Folding Free Energy Determination of an RNA Three-Way Junction Using Fluctuation Theorems
Abstract
1. Introduction
2. Materials and Methods
2.1. Synthesis and Single-Molecule Experiments
2.2. Free-Energy Difference Determination: A Reminder
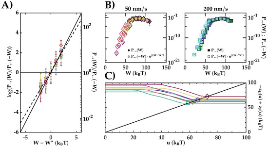
2.2.1. The Extended Crooks Fluctuation Theorem (ECFT)
2.2.2. The Extended Jarzynski Equality (EJE)
2.2.3. The Bennet’s Acceptance Ratio (BAR)
2.2.4. The Matching Method
3. Results
4. Discussion
Author Contributions
Funding
Institutional Review Board Statement
Informed Consent Statement
Data Availability Statement
Conflicts of Interest
Appendix A. Results for the Native Structure
| Pulling Speed | 50 nm/s | 200 nm/s | ||||||
|---|---|---|---|---|---|---|---|---|
| Molecule | 1 | 2 | 3 | 4 | 5 | 6 | 7 | 8 |
| Total cycles | 73 | 172 | 91 | 121 | 297 | 231 | 166 | 144 |
| Native cycles | 39 | 71 | 52 | 73 | 227 | 181 | 125 | 114 |
| 86 | 83 | 77 | 84 | 91 | 92 | 85 | 85 | |
| 9 | 10 | 8 | 9 | 11 | 11 | 11 | 10 | |
| 53 | 48 | 44 | 51 | 51 | 52 | 46 | 43 | |
| 5 | 6 | 5 | 5 | 5 | 5 | 6 | 5 | |
| 19 | 20 | 19 | 19 | 27 | 30 | 28 | 26 | |
| 14 | 14 | 14 | 14 | 13 | 10 | 12 | 17 | |
| R | 2.2 | 2.5 | 1.5 | 1.9 | 2.2 | 1.9 | 2.1 | 2 |
| R | 0.74 | 1.2 | 0.8 | 0.8 | 1 | 1 | 1.3 | 0.7 |
| 69 | 62 | 60 | 67 | 65 | 62 | 58 | 64 | |
| 61 | 60 | 56 | 58 | 61 | 59 | 54 | 53 | |
| ECFT | 62 | 58 | 54 | 62 | 64 | 62 | 57 | 56 |
| slopes | 1.00 | 0.79 | 1.19 | 0.73 | 0.68 | 0.86 | 0.70 | 0.99 |
| BAR | 69 | 62 | 60 | 67 | 65 | 62 | 58 | 64 |
| 0.5 | 0.4 | 0.6 | 0.6 | 0.8 | 0.8 | 0.8 | 0.8 | |
| −2.6 | −3.6 | −2.3 | −2.1 | −1.1 | −1 | −1.2 | −1 | |
Appendix B. Results for the Misfolded Structure
| Pulling Speed | 50 nm/s | 200 nm/s | ||||||
|---|---|---|---|---|---|---|---|---|
| Molecule | 1 | 2 | 3 | 4 | 5 | 6 | 7 | 8 |
| 50 | 50 | 48 | 51 | 51 | 50 | 50 | 50 | |
| 5 | 3 | 4 | 5 | 3 | 4 | 3 | 3 | |
| 44 | 46 | 46 | 48 | 46 | 45 | 47 | 46 | |
| 5 | 4 | 4 | 4 | 4 | 4 | 4 | 4 | |
| 2 | 1 | 1 | 1 | 1 | 1 | 1 | 1 | |
| 3 | 3 | 2 | 2 | 4 | 4 | 4 | 4 | |
| 47 | 48 | 47 | 50 | 49 | 48 | 49 | 48 | |
| 47 | 48 | 47 | 49 | 49 | 48 | 49 | 48 | |
| ECFT | 49 | 49 | 49 | 52 | 52 | 51 | 54 | 52 |
| BAR | 49 | 49 | 47 | 49 | 52 | 50 | 53 | 53 |
| 0.5 | 0.6 | 0.4 | 0.4 | 0.2 | 0.2 | 0.2 | 0.2 | |
| −2.9 | −2.1 | −3.8 | −3.8 | −6.7 | −6.7 | −6.7 | −6.7 | |

References
- Zaltron, A.; Merano, M.; Mistura, G.; Sada, C.; Seno, F. Optical tweezers in single-molecule experiments. Eur. Phys. J. Plus 2020, 135, 896. [Google Scholar] [CrossRef]
- Bustamante, C.J.; Chemla, Y.R.; Liu, S.; Wang, M.D. Optical tweezers in single-molecule biophysics. Nat. Rev. Methods Prim. 2021, 1, 1–29. [Google Scholar] [CrossRef] [PubMed]
