Kinetic Theory of Polydisperse Granular Mixtures: Influence of the Partial Temperatures on Transport Properties—A Review
Abstract
1. Introduction
2. Enskog Kinetic Equation for Polydisperse Dense Granular Mixtures
2.1. Enskog Kinetic Equation for Inelastic Hard Spheres
2.2. Macroscopic Balance Equations
3. Homogeneous Cooling State: Partial Temperatures
3.1. Approximate Solution
3.2. Some Special Limits
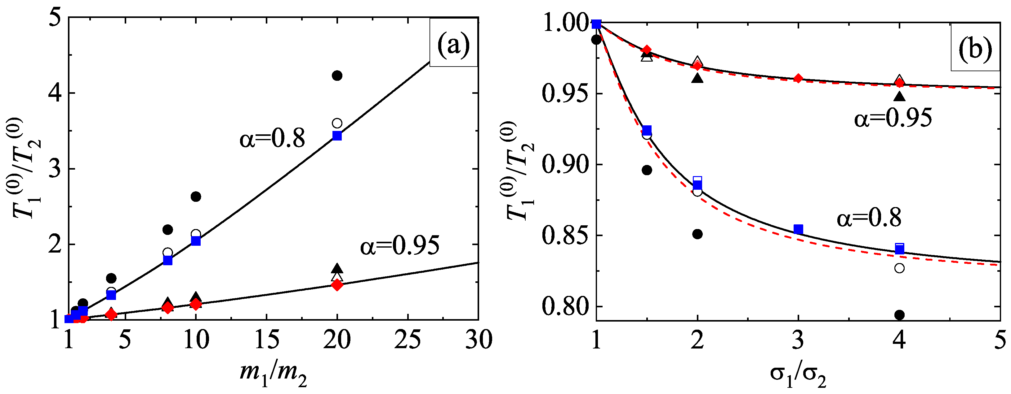
4. Comparison between Theory and Computer Simulations
4.1. DSMC
4.2. Binary Mixtures
4.3. Ternary Mixtures
5. Navier–Stokes Transport Coefficients
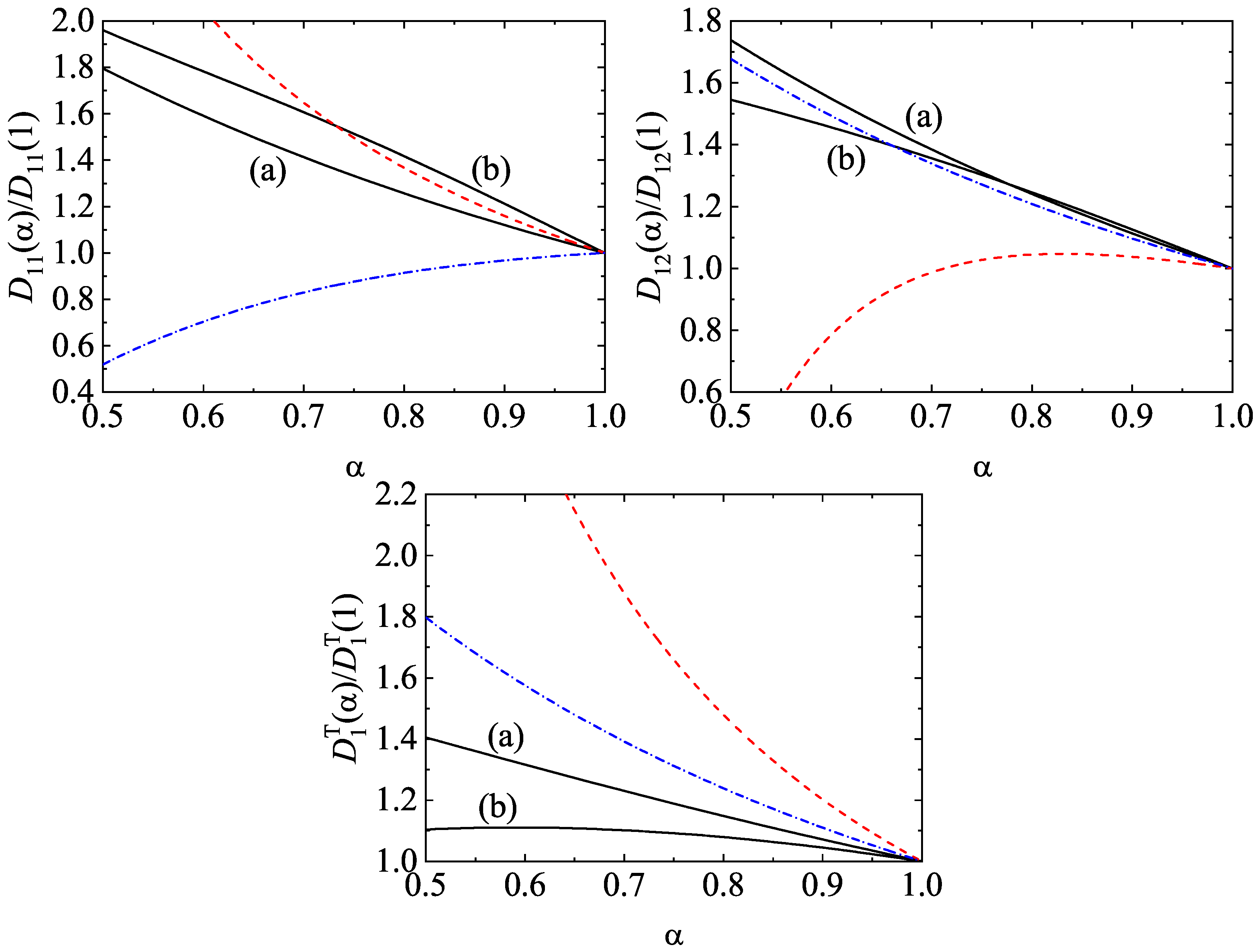
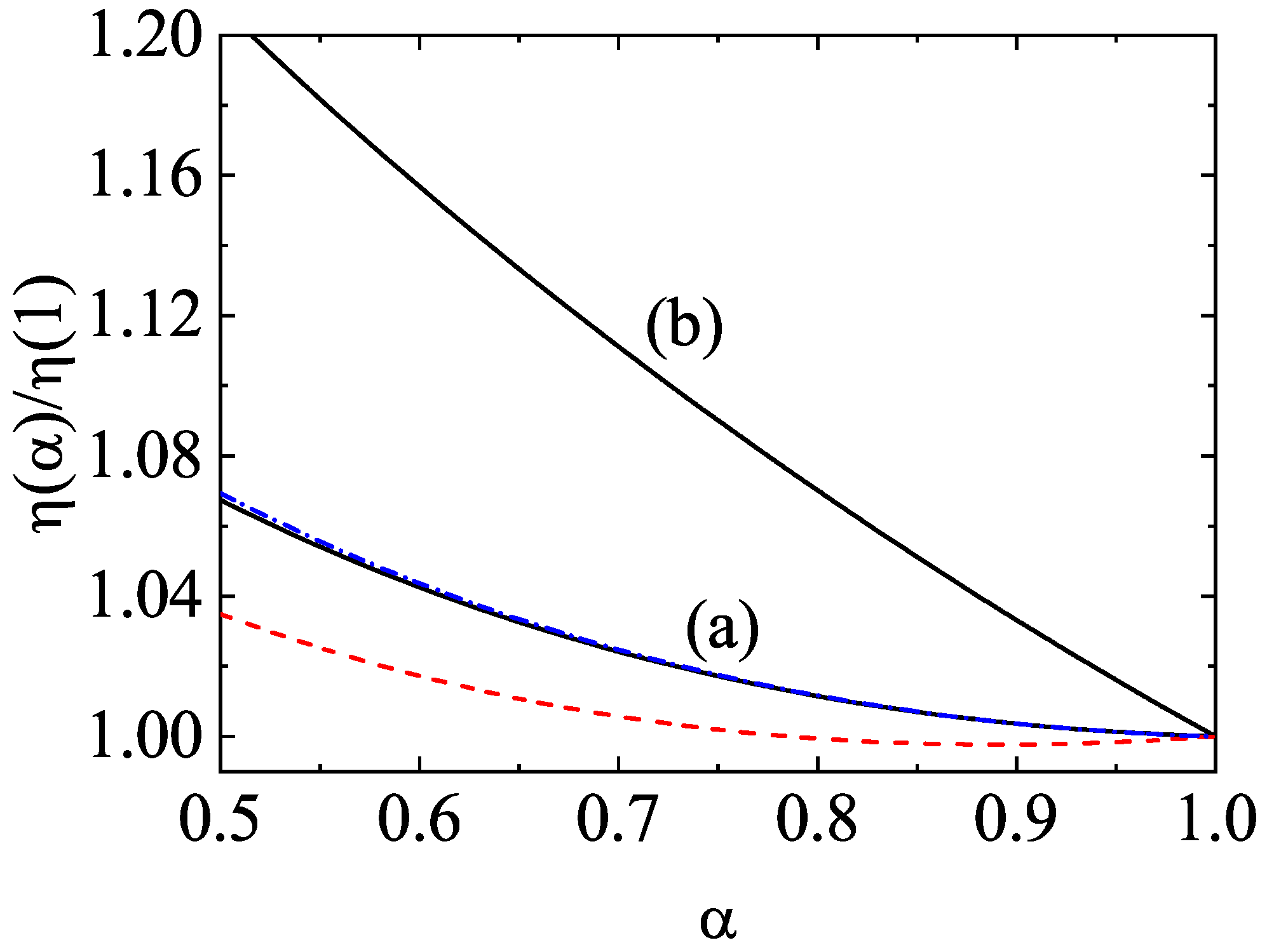
6. Influence of the Temperature Ratios on the Transport Coefficients
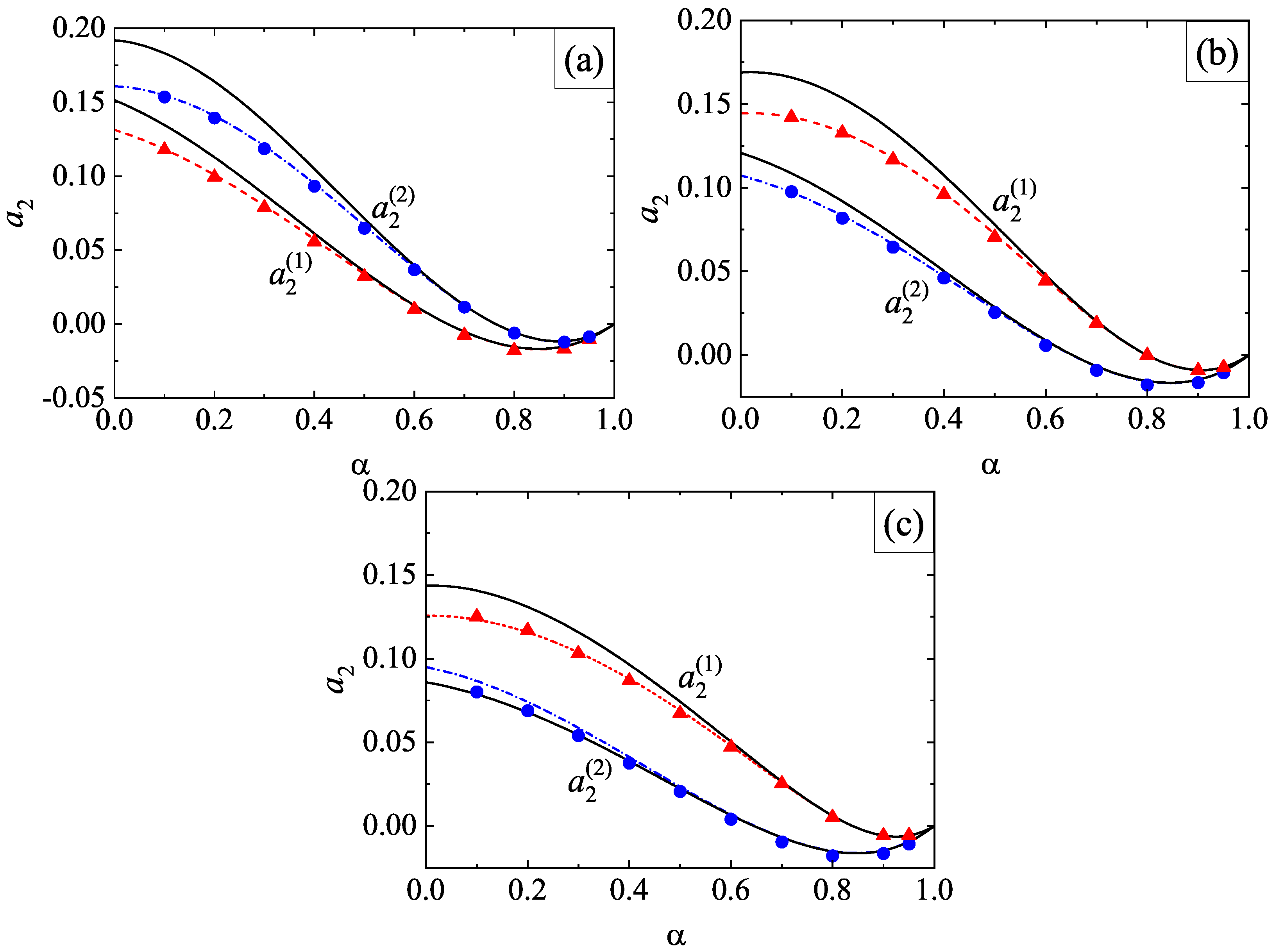
7. First-Order Contributions to the Partial Temperatures: Influence on the Bulk Viscosity
7.1. Bulk Viscosity Coefficient
7.2. Leading Sonine Approximation to
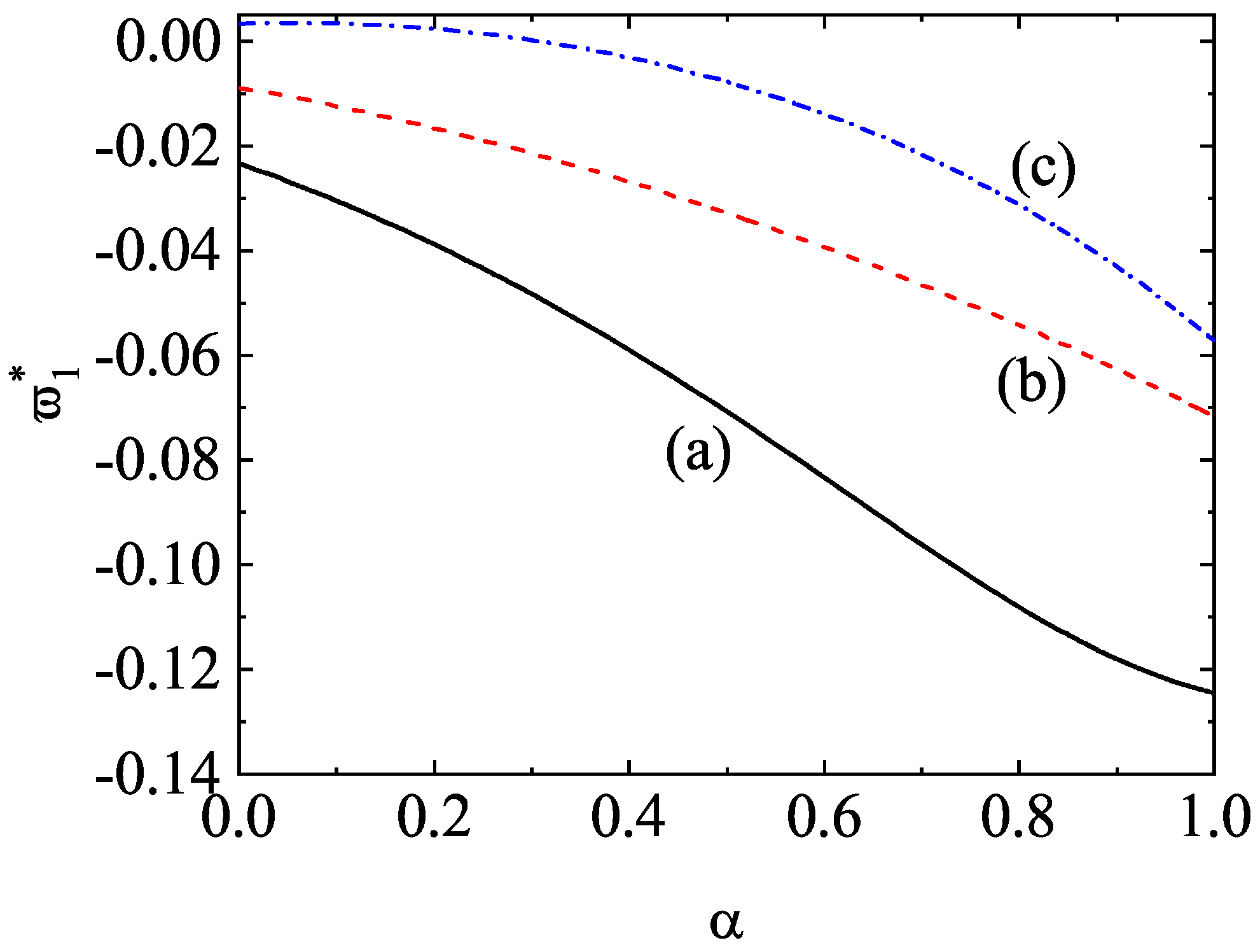
7.3. Influence of on the Bulk Viscosity and the Cooling Rate
8. Summary and Concluding Remarks
Author Contributions
Funding
Institutional Review Board Statement
Informed Consent Statement
Data Availability Statement
Conflicts of Interest
References
- Dufty, J.W. Statistical mechanics, kinetic theory, and hydrodynamics for rapid granular flow. J. Phys. Condens. Matter 2000, 12, A47–A56. [Google Scholar] [CrossRef]
- Dufty, J.W. Granular fluids. In Encyclopedia of Complexity and Systems; Meyers, R.A., Ed.; Springer: New York, NY, USA, 2009; p. 00038. [Google Scholar]
- Goldshtein, A.; Shapiro, M. Mechanics of collisional motion of granular materials. Part 1. General hydrodynamic equations. J. Fluid Mech. 1995, 282, 75–114. [Google Scholar] [CrossRef]
- Brey, J.J.; Dufty, J.W.; Santos, A. Dissipative dynamics for hard spheres. J. Stat. Phys. 1997, 87, 1051–1066. [Google Scholar] [CrossRef]
- van Noije, T.P.C.; Ernst, M.H.; Brito, R. Ring kinetic theory for an idealized granular gas. Physica A 1998, 251, 266–283. [Google Scholar] [CrossRef]
- Pöschel, T.; Luding, S. (Eds.) Granular gases. In Lectures Notes in Physic; Springer: Berlin/Heidelberg, Germany, 2001; Volume 564. [Google Scholar]
- Goldhirsch, I. Rapid granular flows. Annu. Rev. Fluid Mech. 2003, 35, 267–293. [Google Scholar] [CrossRef]
- Brilliantov, N.; Pöschel, T. Kinetic Theory of Granular Gases; Oxford University Press: Oxford, UK, 2004. [Google Scholar]
- Rao, K.K.; Nott, P.R. An Introduction to Granular Flow; Cambridge University Press: Cambridge, UK, 2008. [Google Scholar]
- Garzó, V. Granular Gaseous Flows; Springer Nature: Cham, Switzerland, 2019. [Google Scholar]
- Chapman, S.; Cowling, T.G. The Mathematical Theory of Nonuniform Gases; Cambridge University Press: Cambridge, UK, 1970. [Google Scholar]
- Grad, H. On the kinetic theory of rarefied gases. Commun. Pure Appl. Math. 1949, 2, 331–407. [Google Scholar] [CrossRef]
- Jenkins, J.T.; Savage, S.B. A theory for the rapid flow of identical, smooth, nearly elastic, spherical particles. J. Fluid Mech. 1983, 130, 187–202. [Google Scholar] [CrossRef]
