Prediction of Wall Heat Fluxes in a Rocket Engine with Conjugate Heat Transfer Based on Large-Eddy Simulation
Abstract
:1. Introduction
2. The JAXA Chamber Configurations
3. Computational Setup
3.1. Numerical Approach to Solve the Reactive Flow Field
3.1.1. Numerical Scheme
3.1.2. Liquid Injection Model
3.1.3. Kinetics for the Combustion Model
3.2. Numerical Approach to Solve the Heat Equation in the Solid
3.3. Conjugate Heat Transfer Coupling Approach
3.4. Meshes and Boundary Conditions
4. Results
4.1. Description of the Two-Phase Flow
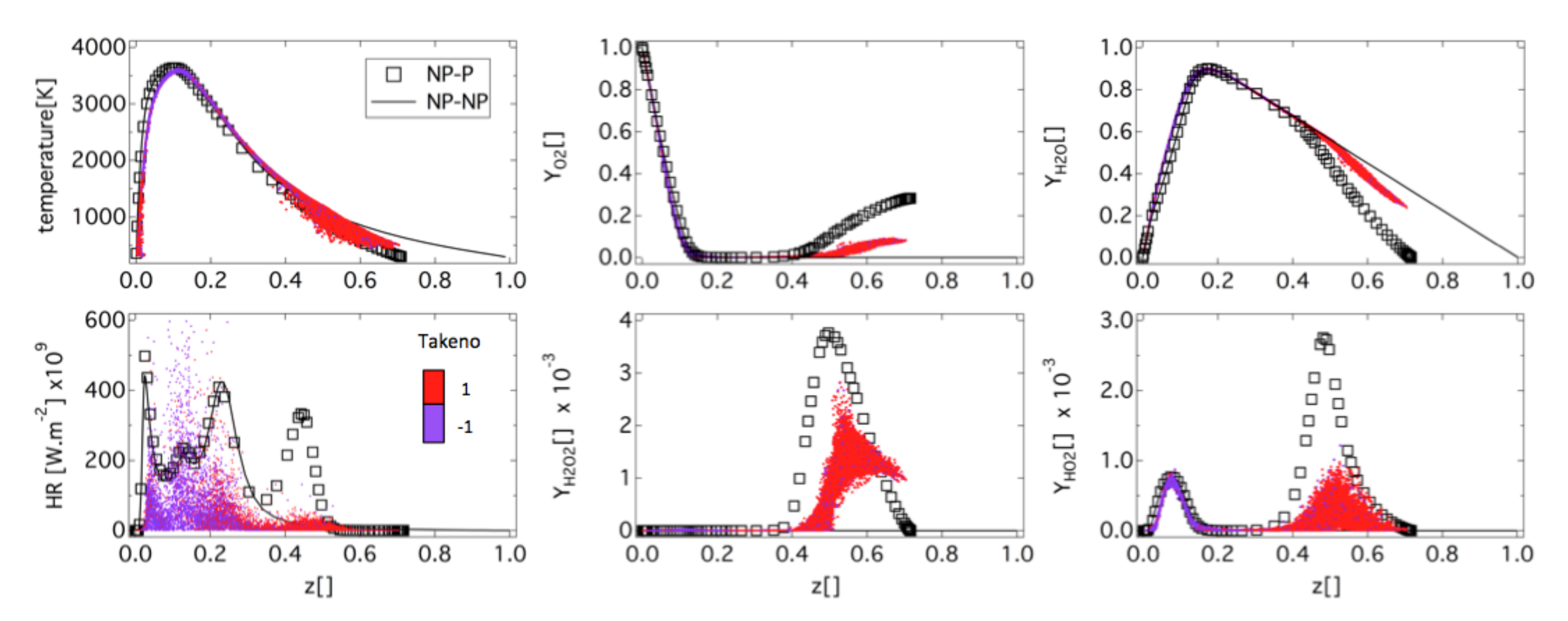
4.2. Flame Structure
4.3. Comparison between Ribbed and Smooth Chambers
4.3.1. Stratification in the Inter-Rib Region
4.3.2. Heat Transfer
4.4. Heat Transfer: Comparison with Experiment
5. Conclusions
Author Contributions
Funding
Institutional Review Board Statement
Informed Consent Statement
Data Availability Statement
Conflicts of Interest
References
- Burch, R.L.; Cheung, F.B. Numerical investigation of two- and three-dimensional heat transfer in expander cycle engines. NASA Propul. Eng. Res. Cent. 1993, 2, 97–100. [Google Scholar]
- Kumar, A.; Venkateswarlu, V.; Satyaprasad, P.; Rao, M.R. Development of film cooled thruster for rocket application. In Proceedings of the ASME 2019 Gas Turbine India Conference, Chennai, India, 5–6 December 2019. [Google Scholar]
- NASA. Orbit Transfer Rocket Engine Technology Program: Enhanced Heat Transfer Combustor Technology: Heat Load Maximization Studies; Technical Report; NASA: Washington, WA, USA, 1991. [Google Scholar]
- Han, J. Recent Studies in Turbine Blade Cooling. Int. J. Rotating Mach. 2004, 10, 443–457. [Google Scholar] [CrossRef]
- Duchaine, F.; Gicquel, L.; Grosnickel, T.; Koupper, C. Large-Eddy Simulation of the Flow Developing in Static and Rotating Ribbed Channels. J. Turbomach. 2020, 142, 041003. [Google Scholar] [CrossRef]
- Perrot, A.; Gicquel, L.; Duchaine, F.; Odier, N.; Dombard, J.; Grosnickel, T. Unsteady Analysis of Heat Transfer Coefficient Distribution in a Static Ribbed Channel for An Established Flow. In Proceedings of the ASME Turbo Expo 2020: Turbomachinery Technical Conference and Exposition, Virtual, Online. 21–25 September 2020. [Google Scholar]
- Jordan, S.A. The turbulent character and pressure loss produced by periodic symmetric ribs in a circular duct. Int. J. Heat Fluid Flow 2003, 24, 795–806. [Google Scholar] [CrossRef]
- Vicente, P.G.; Garc, A.; Viedma, A. Experimental investigation on heat transfer and frictional characteristics of spirally corrugated tubes in turbulent flow at different Prandtl numbers. Int. J. Heat Mass Transf. 2004, 47, 671–681. [Google Scholar] [CrossRef]