- Collin, D.; Ritort, F.; Jarzynski, C.; Smith, S.B.; Tinoco, I.; Bustamante, C. Verification of the Crooks fluctuation theorem and recovery of RNA folding free energies. Nature 2005, 437, 231–234. [Google Scholar] [CrossRef] [PubMed]
- Woodside, M.T.; Block, S.M. Reconstructing folding energy landscapes by single-molecule force spectroscopy. Annu. Rev. Biophys. 2014, 43, 19–39. [Google Scholar] [CrossRef]
- Bustamante, C.; Alexander, L.; Maciuba, K.; Kaiser, C.M. Single-molecule studies of protein folding with optical tweezers. Annu. Rev. Biochem. 2020, 89, 443–470. [Google Scholar] [CrossRef]
- Rognoni, L.; Stigler, J.; Pelz, B.; Ylänne, J.; Rief, M. Dynamic force sensing of filamin revealed in single-molecule experiments. Proc. Natl. Acad. Sci. USA 2012, 109, 19679–19684. [Google Scholar] [CrossRef]
- Kim, E.; Lee, S.; Jeon, A.; Choi, J.M.; Lee, H.S.; Hohng, S.; Kim, H.S. A single-molecule dissection of ligand binding to a protein with intrinsic dynamics. Nat. Chem. Biol. 2013, 9, 313–318. [Google Scholar] [CrossRef]
- Camunas-Soler, J.; Alemany, A.; Ritort, F. Experimental measurement of binding energy, selectivity, and allostery using fluctuation theorems. Science 2017, 355, 412–415. [Google Scholar] [CrossRef]
- Woodside, M.T.; Behnke-Parks, W.M.; Larizadeh, K.; Travers, K.; Herschlag, D.; Block, S.M. Nanomechanical measurements of the sequence-dependent folding landscapes of single nucleic acid hairpins. Proc. Natl. Acad. Sci. USA 2006, 103, 6190–6195. [Google Scholar] [CrossRef]
- Wen, J.D.; Manosas, M.; Li, P.T.; Smith, S.B.; Bustamante, C.; Ritort, F.; Tinoco, I. Force Unfolding Kinetics of RNA Using Optical Tweezers. I. Effects of Experimental Variables on Measured Results. Biophys. J. 2007, 92, 2996–3009. [Google Scholar] [CrossRef]
- Manosas, M.; Wen, J.D.; Li, P.; Smith, S.; Bustamante, C.; Tinoco, I.; Ritort, F. Force Unfolding Kinetics of RNA using Optical Tweezers. II. Modeling Experiments. Biophys. J. 2007, 92, 3010–3021. [Google Scholar] [CrossRef] [PubMed]
- Li, P.T.; Vieregg, J.; Tinoco, I. How RNA Unfolds and Refolds. Annu. Rev. Biochem. 2008, 77, 77–100. [Google Scholar] [CrossRef] [PubMed]
- Gebhardt, J.C.M.; Bornschlögl, T.; Rief, M. Full distance-resolved folding energy landscape of one single protein molecule. Proc. Natl. Acad. Sci. USA 2010, 107, 2013–2018. [Google Scholar] [CrossRef] [PubMed]
- Elms, P.J.; Chodera, J.D.; Bustamante, C.J.; Marqusee, S. Limitations of constant-force-feedback experiments. Biophys. J. 2012, 103, 1490–1499. [Google Scholar] [CrossRef] [PubMed]
- Neupane, K.; Manuel, A.P.; Woodside, M.T. Protein folding trajectories can be described quantitatively by one-dimensional diffusion over measured energy landscapes. Nat. Phys. 2016, 12, 700–703. [Google Scholar] [CrossRef]
