Zonal Estimators for Quasiperiodic Bosonic Many-Body Phases
Abstract
:1. Introduction
2. Methodology
3. Application: Trapped Bosons in a Quasicrystal Potential
4. Density Profiles and Diffraction Patterns
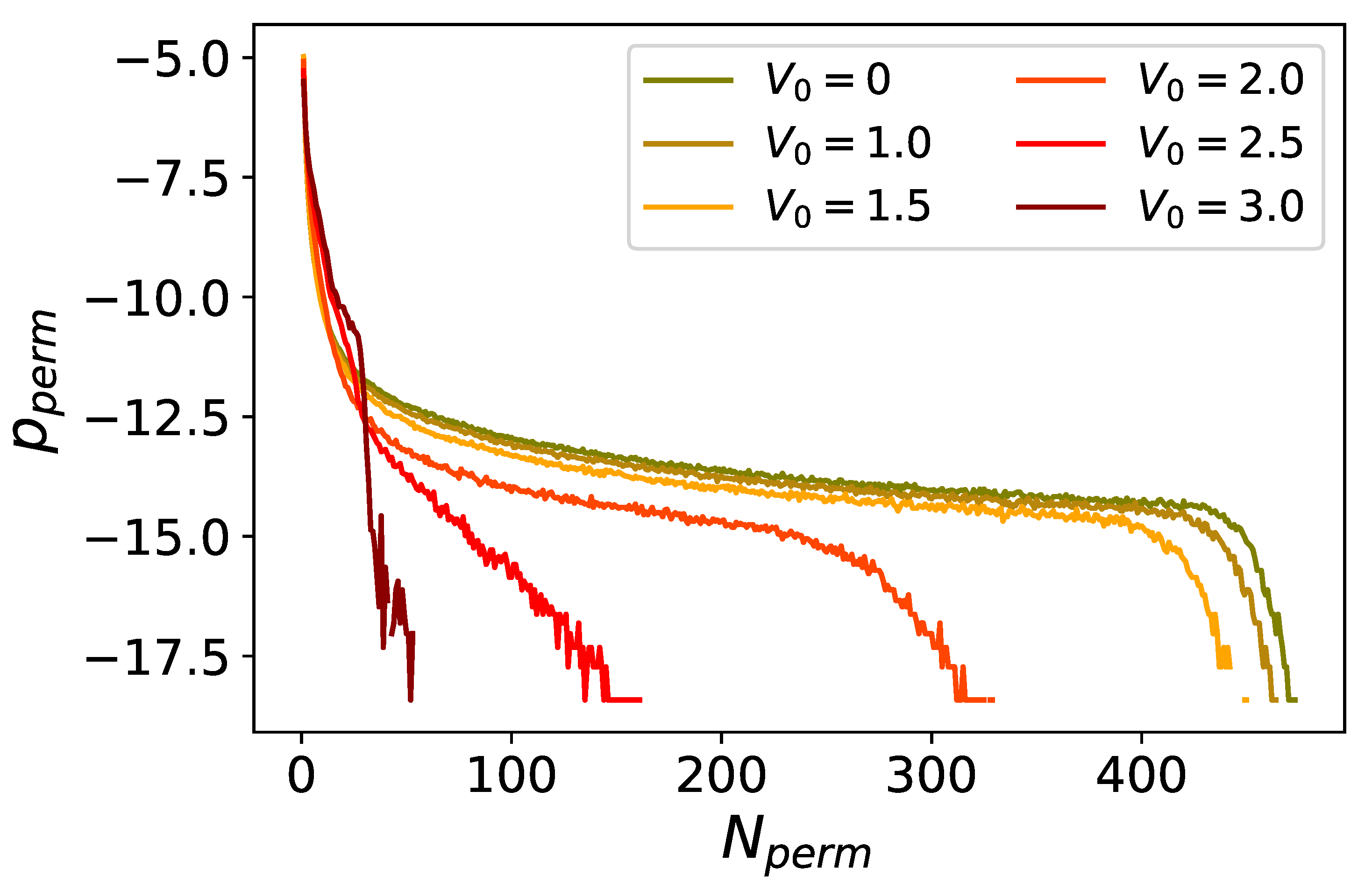
5. Global Quantum Estimators
6. Zonal Superfluid Estimators
7. Discussion and Conclusions
Author Contributions
Funding
Institutional Review Board Statement
Informed Consent Statement
Data Availability Statement
Acknowledgments
Conflicts of Interest
References
- Pollet, L. Recent developments in quantum Monte Carlo simulations with applications for cold gases. Rep. Prog. Phys. 2012, 75, 094501. [Google Scholar] [CrossRef] [PubMed]
- Boninsegni, M.; Prokof’ev, N.V.; Svistunov, B.V. Worm algorithm and diagrammatic Monte Carlo: A new approach to continuous-space path integral Monte Carlo simulations. Phys. Rev. E 2006, 74, 036701. [Google Scholar] [CrossRef] [PubMed] [Green Version]
- Zeng, T.; Roy, P.N. Microscopic molecular superfluid response: Theory and simulations. Rep. Prog. Phys. 2014, 77, 046601. [Google Scholar] [CrossRef] [PubMed] [Green Version]
- Ardila, L.A.P.N.; Vitiello, S.A.; de Koning, M. Elastic constants of hcp 4He: Path-integral Monte Carlo results versus experiment. Phys. Rev. B 2011, 84, 094119. [Google Scholar] [CrossRef] [Green Version]
- Büchler, H.P.; Demler, E.; Lukin, M.; Micheli, A.; Prokof’ev, N.; Pupillo, G.; Zoller, P. Strongly Correlated 2D Quantum Phases with Cold Polar Molecules: Controlling the Shape of the Interaction Potential. Phys. Rev. Lett. 2007, 98, 060404. [Google Scholar] [CrossRef] [Green Version]
- Cinti, F.; Boninsegni, M. Classical and quantum filaments in the ground state of trapped dipolar Bose gases. Phys. Rev. A 2017, 96, 013627. [Google Scholar] [CrossRef] [Green Version]
- Moroni, S.; Boninsegni, M. Coexistence, Interfacial Energy, and the Fate of Microemulsions of 2D Dipolar Bosons. Phys. Rev. Lett. 2014, 113, 240407. [Google Scholar] [CrossRef] [Green Version]
- Cinti, F.; Cappellaro, A.; Salasnich, L.; Macrì, T. Superfluid Filaments of Dipolar Bosons in Free Space. Phys. Rev. Lett. 2017, 119, 215302. [Google Scholar] [CrossRef] [Green Version]
- Saito, H. Path-Integral Monte Carlo Study on a Droplet of a Dipolar Bose–Einstein Condensate Stabilized by Quantum Fluctuation. J. Phys. Soc. Jpn. 2016, 85, 053001. [Google Scholar] [CrossRef]
- Cinti, F.; Macrì, T.; Lechner, W.; Pupillo, G.; Pohl, T. Defect-induced supersolidity with soft-core bosons. Nat. Commun. 2014, 5, 3235. [Google Scholar] [CrossRef] [Green Version]
- Pupillo, G.; Micheli, A.; Boninsegni, M.; Lesanovsky, I.; Zoller, P. Strongly Correlated Gases of Rydberg-Dressed Atoms: Quantum and Classical Dynamics. Phys. Rev. Lett. 2010, 104, 223002. [Google Scholar] [CrossRef] [Green Version]
