Colored Texture Analysis Fuzzy Entropy Methods with a Dermoscopic Application
Abstract
:1. Introduction
2. Colored Bidimensional Fuzzy Entropy
2.1. Single-Channel Approach
2.2. Multi-Channel Approach

2.3. Modified Multi-Channel Approach
2.4. Comparing Algorithms
3. Validation Tests and Medical Database
3.1. MIX(p) Processes
3.2. Colored Brodatz Images
3.3. Color Spaces
3.4. Co-Occurrence Matrices
- The 2D co-occurrence matrices were created considering 4 orientations (0, 45, 90, and 135), 4 inter-pixel distances (1, 2, 4, and 8), and 8 gray levels ( = 8) to be compared with .
- The 3D co-occurrence matrices were created considering 13 orientations [44], 4 inter-pixel distances (1, 2, 4, and 8), and 8 gray levels to be compared with and .
3.5. Medical Images
4. Results and Discussion
4.1. Sensitivity to Initial Parameters
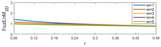
- For , the embedding dimension m was taken as 1, 2, 3, 4, and 5, and the tolerance level r from 0.06 up to 0.48 (step 0.06). The results are displayed in Figure 6.
- For , the embedding dimension m was taken as 1 and 2, since the maximum possible cube volume for -length cubes is pixels (given the 3 color channels). The results are displayed in Figure 7.
- For , the embedding dimension m was taken as 1, 2, 3, 4, and 5, and the tolerance level r from 0.06 up to 0.48 (step 0.06). The results are displayed in Figure 8.
4.2. Detecting Colored Image Irregularity
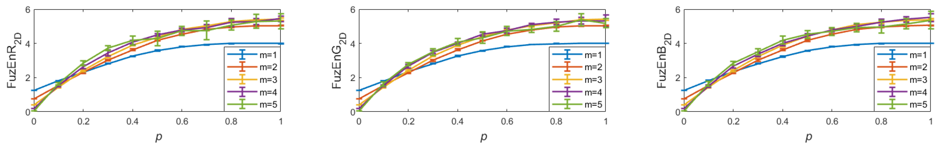
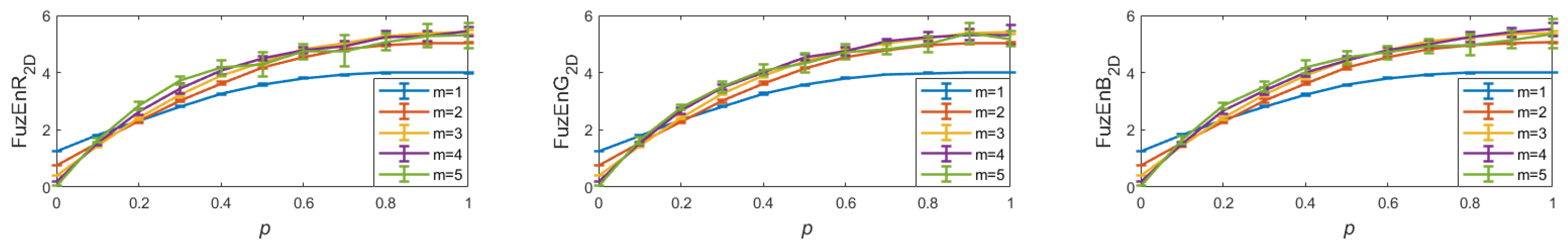
- : we set , , and to 1 with a step of , and repeated the calculation for 10 images each. The results are depicted in Figure 9.
- : we set , and (as the maximum possible cube volume for could only be pixels), to 1 with a step of , and repeated the calculation for 10 images each. The results are depicted in Figure 10.
- : we set , m, and, and to 1 with a step of , and repeated the calculation for 10 images each. The results are depicted in Figure 11.
4.3. Studying Texture Images
4.4. Medical Image Analysis
5. Conclusions
- Studying the sensitivity of the proposed measures to different initial parameters (tolerance level r and window size m).
- Identifying different irregularity degrees in colored images.
- Studying colored texture images in three color spaces.
- Analyzing medical images in three color spaces.