- Campet, R.; Zhu, M.; Riber, E.; Cuenot, B.; Nemri, M. Large Eddy Simulation of a single-started helically ribbed tube with heat transfer. Int. J. Heat Mass Transf. 2019, 132, 961–969. [Google Scholar] [CrossRef]
- Negishi, H.; Kumakawa, A.; Yamanishi, N.; Kurosu, A. Heat Transfer Simulations in Liquid Rocket Engine Subscale Thrust Chambers. In Proceedings of the 44th AIAA/ASME/SAE/ASEE Joint Propulsion Conference & Exhibit, Hartford, CT, USA, 21–23 July 2008. [Google Scholar]
- Negishi, H.; Kumakawa, A.; Moriya, S.; Yamanishi, N.; Sunakawa, H. Thrust Chamber with Hot Gas Side Wall Ribs; AIAA: Reston, VA, USA, 2009; pp. 1–14. [Google Scholar]
- Betti, B.; Nasuti, F. Numerical Simulation of Hot-Gas Side Heat Transfer Enhancement in Thrust Chambers by Wall Ribs; AIAA: Reston, VA, USA, 2011; pp. 1–11. [Google Scholar]
- Méry, Y.; Hakim, L.; Scouflaire, P.; Vingert, L.; Ducruix, S.; Candel, S. Experimental investigation of cryogenic flame dynamics under transverse acoustic modulations. C. R. Mec. 2013, 341, 100–109. [Google Scholar] [CrossRef]
- Schmitt, T.; Méry, Y.; Boileau, M.; Candel, S. Large-Eddy Simulation of oxygen/methane flames under transcritical conditions. Proc. Combust. Inst. 2011, 33, 1383–1390. [Google Scholar] [CrossRef]
- Ruiz, A. Unsteady Numerical Simulations of Transcritical Turbulent Combustion in Liquid Rocket Engines. Ph.D. Thesis, Institut National Polytechnique de Toulouse, Toulouse, France, November 2012. [Google Scholar]
- Urbano, A.; Selle, L.; Staffelbach, G.; Cuenot, B.; Schmitt, T.; Ducruix, S.; Candel, S. Exploration of combustion instability triggering using Large Eddy Simulation of a multiple injector Liquid Rocket Engine. Combust. Flame 2016, 169, 129–140. [Google Scholar] [CrossRef] [Green Version]
- Urbano, A.; Douasbin, Q.; Selle, L.; Staffelbach, G.; Cuenot, B.; Schmitt, T.; Ducruix, S.; Candel, S. Study of flame response to transverse acoustic modes from the LES of a 42-injector rocket engine. Proc. Combust. Inst. 2017, 36, 2633–2639. [Google Scholar] [CrossRef] [Green Version]
- Maestro, D.; Cuenot, B.; Selle, L. Large Eddy Simulation of Combustion and Heat Transfer in a Single Element GCH4/GOx Rocket Combustor. Flow Turbul. Combust. 2019, 103, 699–730. [Google Scholar] [CrossRef]
- Laurent, C.; Staffelbach, G.; Nicoud, F.; Poinsot, T. Heat-release dynamics in a doubly-transcritical LO2/LCH4 cryogenic coaxial jet flame subjected to fuel inflow acoustic modulation. Proc. Combust. Inst. 2021, 38, 6375–6383. [Google Scholar] [CrossRef]
