Numerical Investigation of Heat Transfer Characteristics of scCO2 Flowing in a Vertically-Upward Tube with High Mass Flux
Abstract
1. Introduction
2. Numerical Methods
2.1. Physical Model
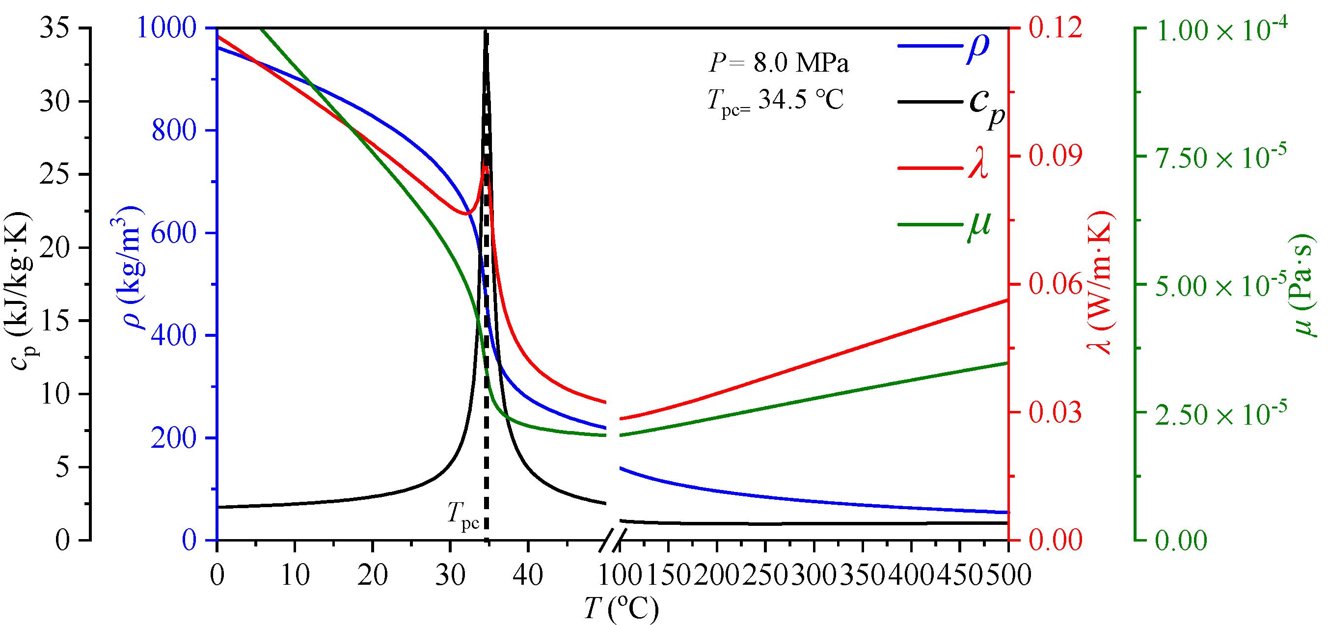
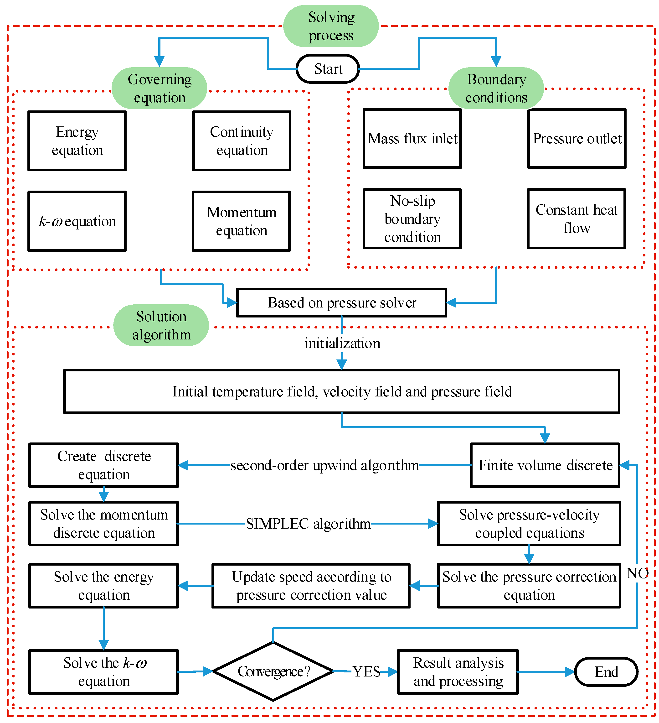
2.2. Governing Equations and Solution Procedure
2.3. Grid Independence Verification and Model Validation
3. Results and Discussion
3.1. Effect of Inlet Temperature on scCO2 Heat Transfer
3.2. Effect of Heat Flux on scCO2 Heat Transfer
3.3. Effect of Mass Flux on scCO2 Heat Transfer
3.4. Buoyancy Effects
3.5. Flow Acceleration Effect
4. Conclusions
- The occurrence of HTD is closely related to inlet temperature. When inlet temperature is less than pseudo-critical temperature, a prominent temperature peak was observed ahead of the pseudo-critical point. However, the wall temperature increases monotonously when inlet temperature is greater than pseudo-critical temperature. The wall temperature increases as the heat flux increases, and the HTD occurs at high heat flux. Increasing mass flux can enhance heat transfer and even eliminate heat transfer deterioration. At P = 8 Mpa and G = 1500 kg/m2s, when the heat fluxes doubled, the average wall temperature increased by 3.82 times, however, when the mass flux increases 1.6 times, the average wall temperature decreases 2.57 times.