Author Contributions
Funding
Institutional Review Board Statement
Informed Consent Statement
Data Availability Statement
Conflicts of Interest
References
- Humeau-Heurtier, A. Texture feature extraction methods: A survey. IEEE Access 2019, 7, 8975–9000. [Google Scholar] [CrossRef]
- Song, T.; Feng, J.; Wang, S.; Xie, Y. Spatially weighted order binary pattern for color texture classification. Expert Syst. Appl. 2020, 147, 113167. [Google Scholar] [CrossRef]
- Liu, L.; Chen, J.; Fieguth, P.; Zhao, G.; Chellappa, R.; Pietikäinen, M. From BoW to CNN: Two decades of texture representation for texture classification. Int. J. Comput. Vis. 2019, 127, 74–109. [Google Scholar] [CrossRef] [Green Version]
- Liu, L.; Fieguth, P.; Guo, Y.; Wang, X.; Pietikäinen, M. Local binary features for texture classification: Taxonomy and experimental study. Pattern Recognit. 2017, 62, 135–160. [Google Scholar] [CrossRef] [Green Version]
- Nguyen, T.P.; Vu, N.S.; Manzanera, A. Statistical binary patterns for rotational invariant texture classification. Neurocomputing 2016, 173, 1565–1577. [Google Scholar] [CrossRef]
- Qi, X.; Zhao, G.; Shen, L.; Li, Q.; Pietikäinen, M. LOAD: Local orientation adaptive descriptor for texture and material classification. Neurocomputing 2016, 184, 28–35. [Google Scholar] [CrossRef] [Green Version]
- Wang, S.; Wu, Q.; He, X.; Yang, J.; Wang, Y. Local N-Ary pattern and its extension for texture Classification. IEEE Trans. Circuits Syst. Video Technol. 2015, 25, 1495–1506. [Google Scholar] [CrossRef]
- Zhang, J.; Liang, J.; Zhang, C.; Zhao, H. Scale invariant texture representation based on frequency decomposition and gradient orientation. Pattern Recognit. Lett. 2015, 51, 57–62. [Google Scholar] [CrossRef]
- Backes, A.R.; Martinez, A.S.; Bruno, O.M. Texture analysis using graphs generated by deterministic partially self-avoiding walks. Pattern Recognit. 2011, 44, 1684–1689. [Google Scholar] [CrossRef]
- Ghalati, M.K.; Nunes, A.; Ferreira, H.; Serranho, P.; Bernardes, R. Texture analysis and its applications in biomedical imaging: A survey. IEEE Rev. Biomed. Eng. 2021, 15, 222–246. [Google Scholar] [CrossRef]
- Yeh, J.R.; Lin, C.W.; Shieh, J.S. An approach of multiscale complexity in texture Analysis of lymphomas. IEEE Signal Process. Lett. 2011, 18, 239–242. [Google Scholar] [CrossRef]
- Silva, L.; Senra Filho, A.; Fazan, V.P.S.; Felipe, J.C.; Junior, L.M. Two-dimensional sample entropy: Assessing image texture through irregularity. Biomed. Phys. Eng. Express 2016, 2, 045002. [Google Scholar] [CrossRef]
- Dos Santos, L.F.S.; Neves, L.A.; Rozendo, G.B.; Ribeiro, M.G.; do Nascimento, M.Z.; Tosta, T.A.A. Multidimensional and fuzzy sample entropy (SampEnMF) for quantifying H&E histological images of colorectal cancer. Comput. Biol. Med. 2018, 103, 148–160. [Google Scholar]
- Azami, H.; Escudero, J.; Humeau-Heurtier, A. Bidimensional distribution entropy to analyze the irregularity of small-sized textures. IEEE Signal Process. Lett. 2017, 24, 1338–1342. [Google Scholar] [CrossRef] [Green Version]
- Silva, L.E.; Duque, J.J.; Felipe, J.C.; Murta Jr, L.O.; Humeau-Heurtier, A. Two-dimensional multiscale entropy analysis: Applications to image texture evaluation. Signal Process. 2018, 147, 224–232. [Google Scholar] [CrossRef]