- Alonso-Caballero, A.; Tapia-Rojo, R.; Badilla, C.L.; Fernandez, J.M. Magnetic tweezers meets AFM: Ultra-stable protein dynamics across the force spectrum. bioRxiv 2021. [Google Scholar] [CrossRef]
- Rico-Pasto, M.; Alemany, A.; Ritort, F. Force-Dependent Folding Kinetics of Single Molecules with Multiple Intermediates and Pathways. J. Phys. Chem. Lett. 2022, 13, 1025–1032. [Google Scholar] [CrossRef]
- Hummer, G.; Szabo, A. Free energy profiles from single-molecule pulling experiments. Proc. Natl. Acad. Sci. USA 2010, 107, 21441–21446. [Google Scholar] [CrossRef]
- Huguet, J.M.; Bizarro, C.V.; Forns, N.; Smith, S.B.; Bustamante, C.; Ritort, F. Single-molecule derivation of salt dependent base-pair free energies in DNA. Proc. Natl. Acad. Sci. USA 2010, 107, 15431–15436. [Google Scholar] [CrossRef]
- Edwards, D.T.; LeBlanc, M.A.; Perkins, T.T. Modulation of a protein-folding landscape revealed by AFM-based force spectroscopy notwithstanding instrumental limitations. Proc. Natl. Acad. Sci. USA 2021, 118, e2015728118. [Google Scholar] [CrossRef]
- Rissone, P.; Bizarro, C.V.; Ritort, F. Stem–loop formation drives RNA folding in mechanical unzipping experiments. Proc. Natl. Acad. Sci. USA 2022, 119, e2025575119. [Google Scholar] [CrossRef] [PubMed]
- Rico-Pasto, M.; Zaltron, A.; Davis, S.J.; Frutos, S.; Ritort, F. Molten globule-like transition state of protein barnase measured with calorimetric force spectroscopy. Proc. Natl. Acad. Sci. USA 2022, 119, e2112382119. [Google Scholar] [CrossRef] [PubMed]
- Crooks, G.E. Entropy production fluctuation theorem and the nonequilibrium work relation for free energy differences. Phys. Rev. E 1999, 60, 2721–2726. [Google Scholar] [CrossRef] [PubMed]
- Jarzynski, C. Nonequilibrium Equality for Free Energy Differences. Phys. Rev. Lett. 1997, 78, 2690–2693. [Google Scholar] [CrossRef]
- Baker, K.A.; Lamichhane, R.; Lamichhane, T.; Rueda, D.; Cunningham, P.R. Protein–RNA Dynamics in the Central Junction Control 30S Ribosome Assembly. J. Mol. Biol. 2016, 428, 3615–3631. [Google Scholar] [CrossRef]
- Manosas, M.; Ritort, F. Thermodynamic and kinetic aspects of RNA pulling experiments. Biophys. J. 2005, 88, 3224–3242. [Google Scholar] [CrossRef]
- Junier, I.; Mossa, A.; Manosas, M.; Ritort, F. Recovery of Free Energy Branches in Single Molecule Experiments. Phys. Rev. Lett. 2009, 102, 070602. [Google Scholar] [CrossRef]
- Alemany, A.; Mossa, A.; Junier, I.; Ritort, F. Experimental free-energy measurements of kinetic molecular states using fluctuation theorems. Nat. Phys. 2012, 8, 688–694. [Google Scholar] [CrossRef]
- Bennett, C.H. Efficient estimation of free energy differences from Monte Carlo data. J. Comput. Phys. 1976, 22, 245–268. [Google Scholar] [CrossRef]
