google Scholar] [CrossRef] [PubMed]
- Marconi, U.M.B.; Puglisi, A.; Rondoni, L.; Vulpiani, A. Fluctuation-dissipation: Response theory in statistical physics. Phys. Rep. 2008, 461, 111. [Google Scholar] [CrossRef]
- De Gregorio, P.; Rondoni, L.; Bonaldi, M.; Conti, L. Harmonic damped oscillators with feedback: A Langevin study. J. Stat. Mech. Theory Exp. 2009, 2009, P10016. [Google Scholar] [CrossRef]
- Ciliberto, S. Experiments in stochastic thermodynamics: Short history and perspectives. Phys. Rev. X 2017, 7, 021051. [Google Scholar] [CrossRef]
- Kazmierski, T.J.; Beeby, S. Energy harvesting systems. In Principles, Modeling and Applications; Springer Science + Business Media LLC: New York, NY, USA, 2011. [Google Scholar]
- Newell, D.; Duffy, M. Review of power conversion and energy management for low-power, low-voltage energy harvesting powered wireless sensors. IEEE Trans. Power Electron. 2019, 34, 9794–9805. [Google Scholar] [CrossRef]
- Harb, A. Energy harvesting: State-of-the-art. Renew. Energy 2011, 36, 2641–2654. [Google Scholar] [CrossRef]
- Costanzo, L.; Lin, T.; Lin, W.; Lo Schiavo, A.; Vitelli, M.; Zuo, L. Power electronic interface with an adaptive MPPT technique for train suspension energy harvesters. IEEE Trans. Ind. Electron. 2021, 68, 8219–8230. [Google Scholar] [CrossRef]
- Costanzo, L.; Liu, M.; Lo Schiavo, A.; Vitelli, M.; Zuo, L. Backpack energy harvesting system with maximum power point tracking capability. IEEE Trans. Ind. Electron. 2022, 69, 506–516. [Google Scholar] [CrossRef]
- Welcome to the World of Vibrations. Available online: https://www.revibeenergy.com/ (accessed on 24 May 2022).
- Perpetuum Technology. Available online: https://perpetuum.com/technology/ (accessed on 24 May 2022).
- Qi, L.; Pan, H.; Pan, Y.; Luo, D.; Yan, J.; Zhang, Z. A review of vibration energy harvesting in rail transportation field. Iscience 2022, 25, 103849. [Google Scholar] [CrossRef]
- Prajwal, K.; Manickavasagam, K.; Suresh, R. A review on vibration energy harvesting technologies: Analysis and technologies. Eur. Phys. J. Spec. Top. 2022, 231, 1359–1371. [Google Scholar] [CrossRef]
- Costanzo, L.; Lo Schiavo, A.; Vitelli, M. Improving the Electromagnetic Vibration Energy Harvester Performance by Using a Double Coil Structure. Appl. Sci. 2022, 12, 1166. [Google Scholar] [CrossRef]
- Costanzo, L.; Lo Schiavo, A.; Vitelli, M. Analytical Study of Piezoelectric Harvesters With SECE and SSHI Under Variable Excitation. IEEE Trans. Ind. Appl. 2022, 58, 2280–2290. [Google Scholar] [CrossRef]
- Quaranta, G.; Trentadue, F.; Maruccio, C.; Marano, G.C. Analysis of piezoelectric energy harvester under modulated and filtered white Gaussian noise. Mech. Syst. Signal Process. 2018, 104, 134–144. [Google Scholar] [CrossRef]
- Cryns, J.W.; Hatchell, B.K.; Santiago-Rojas, E.; Silvers, K.L. Experimental analysis of a piezoelectric energy harvesting system for harmonic, random, and sine on random vibration. Adv. Acoust. Vib. 2013, 2013, 241025. [Google Scholar] [CrossRef][Green Version]
- Costanzo, L.; Lo Schiavo, A.; Sarracino, A.; Vitelli, M. Stochastic thermodynamics of a piezoelectric energy harvester model. Entropy 2021, 23, 677. [Google Scholar] [CrossRef] [PubMed]
- Foupouapouognigni, O.; Buckjohn, C.N.D.; Siewe, M.S.; Tchawoua, C. Hybrid electromagnetic and piezoelectric vibration energy harvester with Gaussian white noise excitation. Phys. A Stat. Mech. Its Appl. 2018, 509, 346–360. [Google Scholar] [CrossRef]