- Lun, C.K.K.; Savage, S.B.; Jeffrey, D.J.; Chepurniy, N. Kinetic theories for granular flow: Inelastic particles in Couette flow and slightly inelastic particles in a general flowfield. J. Fluid Mech. 1984, 140, 223–256. [Google Scholar] [CrossRef]
- Jenkins, J.T.; Richman, M.W. Kinetic theory for plane flows of a dense gas of identical, rough, inelastic, circular disks. Phys. Fluids 1985, 28, 3485–3493. [Google Scholar] [CrossRef]
- Jenkins, J.T.; Richman, M.W. Grad’s 13-Moment System for a Dense Gas of Inelastic Spheres. Arch. Ration. Mech. Anal. 1985, 87, 355–377. [Google Scholar] [CrossRef]
- Brey, J.J.; Dufty, J.W.; Kim, C.S.; Santos, A. Hydrodynamics for granular flows at low density. Phys. Rev. E 1998, 58, 4638–4653. [Google Scholar] [CrossRef]
- Garzó, V.; Dufty, J.W. Dense fluid transport for inelastic hard spheres. Phys. Rev. E 1999, 59, 5895–5911. [Google Scholar] [CrossRef] [PubMed]
- Lutsko, J.F. Transport properties of dense dissipative hard-sphere fluids for arbitrary energy loss models. Phys. Rev. E 2005, 72, 021306. [Google Scholar] [CrossRef] [PubMed]
- Garzó, V. Grad’s moment method for a granular fluid at moderate densities: Navier–Stokes transport coefficients. Phys. Fluids 2013, 25, 043301. [Google Scholar] [CrossRef]
- Lube, G.; Breard, E.C.P.; Esposito-Ongaro, T.; Dufek, J.; Brand, B. Multiphase flow behaviour and hazard prediction of pyrolastic density currents. Nat. Rev. Earth Environ. 2020, 1, 348–365. [Google Scholar] [CrossRef]
- Iverson, R.M.; Reid, M.E.; LaHusen, R.G. Debris-flow mobilization form landslides. Annu. Rev. Earth Planet. Sci. 1997, 25, 85–138. [Google Scholar] [CrossRef]
- Hungr, O. Rock avalanche occurrence, process and modelling. In Landslides from Massive Rock Slope Failure; Evans, S.G., Scarascia Mugnozza, G., Strom, A., Hermanns, R.L., Eds.; Springer: Dordrecht, The Netherlands, 2006; Volume 49. [Google Scholar]
- Jenkins, J.T.; Mancini, F. Kinetic theory for binary mixtures of smooth, nearly elastic spheres. Phys. Fluids A 1989, 1, 2050–2057. [Google Scholar] [CrossRef]
- Zamankhan, Z. Kinetic theory for multicomponent dense mixtures of slightly inelastic spherical particles. Phys. Rev. E 1995, 52, 4877–4891. [Google Scholar] [CrossRef]
- Arnarson, B.; Willits, J.T. Thermal diffusion in binary mixtures of smooth, nearly elastic spheres with and without gravity. Phys. Fluids 1998, 10, 1324–1328. [Google Scholar] [CrossRef]
- Willits, J.T.; Arnarson, B. Kinetic theory of a binary mixture of nearly elastic disks. Phys. Fluids 1999, 11, 3116–3122. [Google Scholar] [CrossRef]
- Ferziger, J.H.; Kaper, G.H. Mathematical Theory of Transport Processes in Gases; North-Holland: Amsterdam, The Netherlands, 1972. [Google Scholar]
- Garzó, V.; Dufty, J.W. Homogeneous cooling state for a granular mixture. Phys. Rev. E 1999, 60, 5706–5713. [Google Scholar] [CrossRef] [PubMed]
- Martin, P.A.; Piasecki, J. Thermalization of a particle by dissipative collisions. Europhys. Lett. 1999, 46, 613–616. [Google Scholar] [CrossRef]
