Comparison of Non-Uniform Image Quality Caused by Anode Heel Effect between Two Digital Radiographic Systems Using a Circular Step-Wedge Phantom and Mutual Information
Abstract
1. Introduction
2. Materials and Methods
2.1. Image Acquisition
2.2. The Directional nMI Metrics from the CSW Phantom
2.3. The Directional VR Metrics from the CDR Phantom
2.4. Statistical Analysis
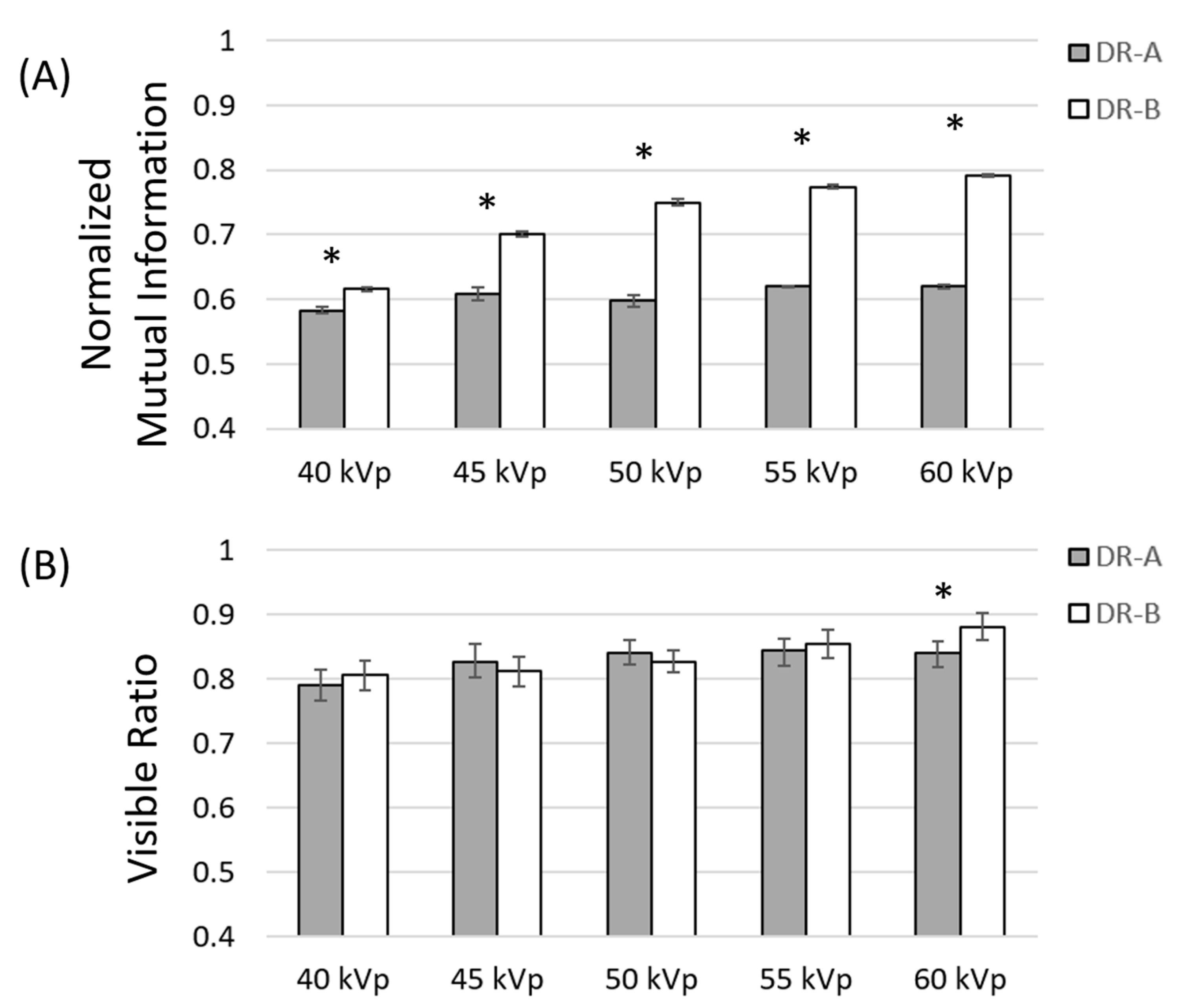
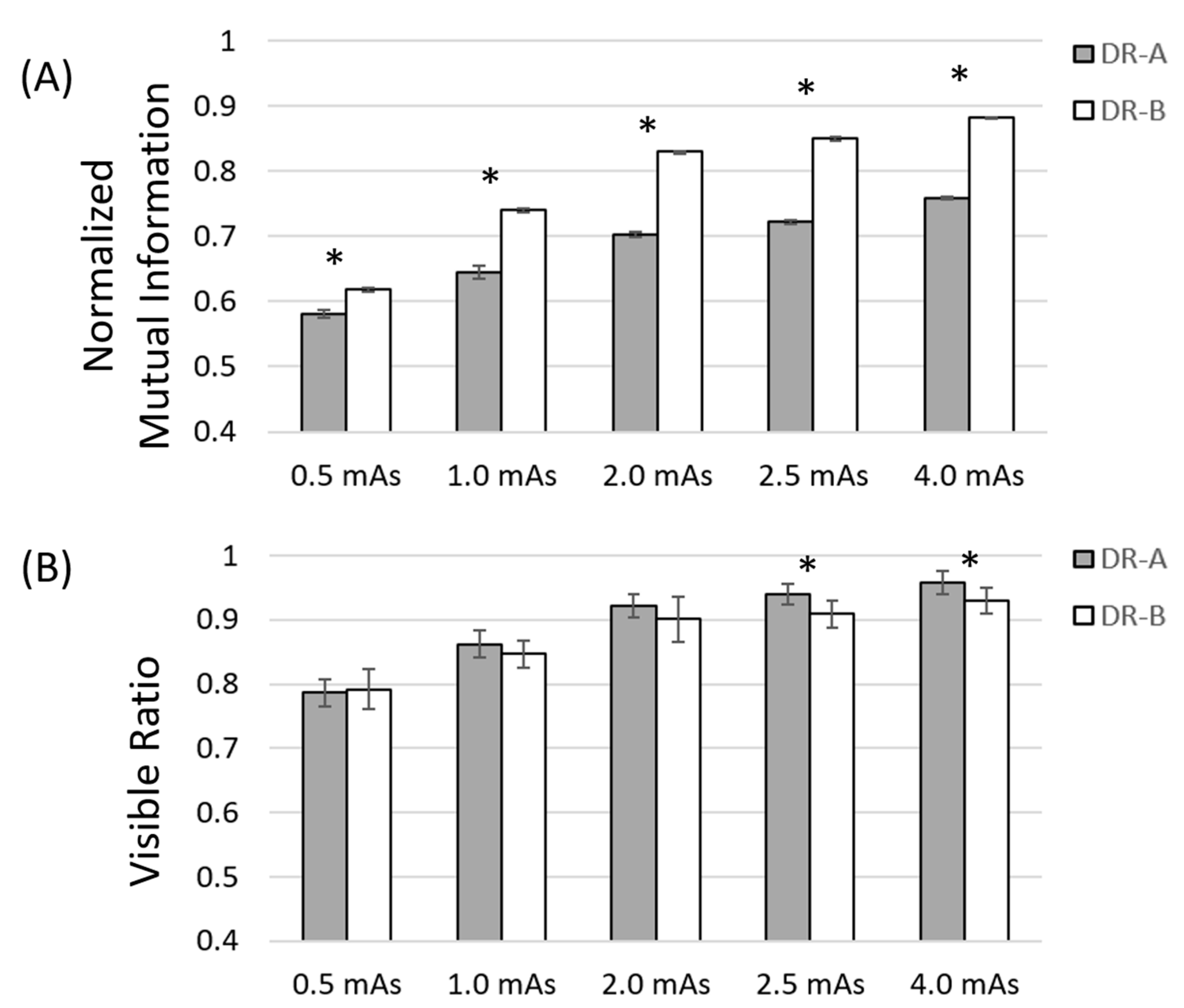
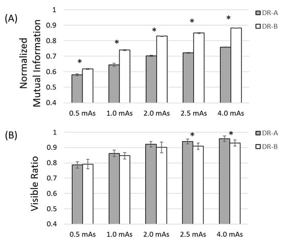
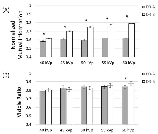
3. Results
4. Discussion
5. Conclusions
Author Contributions
Funding
Institutional Review Board Statement
Informed Consent Statement
Data Availability Statement
Conflicts of Interest
References
- Fujita, H.; Doi, K.; Giger, M.L. Investigation of Basic Imaging Properties in Digital Radiography. 6. Mtfs of Ii-Tv Digital Imaging-Systems. Med. Phys. 1985, 12, 713–720. [Google Scholar] [CrossRef] [PubMed]
 - Giger, M.L.; Doi, K. Investigation of Basic Imaging Properties in Digital Radiography. 3. Effect of Pixel Size on Snr and Threshold Contrast. Med. Phys. 1985, 12, 201–208. [Google Scholar] [CrossRef] [PubMed]
 - Avakyan, A.K.; Dergacheva, I.L.; Elanchik, A.A.; Korovkin, D.Y.; Krylova, T.A.; Lobzhanidze, T.K.; Polikhov, S.A.; Smirnov, V.P. Method for Determining the Point Spread Function for a Digital Radiography System. At. Energy 2020, 127, 310–315. [Google Scholar] [CrossRef]
 - Samei, E.; Ranger, N.T.; MacKenzie, A.; Honey, I.D.; Dobbins, J.T.; Ravin, C.E. Detector or System? Extending the Concept of Detective Quantum Efficiency to Characterize the Performance of Digital Radiographic Imaging Systems. Radiology 2008, 249, 926–937. [Google Scholar] [CrossRef] [PubMed]
