The Generalized Euler Characteristics of the Graphs Split at Vertices
Abstract
1. Introduction
2. Theoretical Outline
2.1. The Generalized EULER Characteristic
2.2. A Graph Split into Two Disconnected Subgraphs
3. Measurements of the Spectra of Microwave Networks
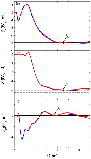
3.1. Networks with the Standard Boundary Conditions
3.2. Networks with the Mixed Boundary Conditions

4. Summary
Author Contributions
Funding
Institutional Review Board Statement
Informed Consent Statement
Data Availability Statement
Conflicts of Interest
References
- Euler, L. Solutio problematis ad geometriam situs pertinentis. Comment. Acad. Sci. Imp. Petropol. 1736, 8, 128–140. [Google Scholar]
- Pauling, L. The diamagnetic anisotropy of aromatic molecules. J. Chem. Phys. 1936, 4, 673–677. [Google Scholar] [CrossRef]
- Sánchez-Gil, J.A.; Freilikher, V.; Yurkevich, I.; Maradudin, A.A. Coexistence of ballistic transport, diffusion, and localization in surface disordered waveguides. Phys. Rev. Lett. 1998, 80, 948–953. [Google Scholar] [CrossRef]
- Kowal, D.; Sivan, U.; Entin-Wohlman, O.; Imry, Y. Transmission through multiply-connected wire systems. Phys. Rev. B 1990, 42, 9009–9018. [Google Scholar] [CrossRef] [PubMed]
- Imry, Y. Introduction to Mesoscopic Physics; Oxford University Press: New York, NY, USA, 1997; p. 234. [Google Scholar]
- Hu, W.; Pillay, J.C.; Wu, K.; Pasek, M.; Shum, P.P.; Chong, Y.D. Measurement of a topological edge invariant in a microwave network. Phys. Rev. X 2015, 5, 011012. [Google Scholar] [CrossRef]
- Szameit, A. Photonics: Chaos from symmetry. Nat. Phys. 2015, 11, 895–896. [Google Scholar] [CrossRef]
- Exner, P.; Šeba, P.; Stovicek, P. Quantum interference on graphs controlled by an external electric field. J. Phys. A Math. Gen. 1988, 21, 4009–4019. [Google Scholar] [CrossRef]
- Kottos, T.; Smilansky, U. Quantum chaos on graphs. Phys. Rev. Lett. 1997, 79, 4794–4797. [Google Scholar] [CrossRef]
- Kottos, T.; Smilansky, U. Periodic Orbit Theory and Spectral Statistics for Quantum Graphs. Ann. Phys. 1999, 274, 76–124. [Google Scholar] [CrossRef]
- Blümel, R.; Dabaghian, Y.; Jensen, R.V. Explicitly Solvable Cases of One-Dimensional Quantum Chaos. Phys. Rev. Lett. 2002, 88, 4. [Google Scholar] [CrossRef]
- Berkolaiko, G.; Kuchment, P. Introduction to Quantum Graphs. In Mathematical Surveys and Monographs; American Mathematical Society: Providence, RI, USA, 2013; p. 270. [Google Scholar]
- Pluhar, Z.; Weidenmueller, H.A. Universal Quantum Graphs. Phys. Rev. Lett. 2014, 112, 144102. [Google Scholar] [CrossRef] [PubMed]
- Pinheiro, L.K.; Souza, B.S.; Trevisan, V. Determining Graphs by the Complementary Spectrum. Discuss. Math.—Graph Theory 2020, 40, 607–620. [Google Scholar] [CrossRef]
- Białous, M.; Dulian, P.; Sawicki, A.; Sirko, L. Delay-time distribution in the scattering of short Gaussian pulses in microwave networks. Phys. Rev. E 2021, 104, 024223. [Google Scholar] [CrossRef] [PubMed]
- Hul, O.; Ławniczak, M.; Bauch, S.; Sawicki, A.; Kuś, M.; Sirko, L. Are scattering properties of graphs uniquely connected to their shapes? Phys. Rev. Lett. 2012, 109, 040402. [Google Scholar] [CrossRef]