- Cinti, F.; Jain, P.; Boninsegni, M.; Micheli, A.; Zoller, P.; Pupillo, G. Supersolid Droplet Crystal in a Dipole-Blockaded Gas. Phys. Rev. Lett. 2010, 105, 135301. [Google Scholar] [CrossRef]
- Cinti, F.; Boninsegni, M.; Pohl, T. Exchange-induced crystallization of soft-core bosons. New J. Phys. 2014, 16, 033038. [Google Scholar] [CrossRef] [Green Version]
- Macrì, T.; Maucher, F.; Cinti, F.; Pohl, T. Elementary excitations of ultracold soft-core bosons across the superfluid-supersolid phase transition. Phys. Rev. A 2013, 87, 061602. [Google Scholar] [CrossRef] [Green Version]
- Macrì, T.; Saccani, S.; Cinti, F. Ground State and Excitation Properties of Soft-Core Bosons. J. Low Temp. Phys. 2014, 177, 59–71. [Google Scholar] [CrossRef] [Green Version]
- Pattabhiraman, H.; Dijkstra, M. On the formation of stripe, sigma, and honeycomb phases in a core–corona system. Soft Matter 2017, 13, 4418–4432. [Google Scholar] [CrossRef]
- Barkan, K.; Engel, M.; Lifshitz, R. Controlled Self-Assembly of Periodic and Aperiodic Cluster Crystals. Phys. Rev. Lett. 2014, 113, 098304. [Google Scholar] [CrossRef] [Green Version]
- Barkan, K.; Diamant, H.; Lifshitz, R. Stability of quasicrystals composed of soft isotropic particles. Phys. Rev. B 2011, 83, 172201. [Google Scholar] [CrossRef] [Green Version]
- Pupillo, G.; Ziherl, P.C.V.; Cinti, F. Quantum cluster quasicrystals. Phys. Rev. B 2020, 101, 134522. [Google Scholar] [CrossRef]
- Shechtman, D.; Blech, I.; Gratias, D.; Cahn, J.W. Metallic Phase with Long-Range Orientational Order and No Translational Symmetry. Phys. Rev. Lett. 1984, 53, 1951–1953. [Google Scholar] [CrossRef] [Green Version]
- Bindi, L.; Steinhardt, P.J.; Yao, N.; Lu, P.J. Natural Quasicrystals. Science 2009, 324, 1306–1309. [Google Scholar] [CrossRef] [Green Version]
- Levine, D.; Steinhardt, P.J. Quasicrystals: A New Class of Ordered Structures. Phys. Rev. Lett. 1984, 53, 2477–2480. [Google Scholar] [CrossRef] [Green Version]
- Penrose, R. The role of aesthetics in pure and applied mathematical research. Bull. Inst. Math. Appl. 1974, 10, 266–271. [Google Scholar]
- Malescio, G.; Pellicane, G. Stripe patterns in two-dimensional systems with core-corona molecular architecture. Phys. Rev. E 2004, 70, 021202. [Google Scholar] [CrossRef]
- Dotera, T.; Oshiro, T.; Ziherl, P. Mosaic two-lengthscale quasicrystals. Nature 2014, 506, 208–211. [Google Scholar] [CrossRef]
- Aumann, A.; Ackemann, T.; Große Westhoff, E.; Lange, W. Eightfold quasipatterns in an optical pattern-forming system. Phys. Rev. E 2002, 66, 046220. [Google Scholar] [CrossRef]
- Herrero, R.; Große Westhoff, E.; Aumann, A.; Ackemann, T.; Logvin, Y.A.; Lange, W. Twelvefold Quasiperiodic Patterns in a Nonlinear Optical System with Continuous Rotational Symmetry. Phys. Rev. Lett. 1999, 82, 4627–4630. [Google Scholar] [CrossRef]