 - Drangova, M.; Rowlands, J.A. Optical Factors Affecting the Detective Quantum Efficiency of Radiographic Screens. Med. Phys. 1986, 13, 150–157. [Google Scholar] [CrossRef] [PubMed]
 - Bunch, P.C.; Huff, K.E.; Vanmetter, R. Analysis of the Detective Quantum Efficiency of a Radiographic Screen Film Combination. J. Opt. Soc. Am. A 1987, 4, 902–909. [Google Scholar] [CrossRef] [PubMed]
 - Sund, P.; Bath, M.; Kheddache, S.; Mansson, L.G. Comparison of visual grading analysis and determination of detective quantum efficiency for evaluating system performance in digital chest radiography. Eur. Radiol. 2004, 14, 48–58. [Google Scholar] [PubMed]
 - Uffmann, M.; Schaefer-Prokop, C.; Neitzel, U.; Weber, M.; Herold, C.J.; Prokop, M. Skeletal applications for flat-panel versus storage-phosphor radiography: Effect of exposure on detection of low-contrast details. Radiology 2004, 231, 506–514. [Google Scholar] [CrossRef] [PubMed]
 - Lu, Z.; Nickoloff, E.L.; So, J.C.; Dutta, A.K. Comparison of computed radiography and film/screen combination using a contrast-detail phantom. J. Appl. Clin. Med. Phys. 2001, 4, 91–98. [Google Scholar] [CrossRef] [PubMed]
 - Konst, B.; Weedon-Fekjaer, H.; Båth, M. Image quality and radiation dose in planar imaging—Image quality figure of merits from the CDRAD phantom. J. Appl. Clin. Med. Phys. 2019, 20, 151–159. [Google Scholar] [CrossRef] [PubMed]
 - De Crop, A.; Bacher, K.; Van Hoof, T.; Smeets, P.V.; Smet, B.S.; Vergauwen, M.; Kiendys, U.; Duyck, P.; Verstraete, K.; D’Herde, K.; et al. Correlation of Contrast-Detail Analysis and Clinical Image Quality Assessment in Chest Radiography with a Human Cadaver Study. Radiology 2012, 262, 298–304. [Google Scholar] [CrossRef] [PubMed]