- Montanero, J.M.; Garzó, V. Monte Carlo simulation of the homogeneous cooling state for a granular mixture. Granul. Matter 2002, 4, 17–24. [Google Scholar] [CrossRef]
- Barrat, A.; Trizac, E. Lack of energy equipartition in homogeneous heated binary granular mixtures. Granul. Matter 2002, 4, 57–63. [Google Scholar] [CrossRef][Green Version]
- Dahl, S.R.; Hrenya, C.M.; Garzó, V.; Dufty, J.W. Kinetic temperatures for a granular mixture. Phys. Rev. E 2002, 66, 041301. [Google Scholar] [CrossRef]
- Pagnani, R.; Marconi, U.M.B.; Puglisi, A. Driven low density granular mixtures. Phys. Rev. E 2002, 66, 051304. [Google Scholar] [CrossRef]
- Clelland, R.; Hrenya, C.M. Simulations of a binary-sized mixture of inelastic grains in rapid shear flow. Phys. Rev. E 2002, 65, 031301. [Google Scholar] [CrossRef]
- Barrat, A.; Trizac, E. Molecular dynamics simulations of vibrated granular gases. Phys. Rev. E 2002, 66, 051303. [Google Scholar] [CrossRef]
- Krouskop, P.; Talbot, J. Mass and size effects in three-dimensional vibrofluidized granular mixtures. Phys. Rev. E 2003, 68, 021304. [Google Scholar] [CrossRef]
- Wang, H.; Jin, G.; Ma, Y. Simulation study on kinetic temperatures of vibrated binary granular mixtures. Phys. Rev. E 2003, 68, 031301. [Google Scholar] [CrossRef]
- Brey, J.J.; Ruiz-Montero, M.J.; Moreno, F. Energy partition and segregation for an intruder in a vibrated granular system under gravity. Phys. Rev. Lett. 2005, 95, 098001. [Google Scholar] [CrossRef] [PubMed]
- Alam, M.; Luding, S. Energy nonequipartition, rheology, and microstructure in sheared bidisperse granular mixtures. Phys. Fluids 2005, 17, 063303. [Google Scholar] [CrossRef]
- Schröter, M.; Ulrich, S.; Kreft, J.; Swift, J.B.; Swinney, H.L. Mechanisms in the size segregation of a binary granular mixture. Phys. Rev. E 2006, 74, 011307. [Google Scholar] [CrossRef] [PubMed]
- Vega Reyes, F.; Lasanta, A.; Santos, A.; Garzó, V. Energy nonequipartition in gas mixtures of inelastic rough hard spheres: The tracer limit. Phys. Rev. E 2017, 96, 052901. [Google Scholar] [CrossRef]
- Lasanta, A.; Vega Reyes, F.; Garzó, V.; Santos, A. Intruders in disguise: Mimicry effect in granular gases. Phys. Fluids 2019, 31, 063306. [Google Scholar] [CrossRef]
- Brito, R.; Soto, R.; Garzó, V. Energy nonequipartition in a collisional model of a confined quasi-two-dimensional granular mixture. Phys. Rev. E 2020, 102, 052904. [Google Scholar] [CrossRef]
- Wildman, R.D.; Parker, D.J. Coexistence of two granular temperatures in binary vibrofluidized beds. Phys. Rev. Lett. 2002, 88, 064301. [Google Scholar] [CrossRef]
- Feitosa, K.; Menon, N. Breakdown of energy equipartition in a 2D binary vibrated granular gas. Phys. Rev. Lett. 2002, 88, 198301. [Google Scholar] [CrossRef]
- Jenkins, J.T.; Mancini, F. Balance Laws and Constitutive Relations for Plane Flows of a Dense, Binary Mixture of Smooth, Nearly Elastic, Circular Disks. J. Appl. Mech. 1987, 54, 27–34. [Google Scholar] [CrossRef]
- Huilin, L.; Wenti, L.; Rushan, B.; Lidan, Y.; Gidaspow, D. Kinetic theory of fluidized binary granular mixtures with unequal granular temperature. Physica A 2000, 284, 265–276. [Google Scholar] [CrossRef]