- Pampaloni, E.; Ramazza, P.L.; Residori, S.; Arecchi, F.T. Two-Dimensional Crystals and Quasicrystals in Nonlinear Optics. Phys. Rev. Lett. 1995, 74, 258–261. [Google Scholar] [CrossRef]
- Ahn, S.J.; Moon, P.; Kim, T.H.; Kim, H.W.; Shin, H.C.; Kim, E.H.; Cha, H.W.; Kahng, S.J.; Kim, P.; Koshino, M.; et al. Dirac electrons in a dodecagonal graphene quasicrystal. Science 2018, 361, 782–786. [Google Scholar] [CrossRef] [Green Version]
- Sbroscia, M.; Viebahn, K.; Carter, E.; Yu, J.C.; Gaunt, A.; Schneider, U. Observing Localization in a 2D Quasicrystalline Optical Lattice. Phys. Rev. Lett. 2020, 125, 200604. [Google Scholar] [CrossRef]
- Viebahn, K.; Sbroscia, M.; Carter, E.; Yu, J.C.; Schneider, U. Matter-Wave Diffraction from a Quasicrystalline Optical Lattice. Phys. Rev. Lett. 2019, 122, 110404. [Google Scholar] [CrossRef] [PubMed] [Green Version]
- yoon Choi, J.; Hild, S.; Zeiher, J.; Schauß, P.; Rubio-Abadal, A.; Yefsah, T.; Khemani, V.; Huse, D.A.; Bloch, I.; Gross, C. Exploring the many-body localization transition in two dimensions. Science 2016, 352, 1547–1552. [Google Scholar] [CrossRef] [PubMed] [Green Version]
- Fisher, M.P.A.; Weichman, P.B.; Grinstein, G.; Fisher, D.S. Boson localization and the superfluid-insulator transition. Phys. Rev. B 1989, 40, 546–570. [Google Scholar] [CrossRef] [PubMed] [Green Version]
- Ciardi, M.; Macrì, T.; Cinti, F. Finite-temperature phases of trapped bosons in a two-dimensional quasiperiodic potential. Phys. Rev. A 2022, 105, L011301. [Google Scholar] [CrossRef]
- Söyler, I.M.C.G.; Kiselev, M.; Prokof’ev, N.V.; Svistunov, B.V. Phase Diagram of the Commensurate Two-Dimensional Disordered Bose-Hubbard Model. Phys. Rev. Lett. 2011, 107, 185301. [Google Scholar] [CrossRef] [Green Version]
- Sanchez-Palencia, L.; Santos, L. Bose-Einstein condensates in optical quasicrystal lattices. Phys. Rev. A 2005, 72, 053607. [Google Scholar] [CrossRef] [Green Version]
- Gautier, R.; Yao, H.; Sanchez-Palencia, L. Strongly Interacting Bosons in a Two-Dimensional Quasicrystal Lattice. Phys. Rev. Lett. 2021, 126, 110401. [Google Scholar] [CrossRef]
- Johnstone, D.; Öhberg, P.; Duncan, C.W. Mean-field phases of an ultracold gas in a quasicrystalline potential. Phys. Rev. A 2019, 100, 053609. [Google Scholar] [CrossRef] [Green Version]
- Szabó, A.; Schneider, U. Mixed spectra and partially extended states in a two-dimensional quasiperiodic model. Phys. Rev. B 2020, 101, 014205. [Google Scholar] [CrossRef] [Green Version]
- Feynman, R. Statistical Mechanics: A Set of Lectures; Advanced Books Classics; Avalon Publishing: New York, NY, USA, 1998. [Google Scholar]
- Feynman, R.; Hibbs, A.; Styer, D. Quantum Mechanics and Path Integrals; Dover Books on Physics; Dover Publications: Mineola, NY, USA, 2010. [Google Scholar]
- Krauth, W. Statistical Mechanics: Algorithms and Computations; Oxford Master Series in Physics; Oxford University Press: Oxford, UK, 2006. [Google Scholar]