- Zuker, M. Mfold web server for nucleic acid folding and hybridization prediction. Nucleic Acids Res. 2003, 31, 3406–3415. [Google Scholar] [CrossRef]
- Lorenz, R.; Bernhart, S.H.; Höner zu Siederdissen, C.; Tafer, H.; Flamm, C.; Stadler, P.F.; Hofacker, I.L. ViennaRNA Package 2.0. Algorithms Mol. Biol. 2011, 6, 1–14. [Google Scholar] [CrossRef] [PubMed]
- Li, P.T.X.; Bustamante, C.; Tinoco, I. Real-time control of the energy landscape by force directs the folding of RNA molecules. Proc. Natl. Acad. Sci. USA 2007, 104, 7039–7044. [Google Scholar] [CrossRef]
- Zhong, Z.; Soh, L.H.; Lim, M.H.; Chen, G. A U·U Pair-to-U·C Pair Mutation-Induced RNA Native Structure Destabilisation and Stretching-Force-Induced RNA Misfolding. ChemPlusChem 2015, 80, 1267–1278. [Google Scholar] [CrossRef] [PubMed]
- Hummer, G. Fast-growth thermodynamic integration: Error and efficiency analysis. J. Chem. Phys. 2001, 114, 7330–7337. [Google Scholar] [CrossRef]
- Severino, A.; Martinez-Monge, A.; Rissone, P.; Ritort, F. Efficient methods for determining folding free energies in single-molecule pulling experiments. J. Stat. Mech. Theory Exp. 2019, 2019, 124001. [Google Scholar] [CrossRef]
- Bouchiat, C.; Wang, M.D.; Allemand, J.; Strick, T.; Block, S.M.; Croquette, V. Estimating the persistence length of a worm-like chain molecule from force-extension measurements. Biophys. J. 1999, 76, 409–413. [Google Scholar] [CrossRef]
- Bizarro, C.V.; Alemany, A.; Ritort, F. Non-specific binding of Na+ and Mg2+ to RNA determined by force spectroscopy methods. Nucleic Acids Res. 2012, 40, 6922–6935. [Google Scholar] [CrossRef][Green Version]
- Bosco, A.; Camunas-Soler, J.; Ritort, F. Elastic properties and secondary structure formation of single-stranded DNA at monovalent and divalent salt conditions. Nucleic Acids Res. 2013, 42, 2064–2074. [Google Scholar] [CrossRef]
- Yang, D.; Liu, W.; Deng, X.; Xie, W.; Chen, H.; Zhong, Z.; Ma, J. GC-Content Dependence of Elastic and Overstretching Properties of DNA:RNA Hybrid Duplexes. Biophys. J. 2020, 119, 852–861. [Google Scholar] [CrossRef]
- Zhang, C.; Fu, H.; Yang, Y.; Zhou, E.; Tan, Z.; You, H.; Zhang, X. The Mechanical Properties of RNA-DNA Hybrid Duplex Stretched by Magnetic Tweezers. Biophys. J. 2019, 116, 196–204. [Google Scholar] [CrossRef]
- Liu, J.H.; Xi, K.; Zhang, X.; Bao, L.; Zhang, X.; Tan, Z.J. Structural Flexibility of DNA-RNA Hybrid Duplex: Stretching and Twist-Stretch Coupling. Biophys. J. 2019, 117, 74–86. [Google Scholar] [CrossRef] [PubMed]
- Forns, N.; de Lorenzo, S.; Manosas, M.; Hayashi, K.; Huguet, J.M.; Ritort, F. Improving signal/noise resolution in single-molecule experiments using molecular constructs with short handles. Biophys. J. 2011, 100, 1765–1774. [Google Scholar] [CrossRef]
