A Well-Balanced Unified Gas-Kinetic Scheme for Multicomponent Flows under External Force Field
Abstract
1. Introduction
2. Kinetic Theory
2.1. Boltzmann Equation and Relaxation Model
2.2. Asymptotic Analysis
3. Numerical Algorithm
3.1. Construction of Interface Distribution Function
3.2. Two-Dimensional Case
3.3. Update Algorithm
3.4. Analysis on the Well-Balanced Property
3.5. Summary of the Algorithm
4. Numerical Experiments
4.1. Validation
4.1.1. Normal Shock Structure
4.1.2. Fourier Flow
4.2. Perturbed Hydrostatic Equilibrium Solution
4.3. Riemann Problem under an External Force Field
4.4. Rayleigh–Taylor Instability
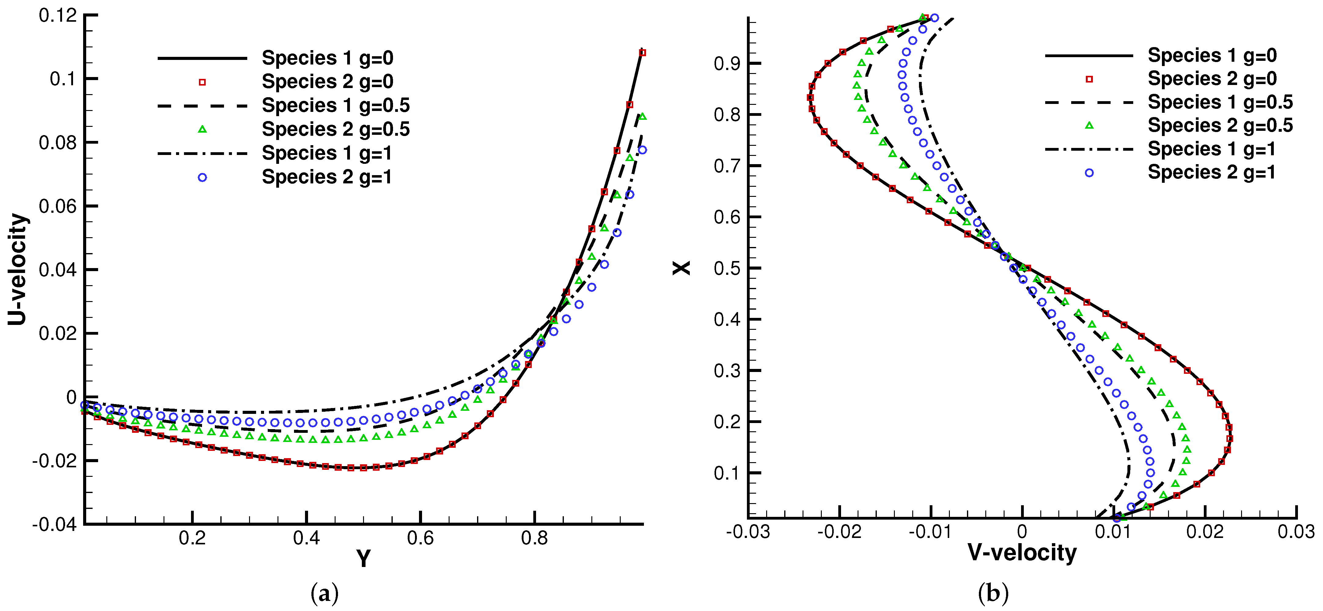
4.5. Lid-Driven Cavity under Gravity
5. Conclusions
Funding
Institutional Review Board Statement
Informed Consent Statement
Data Availability Statement
Conflicts of Interest
References
- Abgrall, R. How to Prevent Pressure Oscillations in Multicomponent Flow Calculations: A Quasi Conservative Approach. J. Comput. Phys. 1996, 125, 150–160. [Google Scholar] [CrossRef]
- Fedkiw, R.P.; Aslam, T.; Merriman, B.; Osher, S. A Non-oscillatory Eulerian Approach to Interfaces in Multimaterial Flows (the Ghost Fluid Method). J. Comput. Phys. 1999, 152, 457–492. [Google Scholar] [CrossRef]
- LeVeque, R.J.; Bale, D.S. Wave propagation methods for conservation laws with source terms. In Hyperbolic Problems: Theory, Numerics, Applications; Birkhäuser: Basel, Switzerland, 1999; pp. 609–618. [Google Scholar]
- Botta, N.; Klein, R.; Langenberg, S.; Lützenkirchen, S. Well balanced finite volume methods for nearly hydrostatic flows. J. Comput. Phys. 2004, 196, 539–565. [Google Scholar] [CrossRef]
- Xing, Y.; Shu, C.W. High order well-balanced WENO scheme for the gas dynamics equations under gravitational fields. J. Sci. Comput. 2013, 54, 645–662. [Google Scholar] [CrossRef]
- Tian, C.; Xu, K.; Chan, K.; Deng, L. A three-dimensional multidimensional gas-kinetic scheme for the Navier–Stokes equations under gravitational fields. J. Comput. Phys. 2007, 226, 2003–2027. [Google Scholar] [CrossRef]
- Luo, J.; Xu, K.; Liu, N. A well-balanced symplecticity-preserving gas-kinetic scheme for hydrodynamic equations under gravitational field. SIAM J. Sci. Comput. 2011, 33, 2356–2381. [Google Scholar] [CrossRef]
- Chen, S.; Guo, Z.; Xu, K. A Well-Balanced Gas Kinetic Scheme for Navier–Stokes Equations with Gravitational Potential. Commun. Comput. Phys. 2020, 28, 902–926. [Google Scholar] [CrossRef]
- Xu, K.; Huang, J.C. A unified gas-kinetic scheme for continuum and rarefied flows. J. Comput. Phys. 2010, 229, 7747–7764. [Google Scholar] [CrossRef]
- Xu, K. Direct Modeling for Computational Fluid Dynamics: Construction and Application of Unified Gas-Kinetic Schemes; World Scientific: Singapore, 2015. [Google Scholar]
- Xiao, T.; Cai, Q.; Xu, K. A well-balanced unified gas-kinetic scheme for multiscale flow transport under gravitational field. J. Comput. Phys. 2017, 332, 475–491. [Google Scholar] [CrossRef]
- Prestininzi, P.; La Rocca, M.; Montessori, A.; Sciortino, G. A gas-kinetic model for 2D transcritical shallow water flows propagating over dry bed. Comput. Math. Appl. 2014, 68, 439–453. [Google Scholar] [CrossRef]
- Schotthöfer, S.; Xiao, T.; Frank, M.; Hauck, C.D. Structure Preserving Neural Networks: A Case Study in the Entropy Closure of the Boltzmann Equation. In Proceedings of the International Conference on Machine Learning, PMLR, Baltimore, MD, USA, 17–23 July 2022; pp. 19406–19433. [Google Scholar]