- At high mass flux, our results show that the buoyancy criterion number Bu < 10−5 and Bu* < 5.6 × 10−7, they are both all less than their critical value in the whole enthalpy region, and flow acceleration criterion number Kv also is less than their critical value 3.6 × 10−6 in the whole enthalpy region, indicating the influences of buoyancy and flow acceleration on supercritical heat transfer can be neglected. Thus, the mechanism of supercritical heat transfer at high mass flux cannot be explained by buoyancy and flow acceleration effect.
- Supercritical pseudo-boiling is used to do with the heat transfer of scCO2. A physical model of scCO2 heat transfer in vertical heating tube was established containing a gas-like layer near the wall and a liquid-like fluid layer, the two domains are interfaced at T = T+. Due to the low thermal conductivity of the gas-like phase, the thick gas-like layer results in large thermal resistance, and, finally, causes sharp rise of wall temperature or HTD. Further analysis found supercritical heat transfer is extremely affected by the thickness of gas-like film, thermal properties of gas-like film and turbulent kinetic energy in the near-wall region.
Author Contributions
Funding
Institutional Review Board Statement
Informed Consent Statement
Data Availability Statement
Acknowledgments
Conflicts of Interest
Nomenclature
| Kv | flow acceleration parameter |
| Bu | buoyancy parameter |
| Bu* | new buoyancy parameter |
| A | area of the tube across-section, m2 |
| partial differential | |
| d | first order differential |
| Fb | buoyancy force,N |
| x | tiny cell |
| Prt | turbulent prandtl number |
| σ | |
| s | The distance between T− and T+, mm |
| cp | specific heat, kJ/kg·K |
| din | inner diameter of the tube, m |
| G | mass flux, kg/m2s |
| Gr | Grashof number |
| Gr* | new grashof number |
| h | heat transfer coefficient, kW/m2K |
| i | enthalpy, kJ/kg |
| Nu | nusselt number |
| P | pressure, MPa |
| Pr | prandtl number |
| q | heat flux, kW/m2 |
| Re | Reynolds number |
| T | temperature, °C |
| T− | the starting temperature of pseudo-boiling, °C |
| T+ | the ending temperature of pseudo-boiling, °C |
| Δilat | latent heat,oC |
| Δisen | sensible heat,oC |
| Δi | Pseudo-boiling enthalpy,kJ/kg |
| Gk | turbulence production term |
| Yk | dissipation term of turbulent kinetic energy k due to turbulence |
| Gω | generation term of specific dissipation rate |
| Yω | dissipation term of specific dissipation rate |
| Dω | cross diffusion term |
| cp,pc | specific heat capacity and enthalpy at pseudo-critical point, kJ/kg·K |
| ipc | enthalpy at pseudo-critical point, J/kg |
| Greek symbols | |
| β | thermal expansion coefficient, 1/K |
| λ | heat conductivity coefficient, W/mK |
| μ | dynamic viscosity, Pa·s |
| k | turbulent kinetic energy, m2/s2 |
| ω | specific dissipation rate |
| δ | gas-like film thickness,mm |
| τ | shear stress |
| δ+ | boundary layer thickness |
| ρ | density, kg/m3 |
| g | acceleration of gravity, m/s2 |
| ν | kinematic viscosity, m2/s |
| Subscripts | |
| ave | average |
| b | bulk fluid |
| exp | experiment |
| in | inlet |
| out | outlet |
| pc | pseudo-critical |
| w | inner wall |
| c | critical point |
| fg | saturation vapor-liquid |
| in | inlet |
| i | y direction |
| j | z direction |
References