- Huilin, L.; Gidaspow, D.; Manger, E. Kinetic theory of fluidized binary granular mixtures. Phys. Rev. E 2001, 64, 061301. [Google Scholar] [CrossRef] [PubMed]
- Garzó, V.; Dufty, J.W. Hydrodynamics for a granular binary mixture at low density. Phys. Fluids. 2002, 14, 1476–1490. [Google Scholar] [CrossRef]
- Garzó, V.; Montanero, J.M.; Dufty, J.W. Mass and heat fluxes for a binary granular mixture at low density. Phys. Fluids 2006, 18, 083305. [Google Scholar] [CrossRef]
- Garzó, V.; Montanero, J.M. Navier–Stokes transport coefficients of d-dimensional granular binary mixtures at low-density. J. Stat. Phys. 2007, 129, 27–58. [Google Scholar] [CrossRef]
- Garzó, V.; Dufty, J.W.; Hrenya, C.M. Enskog Theory for Polydisperse Granular Mixtures. I. Navier–Stokes order Transport. Phys. Rev. E 2007, 76, 031303. [Google Scholar] [CrossRef] [PubMed]
- Garzó, V.; Hrenya, C.M.; Dufty, J.W. Enskog Theory for Polydisperse Granular Mixtures. II. Sonine Polynomial Approximation. Phys. Rev. E 2007, 76, 031304. [Google Scholar] [CrossRef] [PubMed]
- López de Haro, M.; Cohen, E.G.D.; Kincaid, J. The Enskog theory for multicomponent mixtures. I. Linear transport theory. J. Chem. Phys. 1983, 78, 2746–2759. [Google Scholar] [CrossRef]
- Karkheck, J.; Stell, G. Transport properties of the Widom–Rowlinson hard-sphere mixture model. J. Chem. Phys. 1979, 71, 3620–3635. [Google Scholar] [CrossRef]
- Karkheck, J.; Stell, G. Bulk viscosity of fluid mixtures. J. Chem. Phys. 1979, 71, 3636–3639. [Google Scholar] [CrossRef]
- Murray, J.A.; Garzó, V.; Hrenya, C.M. Enskog theory for polydisperse granular mixtures. III. Comparison of dense and dilute transport coefficients and equations of state for a binary mixture. Powder Technol. 2012, 220, 24–36. [Google Scholar] [CrossRef]
- Résibois, P.; de Leener, M. Classical Kinetic Theory of Fluids; Wiley: New York, NY, USA, 1977. [Google Scholar]
- Cercignani, C. The Boltzmann Equation and Its Applications; Springer: New York, NY, USA, 1988. [Google Scholar]
- van Noije, T.P.C.; Ernst, M.H. Velocity distributions in homogeneous granular fluids: The free and heated case. Granul. Matter 1998, 1, 57–64. [Google Scholar] [CrossRef]
- Brilliantov, N.V.; Pöschel, T. Breakdown of the Sonine expansion for the velocity distribution of granular gases. Europhys. Lett. 2006, 74, 424–430, Erratum in Europhys. Lett. 2006, 75, 188. [Google Scholar] [CrossRef]
- Khalil, N.; Garzó, V. Homogeneous states in driven granular mixtures: Enskog kinetic theory versus molecular dynamics simulations. J. Chem. Phys. 2014, 140, 164901. [Google Scholar] [CrossRef] [PubMed]
- Gómez González, R.; Garzó, V. Time-dependent homogeneous states of binary granular suspensions. Phys. Fluids 2021, 33, 093315. [Google Scholar] [CrossRef]
- Montanero, J.M.; Santos, A. Computer simulation of uniformly heated granular fluids. Granul. Matter 2000, 2, 53–64. [Google Scholar] [CrossRef]
- Coppex, F.; Droz, M.; Piasecki, J.; Trizac, E. On the first Sonine correction for granular gases. Physica A 2003, 329, 114–126. [Google Scholar] [CrossRef][Green Version]