- Lacaze, G. Simulation Numerique aux Grandes Echelles de l’allumage de moteurs fusees cryotechniques. Ph.D. Thesis, Institut National Polytechnique de Toulouse, Toulouse, France, May 2009. [Google Scholar]
- Rocchi, J.P. Simulation aux Grandes Echelles de la phase d’allumage dans un moteur fusee cryogenique. Ph.D. Thesis, Institut National Polytechnique de Toulouse, Toulouse, France, September 2014. [Google Scholar]
- Schønfeld, T.; Rudgyard, M. Steady and Unsteady Flows Simulations Using the Hybrid Flow Solver AVBP. AIAA J. 1999, 37, 1378–1385. [Google Scholar] [CrossRef]
- Mendez, S.; Nicoud, F. Large-eddy simulation of a bi-periodic turbulent flow with effusion. J. Fluid Mech. 2008, 598, 27–65. [Google Scholar] [CrossRef] [Green Version]
- Selmin, V. Third-Order Finite Element Schemes for the Solution of Hyperbolic Problems; Technical Report RR-0707; INRIA: Valbonne, France, July 1987. [Google Scholar]
- Donea, J.; Huerta, A. Finite Element Methods for Flow Problems; John Wiley & Sons Inc: New York, NY, USA, 2003. [Google Scholar]
- Colin, O.; Rudgyard, M. Development of high-order Taylor-Galerkin schemes for unsteady calculations. J. Comput. Phys. 2000, 162, 338–371. [Google Scholar] [CrossRef]
- Boileau, M.; Staffelbach, G.; Cuenot, B.; Poinsot, T.; Bérat, C. LES of an ignition sequence in a gas turbine engine. Combust. Flame 2008, 154, 2–22. [Google Scholar] [CrossRef] [Green Version]
- Staffelbach, G.; Gicquel, L.Y.M.; Boudier, G.; Poinsot, T. Large Eddy Simulation of self-excited azimuthal modes in annular combustors. Proc. Combust. Inst. 2009, 32, 2909–2916. [Google Scholar] [CrossRef] [Green Version]
- Gicquel, L.Y.M.; Staffelbach, G.; Poinsot, T. Large Eddy Simulations of gaseous flames in gas turbine combustion chambers. Prog. Energy Combust. Sci. 2012, 38, 782–817. [Google Scholar]
- Pouech, P.; Duchaine, F.; Poinsot, T. Premixed flame ignition in high-speed flows over a backward facing step. Combust. Flame 2021, 229, 111398. [Google Scholar] [CrossRef]
- Boileau, M.; Duchaine, F.; Jouhaud, J.C.; Sommerer, Y. Large eddy simulation of heat transfer around a square cylinder using unstructured grids. AIAA J. 2013, 51, 372–385. [Google Scholar] [CrossRef] [Green Version]
- Duchaine, F.; Maheu, N.; Moureau, V.; Balarac, G.; Moreau, S. Large Eddy Simulation and Conjugate Heat Transfer Around a Low-Mach Turbine Blade. J. Turbomach. 2013, 136, 051015. [Google Scholar] [CrossRef]
- Pope, S.B. Turbulent Flows; Cambridge University Press: Cambridge, UK, 2000. [Google Scholar]