- Gadomski, A.; Łuczka, J.; Rudnicki, R. Finite volume effects in a model grain growth. Phys. A Stat. Mech. Appl. 2003, 325, 284–291. [Google Scholar] [CrossRef]
- Gadomski, A.; Kruszewska, N. On clean grain-boundaries involving growth of nonequilibrium crystalline-amorphous superconducting materials addressed by a phenomenological viewpoint. Eur. Phys. J. B 2012, 85, 1–8. [Google Scholar] [CrossRef]
- Kurasov, P. Graph Laplacians and topology. Ark. Mat. 2008, 46, 95–111. [Google Scholar] [CrossRef]
- Kurasov, P. Schrödinger operators on graphs and geometry I: Essentially bounded potentials. J. Funct. Anal. 2008, 254, 934–953. [Google Scholar] [CrossRef]
- Ławniczak, M.; Kurasov, P.; Bauch, S.; Białous, M.; Yunko, V.; Sirko, L. Hearing Euler characteristic of graphs. Phys. Rev. E 2020, 101, 052320. [Google Scholar] [CrossRef]
- Ławniczak, M.; Kurasov, P.; Bauch, S.; Białous, M.; Akhshani, A.; Sirko, L. A new spectral invariant for quantum graphs. Sci. Rep. 2021, 11, 15342. [Google Scholar] [CrossRef]
- Bauch, S.; Ławniczak, M.; Wrochna, J.; Kurasov, P.; Sirko, L. Some Applications of Generalized Euler Characteristic of Quantum Graphs and Microwave Networks. Acta Phys. Pol. A 2021, 140, 525–531. [Google Scholar] [CrossRef]
- Hul, O.; Bauch, S.; Pakoński, P.; Savytskyy, N.; Życzkowski, K.; Sirko, L. Experimental simulation of quantum graphs by microwave networks. Phys. Rev. E 2004, 69, 7. [Google Scholar] [CrossRef] [PubMed]
- Ławniczak, M.; Hul, O.; Bauch, S.; Šeba, P.; Sirko, L. Experimental and numerical investigation of the reflection coefficient and the distributions of Wigner’s reaction matrix for irregular graphs with absorption. Phys. Rev. E 2008, 77, 056210. [Google Scholar] [CrossRef] [PubMed]
- Ławniczak, M.; Bauch, S.; Sirko, L. Application of Microwave Networks to Simulation of Quantum Graphs. In Handbook of Applications of Chaos Theory; Chapman and Hall/CRC: New York, NY, USA, 2016; pp. 559–584. [Google Scholar]
- Dietz, B.; Yunko, V.; Białous, M.; Bauch, S.; Ławniczak, M.; Sirko, L. Nonuniversality in the spectral properties of time-reversal-invariant microwave networks and quantum graphs. Phys. Rev. E 2017, 95, 052202. [Google Scholar] [CrossRef] [PubMed]
- Ławniczak, M.; Sirko, L. Investigation of the diagonal elements of the Wigner’s reaction matrix for networks with violated time reversal invariance. Sci. Rep. 2019, 9, 5630. [Google Scholar] [CrossRef] [PubMed]
- Yunko, V.; Białous, M.; Sirko, L. Edge switch transformation in microwave networks. Phys. Rev. E 2020, 102, 012210. [Google Scholar] [CrossRef]
- Hul, O.; Tymoshchuk, O.; Bauch, S.; Koch, P.M.; Sirko, L. Experimental investigation of Wigner’s reaction matrix for irregular graphs with absorption. J. Phys. A Math. Theor. 2005, 38, 10489. [Google Scholar] [CrossRef]
- Lipovský, J. On the effective size of a non-Weyl graph. J. Phys. A Math. Theor 2016, 49, 375202. [Google Scholar] [CrossRef][Green Version]
- Ławniczak, M.; Lipovský, J.; Sirko, L. Non-Weyl microwave graphs. Phys. Rev. Lett. 2019, 122, 140503. [Google Scholar] [CrossRef]