 - Weir, A.; Salo, E.N.; Janeczko, A.J.; Douglas, J.; Weir, N.W. Evaluation of CDRAD and TO20 test objects and associated software in digital radiography. Biomed. Phys. Eng. Express 2019, 5, 065001. [Google Scholar] [CrossRef]
 - Mesbahi, A.; Zakariaee, S.S. Effect of anode angle on photon beam spectra and depth dose characteristics for X-RAD320 orthovoltage unit. Rep. Pract. Oncol. Radiother. J. Greatpoland Cancer Cent. Pozn. Pol. Soc. Radiat. Oncol. 2013, 18, 148–152. [Google Scholar] [CrossRef] [PubMed][Green Version]
 - Buissink, C.; Bowdler, M.; Abdullah, A.; Al-Murshedi, S.; Custódio, S.; Huhn, A.; Jorge, J.; Mohammed Ali, A.; Peters, A.; Rey, Y.; et al. Impact of the Anode Heel Effect on Image Quality and Effective Dose for AP Pelvis: A Pilot Study; University of Salford: Salford, UK, 2017. [Google Scholar]
 - Mraity, H.A.A.B.; Walton, L.; England, A.; Thompson, J.; Lanca, L.; Hogg, P. Can the anode heel effect be used to optimise radiation dose and image quality for AP pelvis radiography? Radiography 2020, 26, e103–e108. [Google Scholar] [CrossRef] [PubMed]
 - Chou, M.C. Evaluation of Non-Uniform Image Quality Caused by Anode Heel Effect in Digital Radiography Using Mutual Information. Entropy 2021, 23, 525. [Google Scholar] [CrossRef] [PubMed]
 - Barnett, M.J.; Doroudgar, S.; Khosraviani, V.; Ip, E.J. Multiple comparisons: To compare or not to compare, that is the question. Res. Soc. Adm. Pharm. 2022, 18, 2331–2334. [Google Scholar] [CrossRef] [PubMed]
 - Matsuyama, E.; Tsai, D.Y.; Lee, Y. Mutual information-based evaluation of image quality with its preliminary application to assessment of medical imaging systems. J. Electron. Imaging 2009, 18, 033011. [Google Scholar] [CrossRef]
 - Tsai, D.Y.; Lee, Y.; Matsuyama, E. Information entropy measure for evaluation of image quality. J. Digit. Imaging 2008, 21, 338–347. [Google Scholar] [CrossRef] [PubMed]