- Nicoud, F.; Baya Toda, H.; Cabrit, O.; Bose, S.; Lee, J. Using singular values to build a subgrid-scale model for large eddy simulations. Phys. Fluids 2011, 23, 085106. [Google Scholar] [CrossRef] [Green Version]
- Riber, E.; Moureau, V.; García, M.; Poinsot, T.; Simonin, O. Evaluation of numerical strategies for large eddy simulation of particulate two-phase recirculating flows. J. Comput. Phys. 2009, 228, 539–564. [Google Scholar] [CrossRef] [Green Version]
- Sirignano, W.A. Fluid Dynamics and Transport of Droplets and Sprays; Cambridge University Press: Cambridge, UK, 1999. [Google Scholar]
- Farago, Z.; Chigier, N. Morphological classification of disintegration of round liquid jets in a coaxial air stream. At. Sprays 1992, 2, 137–153. [Google Scholar]
- Rehab, H.; Villermaux, E.; Hopfinger, E.J. Flow regimes of large-velocity-ratio coaxial jets. J. Fluid Mech. 1997, 345, 357–381. [Google Scholar] [CrossRef]
- Lasheras, J.C.; Hopfinger, E.J. Liquid jet instability and atomization in a coaxial gas stream. Annu. Rev. Fluid Mech. 2000, 32, 275–308. [Google Scholar] [CrossRef]
- Marmottant, P.; Villermaux, E. Atomisation primaire dans les jets coaxiaux. Combustion 2002, 2, 1–37. [Google Scholar]
- Lasheras, J.C.; Villermaux, E.; Hopfinger, E.J. Break-up and atomization of a round water jet by a high-speed annular air jet. J. Fluid Mech. 1998, 357, 351–379. [Google Scholar] [CrossRef] [Green Version]
- Potier, L.; Saucereau, D.; Pichillou, J.; Cuenot, B. Large eddy simulation of the combustion and heat transfer in a model rocket. In Proceedings of the Space Propulsion Conference, Rome, Italy, 2–6 May 2016. [Google Scholar]
- Potier, L. Large Eddy Simulation of the Combustion and Heat Transfer in Sub-Critical Rocket Engines. Ph.D. Thesis, Institut National Polytechnique de Toulouse, Toulouse, France, October 2018. [Google Scholar]
- Marmottant, P.; Villermaux, E. On spray formation. J. Fluid Mech. 2004, 498, 73–111. [Google Scholar] [CrossRef] [Green Version]
- Boivin, P.; Jiménez, C.; Sánchez, A.L.; Williams, F.A. An explicit reduced mechanism for H2-air combustion. Proc. Combust. Inst. 2011, 33, 517–523. [Google Scholar] [CrossRef] [Green Version]
- Petrova, M.V.; Williams, F.A. A small detailed chemical-kinetic mechanism for hydrocarbon combustion. Combust. Flame 2006, 144, 526–544. [Google Scholar] [CrossRef]
- Cantera: An Object-Oriented Software Toolkit for Chemical Kinetics, Thermo- Dynamics, and Transport Processes, version 2.5.1; Zenodo: Geneve, Switzerland, 2021.