- Ławniczak, M.; Bauch, S.; Hul, O.; Sirko, L. Experimental investigation of the enhancement factor for microwave irregular networks with preserved and broken time reversal symmetry in the presence of absorption. Phys. Rev. E 2010, 81, 046204. [Google Scholar] [CrossRef]
- Allgaier, M.; Gehler, S.; Barkhofen, S.; Stöckmann, H.J.; Kuhl, U. Spectral properties of microwave graphs with local absorption. Phys. Rev. E 2014, 89, 022925. [Google Scholar] [CrossRef] [PubMed]
- Białous, M.; Yunko, V.; Bauch, S.; Ławniczak, M.; Dietz, B.; Sirko, L. Power Spectrum Analysis and Missing Level Statistics of Microwave Graphs with Violated Time Reversal Invariance. Phys. Rev. Lett. 2016, 117, 144101. [Google Scholar] [CrossRef] [PubMed]
- Ławniczak, M.; Białous, M.; Yunko, V.; Bauch, S.; Dietz, B.; Sirko, L. Analysis of missing level statistics for microwave networks simulating quantum chaotic graphs without time reversal symmetry—The case of randomly lost resonances. Acta Phys. Pol. A 2017, 132, 1672–1676. [Google Scholar] [CrossRef]
- Rehemanjiang, A.; Allgaier, M.; Joyner, C.H.; Müller, S.; Sieber, M.; Kuhl, U.; Stöckmann, H.J. Microwave Realization of the Gaussian Symplectic Ensemble. Phys. Rev. Lett. 2016, 117, 064101. [Google Scholar] [CrossRef] [PubMed]
- Dietz, B.; Friedrich, T.; Harney, H.L.; Miski-Oglu, M.; Richter, A.; Schäfer, F.; Weidenmüller, H.A. Quantum chaotic scattering in microwave resonators. Phys. Rev. E 2010, 81, 036205. [Google Scholar] [CrossRef]
- Yeh, J.H.; Drikas, Z.; Gil Gil, J.; Hong, S.; Taddese, B.; Ott, E.; Antonsen, T.; Andreadis, T.; Anlage, S. Impedance and Scattering Variance Ratios of Complicated Wave Scattering Systems in the Low Loss Regime. Acta Phys. Pol. A 2013, 124, 1045–1052. [Google Scholar] [CrossRef]
- Zheng, X.; Hemmady, S.; Antonsen, T.M.; Anlage, S.M.; Ott, E. Characterization of fluctuations of impedance and scattering matrices in wave chaotic scattering. Phys. Rev. E 2006, 73, 046208. [Google Scholar] [CrossRef]
- Stöckmann, H.J.; Stein, J. “Quantum” chaos in billiards studied by microwave absorption. Phys. Rev. Lett. 1990, 64, 2215–2218. [Google Scholar] [CrossRef]
- Sridhar, S.; Kudrolli, A. Experiments on not “hearing the shape” of drums. Phys. Rev. Lett. 1994, 72, 2175–2178. [Google Scholar] [CrossRef]
- Sirko, L.; Koch, P.M.; Blümel, R. Experimental Identification of Non-Newtonian Orbits Produced by Ray Splitting in a Dielectric-Loaded Microwave Cavity. Phys. Rev. Lett. 1997, 78, 2940–2943. [Google Scholar] [CrossRef]
- Hlushchuk, Y.; Kohler, A.; Bauch, S.; Sirko, L.; Blümel, R.; Barth, M.; Stöckmann, H.J. Autocorrelation function of level velocities for ray-splitting billiards. Phys. Rev. E 2000, 61, 366–370. [Google Scholar] [CrossRef] [PubMed]
- Hlushchuk, Y.; Błedowski, A.; Savytskyy, N.; Sirko, L. Numerical Investigation of Regimes of Wigner and Shnirelman Ergodicity in Rough Billiards. Phys. Scr. 2001, 64, 192–196. [Google Scholar] [CrossRef]