- Landau, D.P.; Binder, K. A Guide to Monte Carlo Simulations in Statistical Physics, 2nd ed.; Cambridge Books Online; Cambridge University Press: Cambridge, UK, 2005. [Google Scholar]
- Boninsegni, M.; Prokof’ev, N.; Svistunov, B. Worm Algorithm for Continuous-Space Path Integral Monte Carlo Simulations. Phys. Rev. Lett. 2006, 96, 070601. [Google Scholar] [CrossRef] [Green Version]
- Ceperley, D.M. Path integrals in the theory of condensed helium. Rev. Mod. Phys. 1995, 67, 279–355. [Google Scholar] [CrossRef]
- Boninsegni, M. Permutation Sampling in Path Integral Monte Carlo. J. Low Temp. Phys. 2005, 141, 27–46. [Google Scholar] [CrossRef] [Green Version]
- Chin, S.A. Symplectic integrators from composite operator factorizations. Phys. Lett. A 1997, 226, 344–348. [Google Scholar] [CrossRef]
- Pilati, S.; Sakkos, K.; Boronat, J.; Casulleras, J.; Giorgini, S. Equation of state of an interacting Bose gas at finite temperature: A Path Integral Monte Carlo study. Phys. Rev. A 2006, 74, 043621. [Google Scholar] [CrossRef] [Green Version]
- Pilati, S.; Giorgini, S.; Prokof’ev, N. Critical Temperature of Interacting Bose Gases in Two and Three Dimensions. Phys. Rev. Lett. 2008, 100, 140405. [Google Scholar] [CrossRef] [Green Version]
- Asmar, N.H. Add to Wishlist Partial Differential Equations with Fourier Series and Boundary Value Problems; Dover Publications: Mineola, NY, USA, 2016. [Google Scholar]
- Krauth, W. Quantum Monte Carlo Calculations for a Large Number of Bosons in a Harmonic Trap. Phys. Rev. Lett. 1996, 77, 3695–3699. [Google Scholar] [CrossRef] [Green Version]
- Grünbaum, B.; Shephard, G.C. Tilings and Patterns; Freeman: New York, NY, USA, 1986. [Google Scholar]
- Pitaevskii, L.; Stringari, S. Bose-Einstein Condensation and Superfluidity; International Series of Monographs on Physics; Oxford University Press: Oxford, UK, 2016. [Google Scholar] [CrossRef]
- Pilati, S.; Boronat, J.; Casulleras, J.; Giorgini, S. Quantum Monte Carlo simulation of a two-dimensional Bose gas. Phys. Rev. A 2005, 71, 023605. [Google Scholar] [CrossRef] [Green Version]
- Petrov, D.S.; Holzmann, M.; Shlyapnikov, G.V. Bose-Einstein Condensation in Quasi-2D Trapped Gases. Phys. Rev. Lett. 2000, 84, 2551–2555. [Google Scholar] [CrossRef] [Green Version]
- Petrov, D.S.; Shlyapnikov, G.V. Interatomic collisions in a tightly confined Bose gas. Phys. Rev. A 2001, 64, 012706. [Google Scholar] [CrossRef] [Green Version]
- Chaikin, P.M.; Lubensky, T.C. Principles of Condensed Matter Physics; Cambridge University Press: Cambridge, UK, 1995. [Google Scholar] [CrossRef] [Green Version]
- Jain, P.; Cinti, F.; Boninsegni, M. Structure, Bose-Einstein condensation, and superfluidity of two-dimensional confined dipolar assemblies. Phys. Rev. B 2011, 84, 014534. [Google Scholar] [CrossRef] [Green Version]