- Palassini, M.; Ritort, F. Improving Free-Energy Estimates from Unidirectional Work Measurements: Theory and Experiment. Phys. Rev. Lett. 2011, 107, 060601. [Google Scholar] [CrossRef]
- Manosas, M.; Junier, I.; Ritort, F. Force-induced misfolding in RNA. Phys. Rev. E 2008, 78, 061925. [Google Scholar] [CrossRef] [PubMed]
- SantaLucia, J. A unified view of polymer, dumbbell, and oligonucleotide DNA nearest-neighbor thermodynamics. Proc. Natl. Acad. Sci. USA 1998, 95, 1460–1465. [Google Scholar] [CrossRef] [PubMed]
- Gore, J.; Ritort, F.; Bustamante, C. Bias and error in estimates of equilibrium free-energy differences from nonequilibrium measurements. Proc. Natl. Acad. Sci. USA 2003, 100, 12564–12569. [Google Scholar] [CrossRef]




| Pulling Speed | ||||||||
|---|---|---|---|---|---|---|---|---|
| 50 nm/s | 82 (2) | 8.8 (0.6) | 49 (2) | 4.9 (0.3) | 20 (2) | 13 (2) | 2.0 (0.2) | 0.9 (0.1) |
| 200 nm/s | 88 (2) | 10.7 (0.2) | 48 (2) | 5.0 (0.2) | 28 (2) | 13 (2) | 2.0 (0.2) | 1 (0.1) |
| EJE→ | EJE← | ECFT | BAR | ||||
|---|---|---|---|---|---|---|---|
| 50 nm/s | 65 (2) | 58 (2) | 59 (2) | 65 (2) | 0.53 (0.04) | −2.7 (0.4) | 62 (2) |
| 200 nm/s | 62 (2) | 57 (2) | 60 (2) | 62 (2) | 0.77 (0.01) | −1.1 (0.1) | 60 (1) |
| Both | 63 (1) | 58 (1) | 59 (1) | 63 (1) | - | - | 61 (1) |
| Data | R | |||
|---|---|---|---|---|
| 50 nm/s | Original | 33 | 10 | 1.4 |
| Mixed | 34 | 10 | 1.6 | |
| 200 nm/s | Original | 40 | 11 | 1.5 |
| Mixed | 40 | 12 | 1.8 |
Publisher’s Note: MDPI stays neutral with regard to jurisdictional claims in published maps and institutional affiliations. |
© 2022 by the authors. Licensee MDPI, Basel, Switzerland. This article is an open access article distributed under the terms and conditions of the Creative Commons Attribution (CC BY) license (https://creativecommons.org/licenses/by/4.0/).
Share and Cite
Aspas-Caceres, J.; Rico-Pasto, M.; Pastor, I.; Ritort, F. Folding Free Energy Determination of an RNA Three-Way Junction Using Fluctuation Theorems. Entropy 2022, 24, 895. https://doi.org/10.3390/e24070895
Aspas-Caceres J, Rico-Pasto M, Pastor I, Ritort F. Folding Free Energy Determination of an RNA Three-Way Junction Using Fluctuation Theorems. Entropy. 2022; 24(7):895. https://doi.org/10.3390/e24070895
Chicago/Turabian StyleAspas-Caceres, Jaime, Marc Rico-Pasto, Isabel Pastor, and Felix Ritort. 2022. "Folding Free Energy Determination of an RNA Three-Way Junction Using Fluctuation Theorems" Entropy 24, no. 7: 895. https://doi.org/10.3390/e24070895
APA StyleAspas-Caceres, J., Rico-Pasto, M., Pastor, I., & Ritort, F. (2022). Folding Free Energy Determination of an RNA Three-Way Junction Using Fluctuation Theorems. Entropy, 24(7), 895. https://doi.org/10.3390/e24070895