- Benoit, H.; Spreafico, L.; Gauthier, D.; Flamant, G. Review of heat transfer fluids in tube-receivers used in concentrating solar thermal systems: Properties and heat transfer coefficients. Renew. Sustain. Energy Rev. 2016, 55, 298–315. [Google Scholar] [CrossRef]
- Deng, Y.; Jiang, Y.; Liu, J. Low-melting-point liquid metal convective heat transfer: A review. Appl. Therm. Eng. 2021, 193, 117021. [Google Scholar] [CrossRef]
- Zheng, N.; Yan, F.; Zhang, K.; Zhou, T.; Sun, Z. A review on single-phase convective heat transfer enhancement based on multi-longitudinal vortices in heat exchanger tubes. Appl. Therm. Eng. 2020, 164, 114475. [Google Scholar] [CrossRef]
- Choi, S.U.S. Enhancing thermal conductivity of fluids with nanoparticles. In Proceedings of the 1995 ASME International Mechanical Engineering Congress and Exposition, San Francisco, CA, USA, 12–17 November 1995; pp. 99–105. [Google Scholar]
- Sidik, N.A.C.; Adamu, I.M.; Jamil, M.M.; Kefayati, G.H.R.; Mamat, R.; Najafi, G. Recent progress on hybrid nanofluids in heat transfer applications: A comprehensive review. Int. Commun. Heat Mass Transf. 2016, 78, 68–79. [Google Scholar] [CrossRef]
- Kakaç, S.; Pramuanjaroenkij, A. Review of convective heat transfer enhancement with nanofluids. Int. J. Heat Mass Transf. 2009, 52, 3187–3196. [Google Scholar] [CrossRef]
- Xu, J.; Sun, E.; Li, M.; Liu, H.; Zhu, B. Key issues and solution strategies for supercritical carbon dioxide coal fired power plant. Energy 2018, 157, 227–246. [Google Scholar] [CrossRef]
- Ahn, Y.; Bae, S.J.; Kim, M.; Cho, S.K.; Baik, S.; Lee, J.I.; Chaet, J.E. Review of supercritical CO2 power cycle technology and current status of research and development. Nucl. Eng. Technol. 2015, 47, 647–661. [Google Scholar] [CrossRef]
- Tsiklauri, G.; Talbert, R.; Schmitt, B.; Filippov, G.; Bogoyavlensky, R.; Grishanin, E. Supercritical steam cycle for nuclear power plant. Nucl. Eng. Des. 2005, 235, 1651–1664. [Google Scholar] [CrossRef][Green Version]
- Wang, K.; Li, M.; Guo, J.; Li, P.; Liu, Z. A systematic comparison of different S-CO2 Brayton cycle layouts based on multi-objective optimization for applications in solar power tower plants. Appl. Energy 2018, 212, 109–121. [Google Scholar] [CrossRef]
- Sun, E.; Xu, J.; Li, M.; Liu, G.; Zhu, B. Connected-top-bottom-cycle to cascade utilize flue gas heat for supercritical carbon dioxide coal fired power plant. Energy Conv. Manag. 2018, 172, 138–154. [Google Scholar] [CrossRef]
- Dostal, V. A Supercritical Carbon Dioxide Cycle for Next Generation Nuclear Reactors. Ph.D. Thesis, Massachusetts Institute of Technology, Cambridge, MA, USA, 2004. [Google Scholar]
- Cabeza, L.F.; Gracia, A.; InésFernándezc, A.; Farid, M.M. Supercritical CO2 as heat transfer fluid: A review. Appl. Therm. Eng. 2017, 125, 799–810. [Google Scholar] [CrossRef]
- Zhang, Q.; Li, H.X.; Lei, X.L.; Zhang, J.; Kong, X.F. Study on identification method of heat transfer deterioration of supercritical fluids in vertically heated tubes. Int. J. Heat Mass Transf. 2018, 127, 674–686. [Google Scholar] [CrossRef]
- Guo, J.F.; Xiang, M.R.; Zhang, H.Y.; Huai, X.L.; Cheng, K.Y.; Cui, X.Y. Thermal-hydraulic characteristics of supercritical pressure CO2 in vertical tubes under cooling and heating conditions. Energy 2019, 170, 1067–1081. [Google Scholar] [CrossRef]