- Tisza, L. Transport Phenomena in Helium II. Nature 1938, 141, 913. [Google Scholar] [CrossRef]
- London, F. Superfluids: Macroscopic Theory of Superfluid Helium; Dover Books on Physics and Mathematical Physics; Dover Publications: Mineola, NY, USA, 1954. [Google Scholar]
- Leggett, A.J. Quantum Liquids; Oxford University Press: Oxford, UK, 2006. [Google Scholar] [CrossRef] [Green Version]
- Sindzingre, P.; Klein, M.L.; Ceperley, D.M. Path-integral Monte Carlo study of low-temperature 4He clusters. Phys. Rev. Lett. 1989, 63, 1601–1604. [Google Scholar] [CrossRef]
- Kwon, Y.; Paesani, F.; Whaley, K.B. Local superfluidity in inhomogeneous quantum fluids. Phys. Rev. B 2006, 74, 174522. [Google Scholar] [CrossRef]
- Defenu, N.; Donner, T.; Macrì, T.; Pagano, G.; Ruffo, S.; Trombettoni, A. Long-range interacting quantum systems. arXiv 2021, arXiv:2109.01063. [Google Scholar]
- Malescio, G.; Pellicane, G. Stripe phases from isotropic repulsive interactions. Nat. Mater. 2003, 2, 97–100. [Google Scholar] [CrossRef]
- Cinti, F. Cluster stability driven by quantum fluctuations. Phys. Rev. B 2019, 100, 214515. [Google Scholar] [CrossRef] [Green Version]
- Cinti, F.; Macrì, T. Thermal and Quantum Fluctuation Effects in Quasiperiodic Systems in External Potentials. Condens. Matter 2019, 4, 93. [Google Scholar] [CrossRef] [Green Version]
- Tononi, A.; Cinti, F.; Salasnich, L. Quantum Bubbles in Microgravity. Phys. Rev. Lett. 2020, 125, 010402. [Google Scholar] [CrossRef]
- Prestipino, S. Bose-Hubbard model on polyhedral graphs. Phys. Rev. A 2021, 103, 033313. [Google Scholar] [CrossRef]
- De Gregorio, D.; Prestipino, S. Classical and Quantum Gases on a Semiregular Mesh. Appl. Sci. 2021, 11, 53. [Google Scholar] [CrossRef]








Publisher’s Note: MDPI stays neutral with regard to jurisdictional claims in published maps and institutional affiliations. |
© 2022 by the authors. Licensee MDPI, Basel, Switzerland. This article is an open access article distributed under the terms and conditions of the Creative Commons Attribution (CC BY) license (https://creativecommons.org/licenses/by/4.0/).
Share and Cite
Ciardi, M.; Macrì, T.; Cinti, F. Zonal Estimators for Quasiperiodic Bosonic Many-Body Phases. Entropy 2022, 24, 265. https://doi.org/10.3390/e24020265
Ciardi M, Macrì T, Cinti F. Zonal Estimators for Quasiperiodic Bosonic Many-Body Phases. Entropy. 2022; 24(2):265. https://doi.org/10.3390/e24020265
Chicago/Turabian StyleCiardi, Matteo, Tommaso Macrì, and Fabio Cinti. 2022. "Zonal Estimators for Quasiperiodic Bosonic Many-Body Phases" Entropy 24, no. 2: 265. https://doi.org/10.3390/e24020265
APA StyleCiardi, M., Macrì, T., & Cinti, F. (2022). Zonal Estimators for Quasiperiodic Bosonic Many-Body Phases. Entropy, 24(2), 265. https://doi.org/10.3390/e24020265