- Duchaine, F.; Jauré, S.; Poitou, D.; Quémerais, E.; Staffelbach, G.; Morel, T.; Gicquel, L. Analysis of High Performance Conjugate Heat Transfer with the OpenPALM Coupler. Int. J. Comput. Sci. Discov. 2015, 8, 015003. [Google Scholar] [CrossRef] [Green Version]
- Refloch, A.; Courbet, B.; Murrone, A.; Villedieu, P.; Laurent, C.; Gilbank, P.; Troyes, J.; Tessé, L.; Chaineray, G.; Dargaud, J.; et al. CFD Platforms and Coupling—CEDRE Software. Onera J. Aerosp. Lab 2011, 2, 1–10. [Google Scholar]
- Duchaine, F.; Corpron, a.; Pons, L.; Moureau, V.; Nicoud, F.; Poinsot, T. Development and assessment of a coupled strategy for conjugate heat transfer with Large Eddy Simulation: Application to a cooled turbine blade. Int. J. Heat Fluid Flow 2009, 30, 1129–1141. [Google Scholar] [CrossRef] [Green Version]
- Duchaine, F. High Performance Code Coupling for Multiphysics and Multicomponent Simulations in Fluid Dynamics. Ph.D. Thesis, Institut National Polytechnique de Toulouse, Toulouse, France, November 2017. [Google Scholar]
- Jauré, S.; Duchaine, F.; Staffelbach, G.; Gicquel, L. Massively parallel conjugate heat transfer solver based on Large Eddy Simulation and application to an aeronautical combustion chamber. Comput. Sci. Disc. 2013, 6, 015008. [Google Scholar] [CrossRef]
- Berger, S.; Richard, S.; Duchaine, F.; Staffelbach, G.; Gicquel, L. On the sensitivity of a helicopter combustor wall temperature to convective and radiative thermal loads. Appl. Therm. Eng. 2016, 103, 1450–1459. [Google Scholar] [CrossRef]
- Scholl, S.; Verstraete, T.; Duchaine, F.; Gicquel, L. Conjugate heat transfer of a rib-roughened internal turbine blade cooling channel using large eddy simulation. Int. J. Heat Fluid Flow 2016, 61, 650–664. [Google Scholar] [CrossRef]
- Miguel-Brebion, M.; Mejia, D.; Xavier, P.; Duchaine, F.; Bedat, B.; Selle, L.; Poinsot, T. Joint experimental and numerical study of the influence of flame holder temperature on the stabilization of a laminar methane flame on a cylinder. Combust. Flame 2016, 172, 153–161. [Google Scholar] [CrossRef] [Green Version]
- Berger, S.; Gicquel, F.D.L. Bluff-body thermal property and initial state effects on a laminar premixed flame anchoring pattern. Flow Turbul. Combust. 2017, 100, 561–591. [Google Scholar] [CrossRef]
- Boulet, L.; Bénard, P.; Lartigue, G.; Moureau, V.; Didorally, S.; Chauvet, N.; Duchaine, F. Modeling of Conjugate Heat Transfer in a Kerosene/Air Spray Flame used for Aeronautical Fire Resistance Tests. Flow Turbul. Combust. 2018, 101, 579–602. [Google Scholar] [CrossRef]
- Bizzari, R.; Lahbib, D.; Dauptain, A.; Duchaine, F.; Richard, S.; Nicoud, F. Low order modeling method for assessing the temperature of multi-perforated plates. Int. J. Heat Mass Transf. 2018, 127, 727–742. [Google Scholar] [CrossRef]