- Santos, A.; Montanero, J.M. The second and third Sonine coefficients of a freely cooling granular gas revisited. Granul. Matter 2009, 11, 157–168. [Google Scholar] [CrossRef]
- Esipov, S.E.; Pöschel, T. The granular phase diagram. J. Stat. Phys. 1997, 86, 1385–1395. [Google Scholar] [CrossRef]
- Ernst, M.H.; Brito, R. Scaling solutions of inelastic Boltzmann equations with overpopulated high energy tails. J. Stat. Phys. 2002, 109, 407–432. [Google Scholar] [CrossRef]
- Ernst, M.H.; Brito, R. High-energy tails for inelastic Maxwell models. Europhys. Lett. 2002, 58, 182–187. [Google Scholar] [CrossRef]
- Ernst, M.H.; Brito, R. Driven inelastic Maxwell models with high energy tails. Phys. Rev. E 2002, 65, 040301. [Google Scholar] [CrossRef] [PubMed]
- Ernst, M.H.; Trizac, E.; Barrat, A. The rich behaviour of the Boltzmann equation for dissipative gases. Europhys. Lett. 2006, 76, 56–62. [Google Scholar] [CrossRef]
- Brey, J.J.; Cubero, D.; Ruiz-Montero, M.J. High energy tail in the velocity distribution of a granular gas. Phys. Rev. E 1999, 59, 1256–1258. [Google Scholar] [CrossRef]
- Huthmann, M.; Orza, J.A.G.; Brito, R. Dynamics of deviations from the Gaussian state in a freely cooling homogeneous system of smooth inelastic particles. Granul. Matter 2000, 2, 189–199. [Google Scholar] [CrossRef][Green Version]
- Yu, P.; Schröter, M.; Sperl, M. Velocity distribution of a homogeneously cooling granular gas. Phys. Rev. Lett. 2020, 124, 208007. [Google Scholar] [CrossRef]
- Lutsko, J.F. Model for the atomic-scale structure of the homogeneous cooling state of granular fluids. Phys. Rev. E 2001, 63, 061211. [Google Scholar] [CrossRef]
- Boublik, T. Hard-sphere equation of state. J. Chem. Phys. 1970, 53, 471. [Google Scholar] [CrossRef]
- Grundke, E.W.; Henderson, D. Distribution functions of multi-component fluid mixtures of hard spheres. Mol. Phys. 1972, 24, 269–281. [Google Scholar] [CrossRef]
- Lee, L.L.; Levesque, D. Perturbation theory for mixtures of simple liquids. Mol. Phys. 1973, 26, 1351–1370. [Google Scholar] [CrossRef]
- Brey, J.J.; Ruiz-Montero, M.J.; García-Rojo, R.; Dufty, J.W. Brownian motion in a granular gas. Phys. Rev. E 1999, 60, 7174–7181. [Google Scholar] [CrossRef]
- Santos, A.; Dufty, J.W. Critical behavior of a heavy particle in a granular fluid. Phys. Rev. Lett. 2001, 86, 4823–4826. [Google Scholar] [CrossRef] [PubMed]
- Santos, A.; Dufty, J.W. Nonequilibrium phase transition for a heavy particle in a granular fluid. Phys. Rev. E 2001, 64, 051305. [Google Scholar] [CrossRef] [PubMed]
- Brey, J.J.; Dufty, J.W.; Santos, A. Kinetic models for granular flow. J. Stat. Phys. 1999, 97, 281–322. [Google Scholar] [CrossRef]
- Bird, G.A. Molecular Gas Dynamics and the Direct Simulation Monte Carlo of Gas Flows; Clarendon: Oxford, UK, 1994. [Google Scholar]
- Serero, D.; Goldhirsch, I.; Noskowicz, S.H.; Tan, M.L. Hydrodynamics of granular gases and granular gas mixtures. J. Fluid Mech. 2006, 554, 237–258. [Google Scholar] [CrossRef]