- Fezeu, G.; Fokou, I.; Buckjohn, C.; Siewe, M.S.; Tchawoua, C. Probabilistic analysis and ghost-stochastic resonance of a hybrid energy harvester under Gaussian White noise. Meccanica 2020, 55, 1679–1691. [Google Scholar] [CrossRef]
- Loong, C.N.; Chang, C.C. Performance of a nonlinear electromagnetic energy harvester–structure system under random excitation. J. Eng. Mech. 2020, 146, 04020098. [Google Scholar] [CrossRef]
- Shen, W.; Zhu, S.; Zhu, H. Unify energy harvesting and vibration control functions in randomly excited structures with electromagnetic devices. J. Eng. Mech. 2019, 145, 04018115. [Google Scholar] [CrossRef]
- Munakata, T.; Rosinberg, M. Entropy production and fluctuation theorems for Langevin processes under continuous non-Markovian feedback control. Phys. Rev. Lett. 2014, 112, 180601. [Google Scholar] [CrossRef]
- Munakata, T.; Rosinberg, M. Feedback cooling, measurement errors, and entropy production. J. Stat. Mech. Theory Exp. 2013, 2013, P06014. [Google Scholar] [CrossRef]
- Costanzo, L.; Vitelli, M. Tuning techniques for piezoelectric and electromagnetic vibration energy harvesters. Energies 2020, 13, 527. [Google Scholar] [CrossRef]
- Laurent, P.; Fagnard, J.F.; Dupont, F.; Redouté, J.M. Optimization of the Power Flow Generated by an AC Energy Harvester for Variable Operating Conditions. IEEE Trans. Circuits Syst. I Regul. Pap. 2022, 69, 2625–2636. [Google Scholar] [CrossRef]
- Wang, L.; Wang, H.; Fu, M.; Xie, Z.; Liang, J. Three-Port Power Electronic Interface With Decoupled Voltage Regulation and MPPT in Electromagnetic Energy Harvesting Systems. IEEE Trans. Ind. Appl. 2021, 58, 2144–2154. [Google Scholar] [CrossRef]
- Costanzo, L.; Lo Schiavo, A.; Vitelli, M. Design guidelines for the perturb and observe technique for electromagnetic vibration energy harvesters feeding bridge rectifiers. IEEE Trans. Ind. Appl. 2019, 55, 5089–5098. [Google Scholar] [CrossRef]
- Eichhorn, C.; Tchagsim, R.; Wilhelm, N.; Woias, P. A smart and self-sufficient frequency tunable vibration energy harvester. J. Micromech. Microeng. 2011, 21, 104003. [Google Scholar] [CrossRef]
- Risken, H. Fokker-planck equation. In The Fokker-Planck Equation; Springer: New York, NY, USA, 1996. [Google Scholar]
- Sekimoto, K. Stochastic Energetics; Springer: New York, NY, USA, 2010. [Google Scholar]






Publisher’s Note: MDPI stays neutral with regard to jurisdictional claims in published maps and institutional affiliations. |
© 2022 by the authors. Licensee MDPI, Basel, Switzerland. This article is an open access article distributed under the terms and conditions of the Creative Commons Attribution (CC BY) license (https://creativecommons.org/licenses/by/4.0/).
Share and Cite
Costanzo, L.; Lo Schiavo, A.; Sarracino, A.; Vitelli, M. Stochastic Thermodynamics of an Electromagnetic Energy Harvester. Entropy 2022, 24, 1222. https://doi.org/10.3390/e24091222
Costanzo L, Lo Schiavo A, Sarracino A, Vitelli M. Stochastic Thermodynamics of an Electromagnetic Energy Harvester. Entropy. 2022; 24(9):1222. https://doi.org/10.3390/e24091222
Chicago/Turabian StyleCostanzo, Luigi, Alessandro Lo Schiavo, Alessandro Sarracino, and Massimo Vitelli. 2022. "Stochastic Thermodynamics of an Electromagnetic Energy Harvester" Entropy 24, no. 9: 1222. https://doi.org/10.3390/e24091222
APA StyleCostanzo, L., Lo Schiavo, A., Sarracino, A., & Vitelli, M. (2022). Stochastic Thermodynamics of an Electromagnetic Energy Harvester. Entropy, 24(9), 1222. https://doi.org/10.3390/e24091222