- Laurent, C.; Esclapez, L.; Maestro, D.; Staffelbach, G.; Cuenot, B.; Selle, L.; Schmitt, T.; Duchaine, F.; Poinsot, T. Flame–wall interaction effects on the flame root stabilization mechanisms of a doubly-transcritical LO2/LCH4 cryogenic flame. Proc. Combust. Inst. 2019, 37, 5147–5154. [Google Scholar] [CrossRef] [Green Version]
- Cabrit, O.; Nicoud, F. Direct simulations for wall modeling of multicomponent reacting compressible turbulent flows. Phys. Fluids 2009, 21, 055108. [Google Scholar] [CrossRef]
- Poinsot, T.; Lele, S. Boundary conditions for direct simulations of compressible viscous flows. J. Comput. Phys. 1992, 101, 104–129. [Google Scholar] [CrossRef]
- Colburn, A.P. A method of correlating forced convection heat-transfer data and a comparison with fluid friction. Int. J. Heat Mass Transf. 1933, 7, 1359–1384. [Google Scholar] [CrossRef]






















| Ribbed Case | Smooth Case | |
|---|---|---|
| chamber length [mm] | 153 | 117 |
| chamber diameter [mm] | 65/67 | 66 |
| number of injectors | 18 | 18 |
| Ribbed | Smooth | |
|---|---|---|
| mass ratio | ||
| chamber pressure [bar] | 35 | 36 |
| total mass flow () [kg·m] | ||
| injection temperature [K] | 95 | 95 |
| injection temperature [K] | 275 | 275 |
| Ribbed | Smooth | |
|---|---|---|
| 14,485 | 14,500 | |
| 92,000 | 90,700 | |
| J | 1.8 | 1.85 |
| cone length L [mm] | 10.6 | 10.85 |
| injection diameter [m] | 41.2 | 40.7 |
| 0.118 | 0.12 | |
| 0.76 | 0.11 |
| Copper Alloy | Inconel600 | |
|---|---|---|
| density | 8814 kg/m | 8470 kg/m |
| heat capacity at 300 K | 377 J/kg/K | 444 J/kg/K |
| conductivity at 300 K | 322 W/m/K | 14.9 W/m/K |
| Ribbed Chamber | Smooth Chamber | |
|---|---|---|
| Fluid mesh | ||
| Solid mesh |
Publisher’s Note: MDPI stays neutral with regard to jurisdictional claims in published maps and institutional affiliations. |
© 2022 by the authors. Licensee MDPI, Basel, Switzerland. This article is an open access article distributed under the terms and conditions of the Creative Commons Attribution (CC BY) license (https://creativecommons.org/licenses/by/4.0/).
Share and Cite
Potier, L.; Duchaine, F.; Cuenot, B.; Saucereau, D.; Pichillou, J. Prediction of Wall Heat Fluxes in a Rocket Engine with Conjugate Heat Transfer Based on Large-Eddy Simulation. Entropy 2022, 24, 256. https://doi.org/10.3390/e24020256
Potier L, Duchaine F, Cuenot B, Saucereau D, Pichillou J. Prediction of Wall Heat Fluxes in a Rocket Engine with Conjugate Heat Transfer Based on Large-Eddy Simulation. Entropy. 2022; 24(2):256. https://doi.org/10.3390/e24020256
Chicago/Turabian StylePotier, Luc, Florent Duchaine, Bénédicte Cuenot, Didier Saucereau, and Julien Pichillou. 2022. "Prediction of Wall Heat Fluxes in a Rocket Engine with Conjugate Heat Transfer Based on Large-Eddy Simulation" Entropy 24, no. 2: 256. https://doi.org/10.3390/e24020256
APA StylePotier, L., Duchaine, F., Cuenot, B., Saucereau, D., & Pichillou, J. (2022). Prediction of Wall Heat Fluxes in a Rocket Engine with Conjugate Heat Transfer Based on Large-Eddy Simulation. Entropy, 24(2), 256. https://doi.org/10.3390/e24020256