- Serero, D.; Noskowicz, S.H.; Tan, M.L.; Goldhirsch, I. Binary granular gas mixtures: Theory, layering effects and some open questions. Eur. Phys. J. Spec. Top. 2009, 179, 221–247. [Google Scholar] [CrossRef]
- Brito, R.; Enríquez, H.; Godoy, S.; Soto, R. Segregation induced by inelasticity in a vibrofluidized granular mixture. Phys. Rev. E 2008, 77, 061301. [Google Scholar] [CrossRef]
- Brito, R.; Soto, R. Competition of Brazil nut effect, buoyancy, and inelasticity induced segregation in a granular mixture. Eur. Phys. J. Spec. Top. 2009, 179, 207–219. [Google Scholar] [CrossRef]
- Dorfman, J.R.; van Beijeren, H. The kinetic theory of gases. In Statistical Mechanics—Part B: Time-Dependent Processes; Berne, B.J., Ed.; Plenum: New York, NY, USA, 1977; pp. 65–179. [Google Scholar]
- Soto, R.; Mareschal, M. Statistical mechanics of fluidized granular media: Short-range velocity correlations. Phys. Rev. E 2001, 63, 041303. [Google Scholar] [CrossRef]
- Soto, R.; Piasecki, J.; Mareschal, M. Precollisional velocity correlations in a hard-disk fluid with dissipative collisions. Phys. Rev. E 2001, 64, 031306. [Google Scholar] [CrossRef]
- Lutsko, J.F.; Brey, J.J.; Dufty, J.W. Diffusion in a granular fluid. II. Simulation. Phys. Rev. E 2002, 65, 051304. [Google Scholar] [CrossRef]
- Hong, A.; Appaswamy, K.; Morris, A. Homogeneous cooling of a dilute polydisperse granular gas. Granul. Matter 2022, 24, 46. [Google Scholar] [CrossRef]
- Jenkins, J.T.; Richman, M.W. Plane simple shear of smooth inelastic circular disks: The anisotropy of the second moment in the dilute and dense limits. J. Fluid Mech. 1988, 192, 313–328. [Google Scholar] [CrossRef]
- Montanero, J.M.; Garzó, V. Rheological properties in a low-density granular mixture. Physica A 2002, 310, 17–38. [Google Scholar] [CrossRef][Green Version]
- Santos, A.; Garzó, V.; Dufty, J.W. Inherent rheology of a granular fluid in uniform shear flow. Phys. Rev. E 2004, 69, 061303. [Google Scholar] [CrossRef] [PubMed]
- Vega Reyes, F.; Santos, A.; Garzó, V. Non-Newtonian granular hydrodynamics. What do the inelastic simple shear flow and the elastic Fourier flow have in common? Phys. Rev. Lett. 2010, 104, 028001. [Google Scholar] [CrossRef]
- Vega Reyes, F.; Garzó, V.; Santos, A. Class of dilute granular Couette flows with uniform heat flux. Phys. Rev. E 2011, 83, 021302. [Google Scholar] [CrossRef]
- Kincaid, J.M.; López de Haro, M.; Cohen, E.G.D. The Enskog theory for multicomponent mixtures. II. Mutual diffusion. J. Chem. Phys. 1983, 79, 4509–4521. [Google Scholar] [CrossRef]
- López de Haro, M.; Cohen, E.G.D. The Enskog theory for multicomponent mixtures. III. Transport properties of dense binary mixtures with one tracer component. J. Chem. Phys. 1984, 80, 408–415. [Google Scholar] [CrossRef]
- Kincaid, J.M.; Cohen, E.G.D.; López de Haro, M. The Enskog theory for multicomponent mixtures. IV. Thermal diffusion. J. Chem. Phys. 1987, 86, 963–975. [Google Scholar] [CrossRef]
- Rahaman, M.F.; Naser, J.; Witt, P.J. An unequal granular temperature kinetic theory: Description of granular flow with multiple particle classes. Powder Technol. 2003, 138, 82–92. [Google Scholar] [CrossRef]