- Jiang, P.X.; Zhang, Y.; Zhao, C.R.; Shi, R.F. Convection heat transfer of CO2 at supercritical pressures in a vertical mini tube at relatively low Reynolds numbers. Exp. Therm. Fluid Sci. 2008, 32, 1628–1637. [Google Scholar] [CrossRef]
- Jiang, P.X.; Zhang, Y.; Shi, R.F. Experimental and numerical investigation of convection heat transfer of CO2 at supercritical pressures in a vertical mini-tube. Int. J. Heat Mass Transf. 2008, 51, 3052–3056. [Google Scholar] [CrossRef]
- Li, Z.H.; Jiang, P.X.; Zhao, C.R.; Zhang, Y. Experimental investigation of convection heat transfer of CO2 at supercritical pressures in a vertical circular tube. Exp. Therm. Fluid Sci. 2010, 34, 1162–1171. [Google Scholar] [CrossRef]
- Kim, D.E.; Kim, M.H. Experimental investigation of heat transfer in vertical upward and downward supercritical CO2 flow in a circular tube. Int. J. Heat Fluid Flow 2011, 32, 176–191. [Google Scholar] [CrossRef]
- Kline, N.; Feuerstein, F.; Tavoularis, S. Onset of heat transfer deterioration in vertical pipe flows of CO2 at supercritical pressures. Int. J. Heat Mass Transf. 2018, 118, 1056–1068. [Google Scholar] [CrossRef]
- Zhang, Q.; Li, H.; Kong, X.; Liu, J.; Lei, X. Special heat transfer characteristics of supercritical CO2 flowing in a vertically-upward tube with low mass flux. Int. J. Heat Mass Transf. 2018, 122, 469–482. [Google Scholar] [CrossRef]
- Zhang, Q.; Li, H.; Liu, J.; Lei, X.; Wu, C. Numerical investigation of different heat transfer behaviors of supercritical CO2 in a large vertical tube. Int. J. Heat Mass Transf. 2020, 147, 118944. [Google Scholar] [CrossRef]
- Fan, Y.H.; Tang, G.H. Numerical investigation on heat transfer of supercritical carbon dioxide in a vertical tube under circumferentially non-uniform heating. Appl. Therm. Eng. 2018, 138, 354–364. [Google Scholar] [CrossRef]
- Huang, D.; Li, W. A brief review on the buoyancy criteria for supercritical fluids. Appl. Therm. Eng. 2018, 131, 977–987. [Google Scholar] [CrossRef]
- Huang, D.; Wu, Z.; Sunden, B.; Li, W. A brief review on convection heat transfer of fluids at supercritical pressures in tubes and the recent progress. Appl. Energ. 2016, 162, 494–505. [Google Scholar] [CrossRef]
- Simeoni, G.G.; Bryk, T.; Gorelli, F.A.; Krisch, M.; Ruocco, G.; Santoro, M.; Scopigno, T. The Widom line as the crossover between liquid-like and gas-like behavior in supercritical fluids. Nat. Phys. 2010, 6, 503–507. [Google Scholar] [CrossRef]
- Gallo, P.; Corradini, D.; Rovere, M. Widom line and dynamical crossovers as routes to understand supercritical water. Nat. Commun. 2014, 5, 5806. [Google Scholar] [CrossRef] [PubMed]
- Skarmoutsos, I.; Samios, J. Local density inhomogeneities and dynamics in supercritical water: A molecular dynamics simulation approach. J. Phys. Chem. B 2006, 110, 21931–21937. [Google Scholar] [CrossRef] [PubMed]
- Banuti, D.T. Crossing the Widom-line—Supercritical pseudo-boiling. J. Supercrit. Fluids 2015, 98, 12–16. [Google Scholar] [CrossRef]
- Maxim, F.; Contescu, C.; Boillat, P.; Niceno, B.; Karalis, K.; Testino, A.; Ludwig, C. Visualization of supercritical water pseudo-boiling at Widom line crossover. Nat. Commun. 2019, 10, 4114. [Google Scholar] [CrossRef] [PubMed]
- Maxim, F.; Karalis, K.; Boillat, P.; Banuti, D.T.; Damian, J.I.M.; Niceno, B.; Ludwig, C. Thermodynamics and Dynamics of Supercritical Water Pseudo-Boiling. Adv. Sci. 2020, 8, 2002312. [Google Scholar] [CrossRef] [PubMed]