- Humeau-Heurtier, A.; Omoto, A.C.M.; Silva, L.E. Bi-dimensional multiscale entropy: Relation with discrete Fourier transform and biomedical application. Comput. Biol. Med. 2018, 100, 36–40. [Google Scholar] [CrossRef]
- Hilal, M.; Berthin, C.; Martin, L.; Azami, H.; Humeau-Heurtier, A. Bidimensional Multiscale Fuzzy Entropy and its application to pseudoxanthoma elasticum. IEEE Trans. Biomed. Eng. 2019, 67, 2015–2022. [Google Scholar] [CrossRef]
- Furlong, R.; Hilal, M.; O’brien, V.; Humeau-Heurtier, A. Parameter Analysis of Multiscale Two-Dimensional Fuzzy and Dispersion Entropy Measures Using Machine Learning Classification. Entropy 2021, 23, 1303. [Google Scholar] [CrossRef]
- Palm, C. Color texture classification by integrative co-occurrence matrices. Pattern Recognit. 2004, 37, 965–976. [Google Scholar] [CrossRef]
- Backes, A.R.; Casanova, D.; Bruno, O.M. Color texture analysis based on fractal descriptors. Pattern Recognit. 2012, 45, 1984–1992. [Google Scholar] [CrossRef]
- Drimbarean, A.; Whelan, P.F. Experiments in colour texture analysis. Pattern Recognit. Lett. 2001, 22, 1161–1167. [Google Scholar] [CrossRef] [Green Version]
- Xu, Q.; Yang, J.; Ding, S. Color texture analysis using the wavelet-based hidden Markov model. Pattern Recognit. Lett. 2005, 26, 1710–1719. [Google Scholar] [CrossRef]
- Arvis, V.; Debain, C.; Berducat, M.; Benassi, A. Generalization of the cooccurrence matrix for colour images: Application to colour texture classification. Image Anal. Stereol. 2004, 23, 63–72. [Google Scholar] [CrossRef] [Green Version]
- Alata, O.; Burie, J.C.; Moussa, A.; Fernandez-Maloigne, C.; Qazi, I.-U.-H. Choice of a pertinent color space for color texture characterization using parametric spectral analysis. Pattern Recognit. 2011, 44, 16–31. [Google Scholar]
- Mäenpää, T.; Pietikäinen, M. Classification with color and texture: Jointly or separately? Pattern Recognit. 2004, 37, 1629–1640. [Google Scholar] [CrossRef] [Green Version]
- Bianconi, F.; Harvey, R.W.; Southam, P.; Fernández, A. Theoretical and experimental comparison of different approaches for color texture classification. J. Electron. Imaging 2011, 20, 043006. [Google Scholar] [CrossRef]
- Manjunath, B.S.; Ohm, J.R.; Vasudevan, V.V.; Yamada, A. Color and texture descriptors. IEEE Trans. Circuits Syst. Video Technol. 2001, 11, 703–715. [Google Scholar] [CrossRef] [Green Version]
- Hilal, M.; Gaudêncio, A.S.F.; Berthin, C.; Vaz, P.G.; Cardoso, J.a.; Martin, L.; Humeau-Heurtier, A. Bidimensional Colored Fuzzy entropy measure: A Cutaneous Microcirculation Study. In Proceedings of the Fifth International Conference on Advances in Biomedical Engineering (ICABME), Tripoli, Lebanon, 17–19 October 2019. [Google Scholar]
- Celebi, M.E.; Codella, N.; Halpern, A. Dermoscopy image analysis: Overview and future directions. IEEE J. Biomed. Health Inform. 2019, 23, 474–478. [Google Scholar] [CrossRef]
- Talavera-Martínez, L.; Bibiloni, P.; González-Hidalgo, M. Computational Texture Features of Dermoscopic Images and Their Link to the Descriptive Terminology—A Survey. Comput. Methods Programs Biomed. 2019, 182, 105049. [Google Scholar] [CrossRef]
- Barata, C.; Celebi, M.E.; Marques, J.S. A survey of feature extraction in dermoscopy image analysis of skin cancer. IEEE J. Biomed. Health Inform. 2018, 23, 1096–1109. [Google Scholar] [CrossRef]
- Machado, M.; Pereira, J.; Fonseca-Pinto, R. Classification of reticular pattern and streaks in dermoscopic images based on texture analysis. J. Med. Imaging 2015, 2, 044503. [Google Scholar] [CrossRef] [PubMed] [Green Version]