- Chen, Y.; Mei, Y.; Wang, W. Kinetic theory of binary particles with unequal mean velocities and non-equipartition energies. Physica A 2017, 469, 293–304. [Google Scholar] [CrossRef]
- Rahaman, M.F.; Sarhan, A.R.; Naser, J. Kinetic theory for multiparticulate flow: Description of granular flow with rotary movement of particles. Powder Technol. 2020, 360, 780–788. [Google Scholar] [CrossRef]
- Solsvik, J.; Manger, E. Kinetic theory models for granular mixtures with unequal granular temperature. Derivation of analytical constitutive equations. Powder Technol. 2021, 385, 580–597. [Google Scholar] [CrossRef]
- Solsvik, J.; Manger, E. Kinetic theory models for granular mixtures with unequal granular temperature: Hydrodynamic velocity. Phys. Fluids 2021, 33, 043321. [Google Scholar] [CrossRef]
- Zhao, B.; Wang, J. Kinetic theory of polydisperse gas-solid flow: Navier–Stokes transport coefficients. Phys. Fluids 2021, 33, 103322. [Google Scholar] [CrossRef]
- Dufty, J.W.; Brey, J.J. Choosing hydrodynamic fields. Math. Model. Nat. Phenom. 2011, 6, 19–36. [Google Scholar] [CrossRef]
- Garzó, V. Comment on “Kinetic theory models for granular mixtures with unequal granular temperature: Hydrodynamic velocity” [Phys. Fluids 33, 043321 (2021)]. Phys. Fluids 2021, 33, 089101. [Google Scholar] [CrossRef]
- Garzó, V. Thermal diffusion segregation in granular binary mixtures described by the Enskog equation. New J. Phys. 2011, 13, 055020. [Google Scholar] [CrossRef]
- Yoon, D.K.; Jenkins, J.T. The influence of different species granular temperatures on segregation in a binary mixture of dissipative grains. Phys. Fluids 2006, 18, 073303. [Google Scholar] [CrossRef]
- Trujillo, L.; Alam, M.; Herrmann, H.J. Segregation in a fluidized binary granular mixture: Competition between buoyancy and geometric forces. Europhys. Lett. 2003, 64, 190–196. [Google Scholar] [CrossRef]
- Alam, M.; Trujillo, L.; Herrmann, H.J. Hydrodynamic theory for reverse Brazil nut segregation and the non-monotonic ascension dynamics. J. Stat. Phys. 2006, 124, 587–623. [Google Scholar] [CrossRef]
- Brey, J.J.; Ruiz-Montero, M.J.; Moreno, F. Hydrodynamic profiles for an impurity in an open vibrated granular gas. Phys. Rev. E 2006, 73, 031301. [Google Scholar] [CrossRef] [PubMed]
- Garzó, V. Segregation in granular binary mixtures: Thermal diffusion. Europhys. Lett. 2006, 75, 521–527. [Google Scholar] [CrossRef][Green Version]
- Garzó, V. Brazil-nut effect versus reverse Brazil-nut effect in a moderately granular dense gas. Phys. Rev. E 2008, 78, 020301. [Google Scholar] [CrossRef] [PubMed]
- Garzó, V. Segregation by thermal diffusion in moderately dense granular mixtures. Eur. Phys. J. E 2009, 29, 261–274. [Google Scholar] [CrossRef] [PubMed][Green Version]
- Garzó, V.; Montanero, J.M. Diffusion of impurities in a granular gas. Phys. Rev. E 2004, 69, 021301. [Google Scholar] [CrossRef]