- Xiao, T.; Frank, M. A stochastic kinetic scheme for multi-scale plasma transport with uncertainty quantification. J. Comput. Phys. 2021, 432, 110139. [Google Scholar] [CrossRef]
- Bhatnagar, P.L.; Gross, E.P.; Krook, M. A model for collision processes in gases. I. Small amplitude processes in charged and neutral one-component systems. Phys. Rev. 1954, 94, 511. [Google Scholar] [CrossRef]
- Andries, P.; Aoki, K.; Perthame, B. A consistent BGK-type model for gas mixtures. J. Stat. Phys. 2002, 106, 993–1018. [Google Scholar] [CrossRef]
- Morse, T. Energy and momentum exchange between nonequipartition gases. Phys. Fluids 1963, 6, 1420–1427. [Google Scholar] [CrossRef]
- Bird, R.B. Transport phenomena. Appl. Mech. Rev. 2002, 55, R1–R4. [Google Scholar] [CrossRef]
- Slyz, A.; Prendergast, K.H. Time-independent gravitational fields in the BGK scheme for hydrodynamics. Astron. Astrophys. Suppl. Ser. 1999, 139, 199–217. [Google Scholar] [CrossRef][Green Version]
- Xiao, T.; Xu, K.; Cai, Q.; Qian, T. An investigation of non-equilibrium heat transport in a gas system under an external force field. Int. J. Heat Mass Transf. 2018, 126, 362–379. [Google Scholar] [CrossRef]
- Xiao, T. Kinetic. jl: A portable finite volume toolbox for scientific and neural computing. J. Open Source Softw. 2021, 6, 3060. [Google Scholar] [CrossRef]
- Kosuge, S.; Aoki, K.; Takata, S. Shock-wave structure for a binary gas mixture: Finite-difference analysis of the Boltzmann equation for hard-sphere molecules. Eur. J. Mech.-B/Fluids 2001, 20, 87–126. [Google Scholar] [CrossRef]
- Wu, L.; White, C.; Scanlon, T.J.; Reese, J.M.; Zhang, Y. Deterministic numerical solutions of the Boltzmann equation using the fast spectral method. J. Comput. Phys. 2013, 250, 27–52. [Google Scholar] [CrossRef]
- Xiao, T.; Xu, K.; Cai, Q. A unified gas-kinetic scheme for multiscale and multicomponent flow transport. Appl. Math. Mech. 2019, 40, 355–372. [Google Scholar] [CrossRef]
- Rahman, M.; Saghir, M. Thermodiffusion or Soret effect: Historical review. Int. J. Heat Mass Transf. 2014, 73, 693–705. [Google Scholar] [CrossRef]
- Xiao, T. A flux reconstruction kinetic scheme for the Boltzmann equation. J. Comput. Phys. 2021, 447, 110689. [Google Scholar] [CrossRef]

























Publisher’s Note: MDPI stays neutral with regard to jurisdictional claims in published maps and institutional affiliations. |
© 2022 by the author. Licensee MDPI, Basel, Switzerland. This article is an open access article distributed under the terms and conditions of the Creative Commons Attribution (CC BY) license (https://creativecommons.org/licenses/by/4.0/).
Share and Cite
Xiao, T. A Well-Balanced Unified Gas-Kinetic Scheme for Multicomponent Flows under External Force Field. Entropy 2022, 24, 1110. https://doi.org/10.3390/e24081110
Xiao T. A Well-Balanced Unified Gas-Kinetic Scheme for Multicomponent Flows under External Force Field. Entropy. 2022; 24(8):1110. https://doi.org/10.3390/e24081110
Chicago/Turabian StyleXiao, Tianbai. 2022. "A Well-Balanced Unified Gas-Kinetic Scheme for Multicomponent Flows under External Force Field" Entropy 24, no. 8: 1110. https://doi.org/10.3390/e24081110
APA StyleXiao, T. (2022). A Well-Balanced Unified Gas-Kinetic Scheme for Multicomponent Flows under External Force Field. Entropy, 24(8), 1110. https://doi.org/10.3390/e24081110