- Hlushchuk, Y.; Sirko, L.; Kuhl, U.; Barth, M.; Stöckmann, H.J. Experimental investigation of a regime of Wigner ergodicity in microwave rough billiards. Phys. Rev. E 2001, 63, 046208. [Google Scholar] [CrossRef]
- Blümel, R.; Koch, P.M.; Sirko, L. Ray-Splitting Billiards. Foun. Phys. 2001, 31, 269–281. [Google Scholar] [CrossRef]
- Dhar, A.; Madhusudhana Rao, D.; Shankar, U.; Sridhar, S. Isospectrality in chaotic billiards. Phys. Rev. E 2003, 68, 5. [Google Scholar] [CrossRef] [PubMed]
- Savytskyy, N.; Hul, O.; Sirko, L. Experimental investigation of nodal domains in the chaotic microwave rough billiard. Phys. Rev. E 2004, 70, 6. [Google Scholar] [CrossRef]
- Hemmady, S.; Zheng, X.; Ott, E.; Antonsen, T.M.; Anlage, S.M. Universal impedance fluctuations in wave chaotic systems. Phys. Rev. Lett. 2005, 94, 014102. [Google Scholar] [CrossRef]
- Hul, O.; Savytskyy, N.; Tymoshchuk, O.; Bauch, S.; Sirko, L. Investigation of nodal domains in the chaotic microwave ray-splitting rough billiard. Phys. Rev. E 2005, 72, 066212. [Google Scholar] [CrossRef]
- Dietz, B.; Richter, A. Quantum and wave dynamical chaos in superconducting microwave billiards. Chaos 2015, 25, 97601. [Google Scholar] [CrossRef]
- Białous, M.; Dietz, B.; Sirko, L. Experimental investigation of the elastic enhancement factor in a microwave cavity emulating a chaotic scattering system with varying openness. Phys. Rev. E 2019, 100, 012210. [Google Scholar] [CrossRef]
- Dietz, B.; Klaus, T.; Miski-Oglu, M.; Richter, A.; Wunderle, M. Partial time-reversal invariance violation in a flat, superconducting microwave cavity with the shape of a chaotic Africa billiard. Phys. Rev. Lett. 2019, 123, 174101. [Google Scholar] [CrossRef] [PubMed]
- Blümel, R.; Buchleitner, A.; Graham, R.; Sirko, L.; Smilansky, U.; Walther, H. Dynamical localization in the microwave interaction of Rydberg atoms: The influence of noise. Phys. Rev. A 1991, 44, 4521. [Google Scholar] [CrossRef] [PubMed]
- Jensen, R.V.; Susskind, S.M.; Sanders, M.M. Chaotic ionization of highly excited hydrogen atoms: Comparison of classical and quantum theory with experiment. Phys. Rep. 1991, 201, 1–56. [Google Scholar] [CrossRef]
- Bellermann, M.; Bergeman, T.; Haffmans, A.; Koch, P.M.; Sirko, L. Electric-field dependence of E1 transitions between highly excited hydrogen Stark sublevels. Phys. Rev. A 1992, 46, 5836. [Google Scholar] [CrossRef] [PubMed]
- Sirko, L.; Yoakum, S.; Haffmans, A.; Koch, P.M. Microwave-driven He Rydberg atoms: Floquet-state degeneracy lifted by a second frequency, Stueckelberg oscillations, and their destruction by added noise. Phys. Rev. A 1993, 47, R782. [Google Scholar] [CrossRef]
- Buchleitner, A.; Delande, D. Quantum dynamics of a circular Rydberg state in a microwave field. Phys. Rev. Lett. 1993, 71, 3633. [Google Scholar] [CrossRef]
- Sirko, L.; Bellermann, M.R.; Haffmans, A.; Koch, P.M.; Richards, D. Probing quantal dynamics of mixed phase space systems with noise. Phys. Rev. Lett. 1993, 71, 2895. [Google Scholar] [CrossRef]
- Bayfield, J.E.; Luie, S.Y.; Perotti, L.C.; Skrzypkowski, M.P. Excited hydrogen atoms in pulsed microwaves: Journeys to quantum chaos and back. Physics D 1995, 83, 46–54. [Google Scholar] [CrossRef]