- Gómez González, R.; Garzó, V. Influence of the first-order contributions to the partial temperatures on transport properties in polydisperse dense granular mixtures. Phys. Rev. E 2019, 100, 032904. [Google Scholar] [CrossRef]
- Gómez González, R.; Khalil, N.; Garzó, V. Enskog kinetic theory for multicomponent granular suspensions. Phys. Rev. E 2020, 101, 012904. [Google Scholar] [CrossRef]
- Gómez González, R.; Garzó, V. First-order contributions to the partial temperatures in dilute binary granular suspensions. In Traffic and Granular Flow 2019; Springer Proceedings in Physics—Chapter 42; Zuriguel, I., Garcimartín, A., Cruz, R., Eds.; Springer: Berlin/Heidelberg, Germany, 2020; Volume 252. [Google Scholar]
- Garzó, V.; Brito, R.; Soto, R. Navier-Stokes transport coefficients for a model of a confined quasi-two-dimensional granular binary mixture. Phys. Fluids 2021, 33, 023310. [Google Scholar] [CrossRef]
- Garzó, V. Kinetic theory for binary granular mixtures at low density. In Theory and Simulation of Hard-Sphere Fluids and Related Systems; Lectures Notes in Physics—Chapter 10; Mulero, A., Ed.; Springer: Berlin/Heidelberg, Germany, 2008; Volume 753. [Google Scholar]
- Khalil, N.; Garzó, V. Transport coefficients for driven granular mixtures at low-density. Phys. Rev. E 2013, 88, 052201. [Google Scholar] [CrossRef]
- Bodrova, A.S.; Osinsky, A.; Brilliantov, N.V. Temperature distribution does not depend on mechanism of energy dissipation. Sci. Rep. 2020, 10, 693. [Google Scholar] [CrossRef] [PubMed]
- Osinsky, A.; Bodrova, A.S.; Brilliantov, N.V. Size-polidisperse dust in molecular gas: Energy equipartition versus nonequipartition. Phys. Rev. E 2020, 101, 022903. [Google Scholar] [CrossRef] [PubMed]

















| Publisher’s Note: MDPI stays neutral with regard to jurisdictional claims in published maps and institutional affiliations. | 
© 2022 by the authors. Licensee MDPI, Basel, Switzerland. This article is an open access article distributed under the terms and conditions of the Creative Commons Attribution (CC BY) license (https://creativecommons.org/licenses/by/4.0/).
Share and Cite
García Chamorro, M.; Gómez González, R.; Garzó, V. Kinetic Theory of Polydisperse Granular Mixtures: Influence of the Partial Temperatures on Transport Properties—A Review. Entropy 2022, 24, 826. https://doi.org/10.3390/e24060826
García Chamorro M, Gómez González R, Garzó V. Kinetic Theory of Polydisperse Granular Mixtures: Influence of the Partial Temperatures on Transport Properties—A Review. Entropy. 2022; 24(6):826. https://doi.org/10.3390/e24060826
Chicago/Turabian StyleGarcía Chamorro, Moisés, Rubén Gómez González, and Vicente Garzó. 2022. "Kinetic Theory of Polydisperse Granular Mixtures: Influence of the Partial Temperatures on Transport Properties—A Review" Entropy 24, no. 6: 826. https://doi.org/10.3390/e24060826
APA StyleGarcía Chamorro, M., Gómez González, R., & Garzó, V. (2022). Kinetic Theory of Polydisperse Granular Mixtures: Influence of the Partial Temperatures on Transport Properties—A Review. Entropy, 24(6), 826. https://doi.org/10.3390/e24060826
 
         
                                                