- Wang, H.; Leungc, L.K.H.; Wang, W.; Bi, Q. A review on recent heat transfer studies to supercritical pressure water in channels. Appl. Therm. Eng. 2018, 142, 573–596. [Google Scholar] [CrossRef]
- Menter, F.R. Two-equation eddy-viscosity turbulence models for engineering applications. AIAA J. 1994, 32, 1598–1605. [Google Scholar] [CrossRef]
- Zhu, B.; Xu, J.; Wu, X.; Xie, J.; Li, M. Supercritical “boiling” number, a new parameter to distinguish two regimes of carbon dioxide heat transfer in tubes. Int. J. Therm. Sci. 2019, 136, 254–266. [Google Scholar] [CrossRef]
- Wang, Q.; Ma, X.; Xu, J.; Li, M.; Wang, Y. The three-regime-model for pseudo-boiling in supercritical pressure. Int. J. Heat Mass Transf. 2021, 181, 121875. [Google Scholar] [CrossRef]
- Jackson, J.D. Fluid flow and convective heat transfer to fluids at supercritical pressure. Nucl. Eng. Des. 2013, 264, 24–40. [Google Scholar] [CrossRef]
- Jackson, J.D.; Hall, W.B. Influences of Buoyancy on Heat Transfer to Fluids Flowing in Vertical Tubes under Turbulent Conditions. In Turbulent Forced Convection in Channels and Bundles; Hemisphere: New York, NY, USA, 1979; Volume 2, pp. 613–640. [Google Scholar]
- McEligot, D.M.; Coon, C.W.; Perkins, H.C. Relaminarization in tubes. Int. J. Heat Mass Transf. 1970, 13, 431–433. [Google Scholar] [CrossRef]
















| Residual | Continuity | x-Velocity | y-Velocity | z-Velocity | Energy | k | ω |
|---|---|---|---|---|---|---|---|
| Value | 10−5 | 10−7 | 10−7 | 10−7 | 10−7 | 10−7 | 10−7 |
| Under-Relaxation Factors | Pressure | Density | Volume Force | Momentum | Turbulent Kinetic Energy | Specific Dissipation Rate | Turbulent Viscosity | Energy |
|---|---|---|---|---|---|---|---|---|
| Value | 0.3 | 1 | 1 | 0.7 | 0.8 | 0.8 | 0.85 | 0.8 |
| Cases | P (MPa) | G (kg/m2s) | qw (kW/m2) | Tb,in (°C) |
|---|---|---|---|---|
| heating | 8 | 1500 | 200–400 | 10/15/20/25/35/40/50 |
| 2000 | 200–400 | 20 | ||
| 2500 | 200–400 | 20 |
Publisher’s Note: MDPI stays neutral with regard to jurisdictional claims in published maps and institutional affiliations. |
© 2022 by the authors. Licensee MDPI, Basel, Switzerland. This article is an open access article distributed under the terms and conditions of the Creative Commons Attribution (CC BY) license (https://creativecommons.org/licenses/by/4.0/).
Share and Cite
Gong, K.; Zhu, B.; Peng, B.; He, J. Numerical Investigation of Heat Transfer Characteristics of scCO2 Flowing in a Vertically-Upward Tube with High Mass Flux. Entropy 2022, 24, 79. https://doi.org/10.3390/e24010079
Gong K, Zhu B, Peng B, He J. Numerical Investigation of Heat Transfer Characteristics of scCO2 Flowing in a Vertically-Upward Tube with High Mass Flux. Entropy. 2022; 24(1):79. https://doi.org/10.3390/e24010079
Chicago/Turabian StyleGong, Kaigang, Bingguo Zhu, Bin Peng, and Jixiang He. 2022. "Numerical Investigation of Heat Transfer Characteristics of scCO2 Flowing in a Vertically-Upward Tube with High Mass Flux" Entropy 24, no. 1: 79. https://doi.org/10.3390/e24010079
APA StyleGong, K., Zhu, B., Peng, B., & He, J. (2022). Numerical Investigation of Heat Transfer Characteristics of scCO2 Flowing in a Vertically-Upward Tube with High Mass Flux. Entropy, 24(1), 79. https://doi.org/10.3390/e24010079