- Sirko, L.; Koch, P. The pendulum approximation for the main quantal resonance zone in periodically driven hydrogen atoms. Appl. Phys. B 1995, 60, S195. [Google Scholar]
- Sirko, L.; Haffmans, A.; Bellermann, M.R.; Koch, P.M. Microwave "ionization" of excited hydrogen atoms: Frequency dependence in a resonance zone. Eur. Lett. 1996, 33, 181. [Google Scholar] [CrossRef]
- Kaulakys, B.; Ciziunas, A. A theoretical determination of the diffusion-like ionisation time of Rydberg atoms. J. Phys. B Atom. Mol. Phys. 1987, 20, 1031. [Google Scholar] [CrossRef]
- Sirko, L.; Zelazny, S.A.; Koch, P.M. Use of the relative phase in a bichromatic field pulse to control a quasienergy gap. Phys. Rev. Lett. 2001, 87, 43002-1–43002-4. [Google Scholar] [CrossRef] [PubMed]
- Sirko, L.; Koch, P.M. Control of common resonances in bichromatically driven hydrogen atoms. Phys. Rev. Lett. 2002, 89, 274101. [Google Scholar] [CrossRef] [PubMed]
- Arakelyan, A.; Nunkaew, J.; Gallagher, T.F. Ionization of Na Rydberg atoms by a 79-GHz microwave field. Phys. Rev. A 2016, 94, 053416. [Google Scholar] [CrossRef]
- Ławniczak, M.; Kurasov, P.; Bauch, S.; Białous, M.; Sirko, L. The Relationship Between the Euler Characteristic and the Spectra of Graphs and Networks. In Proceedings of the Chaotic Modeling and Simulation International Conference, Florence, Italy, 9–12 June 2020; pp. 487–497. [Google Scholar]
- Ławniczak, M.; Kurasov, P.; Bauch, S.; Białous, M.; Sirko, L. Euler characteristic of graphs and networks. Acta Phys. Pol. A 2021, 139, 323–327. [Google Scholar] [CrossRef]
- Jones, D.S. The Theory of Electromagnetism; Pergamon Press: Oxford, UK, 1964. [Google Scholar]
- Savytskyy, N.; Kohler, A.; Bauch, S.; Blümel, R.; Sirko, L. Parametric correlations of the energy levels of ray-splitting billiards. Phys. Rev. E 2001, 64, 5. [Google Scholar] [CrossRef]



Publisher’s Note: MDPI stays neutral with regard to jurisdictional claims in published maps and institutional affiliations. |
© 2022 by the authors. Licensee MDPI, Basel, Switzerland. This article is an open access article distributed under the terms and conditions of the Creative Commons Attribution (CC BY) license (https://creativecommons.org/licenses/by/4.0/).
Share and Cite
Farooq, O.; Ławniczak, M.; Akhshani, A.; Bauch, S.; Sirko, L. The Generalized Euler Characteristics of the Graphs Split at Vertices. Entropy 2022, 24, 387. https://doi.org/10.3390/e24030387
Farooq O, Ławniczak M, Akhshani A, Bauch S, Sirko L. The Generalized Euler Characteristics of the Graphs Split at Vertices. Entropy. 2022; 24(3):387. https://doi.org/10.3390/e24030387
Chicago/Turabian StyleFarooq, Omer, Michał Ławniczak, Afshin Akhshani, Szymon Bauch, and Leszek Sirko. 2022. "The Generalized Euler Characteristics of the Graphs Split at Vertices" Entropy 24, no. 3: 387. https://doi.org/10.3390/e24030387
APA StyleFarooq, O., Ławniczak, M., Akhshani, A., Bauch, S., & Sirko, L. (2022). The Generalized Euler Characteristics of the Graphs Split at Vertices. Entropy, 24(3), 387. https://doi.org/10.3390/e24030387