 - CXDI-50C. Available online: https://canon.ca/inetCAWeb/userfiles/pdf/Medical/CXDI-50C%20Brochure%20ENGLISH.pdf (accessed on 1 December 2022).
 - CXDI-70C. Available online: https://canon.ca/inetCAWeb/userfiles/pdf//Medical/Radiography/English/70C%20English%20Brochure.pdf (accessed on 1 December 2022).
 







Publisher’s Note: MDPI stays neutral with regard to jurisdictional claims in published maps and institutional affiliations.  | 
© 2022 by the authors. Licensee MDPI, Basel, Switzerland. This article is an open access article distributed under the terms and conditions of the Creative Commons Attribution (CC BY) license (https://creativecommons.org/licenses/by/4.0/).
Share and Cite
Chang, C.-T.; Chou, M.-C. Comparison of Non-Uniform Image Quality Caused by Anode Heel Effect between Two Digital Radiographic Systems Using a Circular Step-Wedge Phantom and Mutual Information. Entropy 2022, 24, 1781. https://doi.org/10.3390/e24121781
Chang C-T, Chou M-C. Comparison of Non-Uniform Image Quality Caused by Anode Heel Effect between Two Digital Radiographic Systems Using a Circular Step-Wedge Phantom and Mutual Information. Entropy. 2022; 24(12):1781. https://doi.org/10.3390/e24121781
Chicago/Turabian StyleChang, Ching-Ting, and Ming-Chung Chou. 2022. "Comparison of Non-Uniform Image Quality Caused by Anode Heel Effect between Two Digital Radiographic Systems Using a Circular Step-Wedge Phantom and Mutual Information" Entropy 24, no. 12: 1781. https://doi.org/10.3390/e24121781
APA StyleChang, C.-T., & Chou, M.-C. (2022). Comparison of Non-Uniform Image Quality Caused by Anode Heel Effect between Two Digital Radiographic Systems Using a Circular Step-Wedge Phantom and Mutual Information. Entropy, 24(12), 1781. https://doi.org/10.3390/e24121781
        