- Garnavi, R.; Aldeen, M.; Bailey, J. Computer-aided diagnosis of melanoma using border-and wavelet-based texture analysis. IEEE Trans. Inf. Technol. Biomed. 2012, 16, 1239–1252. [Google Scholar] [CrossRef] [PubMed]
- Sáez, A.; Acha, B.; Serrano, A.; Serrano, C. Statistical detection of colors in dermoscopic images with a texton-based estimation of probabilities. IEEE J. Biomed. Health Inform. 2018, 23, 560–569. [Google Scholar] [CrossRef] [PubMed]
- Isasi, A.G.; Zapirain, B.G.; Zorrilla, A.M. Melanomas non-invasive diagnosis application based on the ABCD rule and pattern recognition image processing algorithms. Comput. Biol. Med. 2011, 41, 742–755. [Google Scholar] [CrossRef]
- Celebi, M.E.; Zornberg, A. Automated quantification of clinically significant colors in dermoscopy images and its application to skin lesion classification. IEEE Syst. J. 2014, 8, 980–984. [Google Scholar] [CrossRef]
- Celebi, M.E.; Kingravi, H.A.; Uddin, B.; Iyatomi, H.; Aslandogan, Y.A.; Stoecker, W.V.; Moss, R.H. A methodological approach to the classification of dermoscopy images. Comput. Med. Imaging Graph. 2007, 31, 362–373. [Google Scholar] [CrossRef] [Green Version]
- Hilal, M.; Humeau-Heurtier, A. Bidimensional fuzzy entropy: Principle analysis and biomedical applications. In Proceedings of the 2019 41st Annual International Conference of the IEEE Engineering in Medicine and Biology Society (EMBC), Berlin, Germany, 23–27 July 2019; pp. 4811–4814. [Google Scholar]
- Chen, W.; Wang, Z.; Xie, H.; Yu, W. Characterization of surface EMG signal based on fuzzy entropy. IEEE Trans. Neural. Syst. Rehabil. Eng. 2007, 15, 266–272. [Google Scholar] [CrossRef]
- Gaudêncio, A.S.F.; Vaz, P.G.; Hilal, M.; Cardoso, J.M.; Mahé, G.; Lederlin, M.; Humeau-Heurtier, A. Three-dimensional multiscale fuzzy entropy: Validation and application to idiopathic pulmonary fibrosis. IEEE J. Biomed. Health Inform. 2020, 25, 100–107. [Google Scholar] [CrossRef]
- Abdelmounaime, S.; Dong-Chen, H. New Brodatz-based image databases for grayscale color and multiband texture analysis. ISRN Mach. Vis. 2013, 2013, 876386. [Google Scholar] [CrossRef]
- Colored Brodatz Texture. Available online: http://multibandtexture.recherche.usherbrooke.ca/ (accessed on 10 June 2022).
- Haralick, R.M.; Shanmugam, K.; Dinstein, I.H. Textural features for image classification. IEEE Trans. Syst. Man Cybern. Syst. 1973, SMC-3, 610–621. [Google Scholar] [CrossRef] [Green Version]
- Philips, C.; Li, D.; Raicu, D.; Furst, J. Directional invariance of co-occurrence matrices within the liver. In Proceedings of the 2008 International Conference on Biocomputation, Bioinformatics, and Biomedical Technologies, Bucharest, Romania, 29 June–5 July 2008; pp. 29–34. [Google Scholar]
- Tschandl, P.; Rosendahl, C.; Kittler, H. The HAM10000 dataset, a large collection of multi-source dermatoscopic images of common pigmented skin lesions. Sci. Data 2018, 5, 180161. [Google Scholar] [CrossRef] [PubMed]
- Tschandl, P. Replication data for: “The HAM10000 Dataset, a larGe Collection of Multi-source Dermatoscopic Images of comMon Pigmented Skin Lesions”. Harvard Dataverse, V3, UNF:6:/APKSsDGVDhwPBWzsStU5A==. 2018. Available online: https://dataverse.harvard.edu/dataset.xhtml?persistentId=doi:10.7910/DVN/DBW86T (accessed on 10 June 2022).
- Sawilowsky, S.S. New effect size rules of thumb. J. Mod. Appl. Stat. Methods 2009, 8, 26. [Google Scholar] [CrossRef]
- Cohen, J. Statistical Power Analysis for the Behavioral Sciences; Routledge: London, UK, 2013. [Google Scholar]


















| Haralick Feature | Annotation |
|---|---|
| Uniformity (Energy) | |
| Contrast | |
| Correlation | |
| Variance | |
| Homogeneity | |
| Entropy |
| 3.3 × | 7.0 × | 3.4 × | 9.0 × | 4.1 × |
| 2.9 × | 5.7 × | 1.5 × | 2.9 × | 2.9 × |
| 9.8 × | 1.7 × | 5.8 × | 4.5 × | 1.1 × |
| RGB | 1.50 | 1.89 | 1.97 | 2.71 | 2.19 |
| HSV | 1.14 | 0.23 | 0.27 | 1.14 | 1.14 |
| YUV | 1.10 | 0.58 | 0.70 | 1.00 | 1.09 |
| AUC | 0.884 | 0.945 | 0.930 | 0.964 | 0.950 |
| Sensitivity | 0.825 | 0.925 | 0.900 | 0.925 | 0.925 |
| Specificity | 0.850 | 0.850 | 0.825 | 0.950 | 0.900 |
| Accuracy | 0.837 | 0.887 | 0.862 | 0.937 | 0.912 |
| Precision | 0.846 | 0.860 | 0.837 | 0.948 | 0.902 |
| AUC | 0.771 | 0.376 | 0.406 | 0.771 | 0.771 |
| Sensitivity | 0.650 | 0.325 | 0.225 | 0.650 | 0.650 |
| Specificity | 0.850 | 0.600 | 0.850 | 0.850 | 0.850 |
| Accuracy | 0.750 | 0.462 | 0.5375 | 0.750 | 0.750 |
| Precision | 0.812 | 0.448 | 0.600 | 0.812 | 0.812 |
| AUC | 0.787 | 0.703 | 0.723 | 0.765 | 0.785 |
| Sensitivity | 0.725 | 0.750 | 0.700 | 0.750 | 0.725 |
| Specificity | 0.750 | 0.650 | 0.700 | 0.725 | 0.750 |
| Accuracy | 0.737 | 0.700 | 0.700 | 0.737 | 0.737 |
| Precision | 0.743 | 0.681 | 0.700 | 0.731 | 0.743 |
Publisher’s Note: MDPI stays neutral with regard to jurisdictional claims in published maps and institutional affiliations. |
© 2022 by the authors. Licensee MDPI, Basel, Switzerland. This article is an open access article distributed under the terms and conditions of the Creative Commons Attribution (CC BY) license (https://creativecommons.org/licenses/by/4.0/).
Share and Cite
Hilal, M.; Gaudêncio, A.S.; Vaz, P.G.; Cardoso, J.; Humeau-Heurtier, A. Colored Texture Analysis Fuzzy Entropy Methods with a Dermoscopic Application. Entropy 2022, 24, 831. https://doi.org/10.3390/e24060831
Hilal M, Gaudêncio AS, Vaz PG, Cardoso J, Humeau-Heurtier A. Colored Texture Analysis Fuzzy Entropy Methods with a Dermoscopic Application. Entropy. 2022; 24(6):831. https://doi.org/10.3390/e24060831
Chicago/Turabian StyleHilal, Mirvana, Andreia S. Gaudêncio, Pedro G. Vaz, João Cardoso, and Anne Humeau-Heurtier. 2022. "Colored Texture Analysis Fuzzy Entropy Methods with a Dermoscopic Application" Entropy 24, no. 6: 831. https://doi.org/10.3390/e24060831
APA StyleHilal, M., Gaudêncio, A. S., Vaz, P. G., Cardoso, J., & Humeau-Heurtier, A. (2022). Colored Texture Analysis Fuzzy Entropy Methods with a Dermoscopic Application. Entropy, 24(6), 831. https://doi.org/10.3390/e24060831

