Hyperchaos, Intermittency, Noise and Disorder in Modified Semiconductor Superlattices
Abstract
1. Introduction
2. Microscopic Sequential Tunneling Model
2.1. Rate Equations for Subband Populations
2.2. Tunneling Current
- are given bywhere and are the wave numbers in the wells and the barriers, respectively, and are the effective masses of the electrons at the wells and barriers, respectively, and and are the widths of wells and barriers, respectively. are the attempt frequencies related to sequential tunneling through the ith barrier. and , , are the potential drops at the ith barrier and well, respectively. We assume that the potential drops at barrier and wells are non-negative and that the electrons are singularly concentrated on a plane located at the end of each well. Then (dictated by the Transfer Hamiltonian method, cf Appendix A) depends on the electric potential at the center of the ith well, whereas depends on the potential at the beginning of the ith barrier, . The potential drops and correspond to the barriers separating the SL from the emitter and collector contacts, respectively. is the barrier height in the absence of potential drops.
- is the dimensionless transmission probability through the ith barrier separating wells i and :
2.3. Poisson Equations
2.4. Boundary Conditions
2.5. Elimination of the Potential Drops at the Wells
2.6. Elimination of the Higher Subband Populations
3. Current–Voltage Characteristics and Attractors for Ideal SSL
4. Noise, Imperfections and Superlattice Configurations
4.1. Stochastic Equations
4.2. Non-Ideal Superlattices
4.2.1. Electrostatics and Ampère’s Law
4.2.2. Tunneling Currents
5. Characteristic Curves of Modified Superlattices
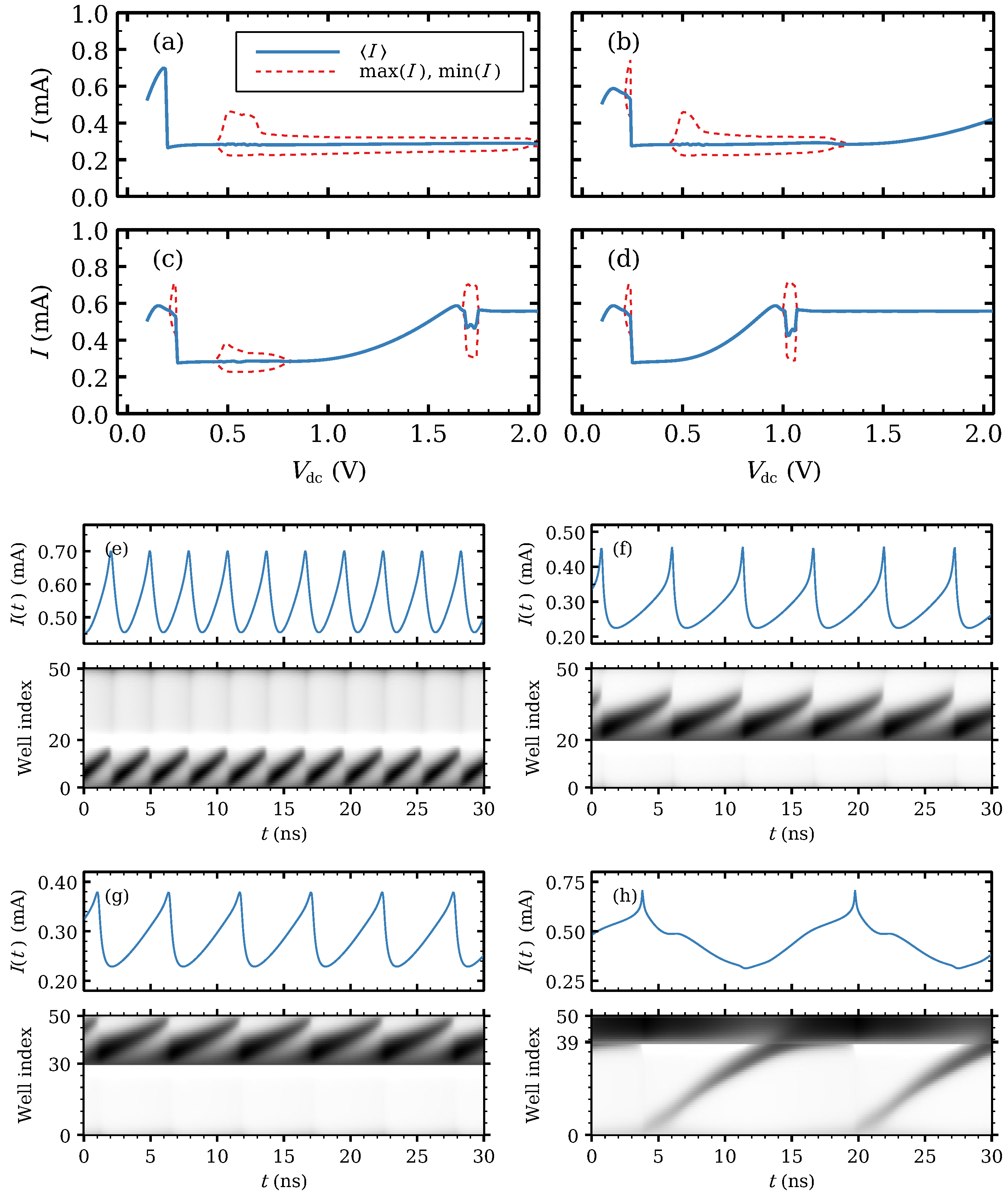
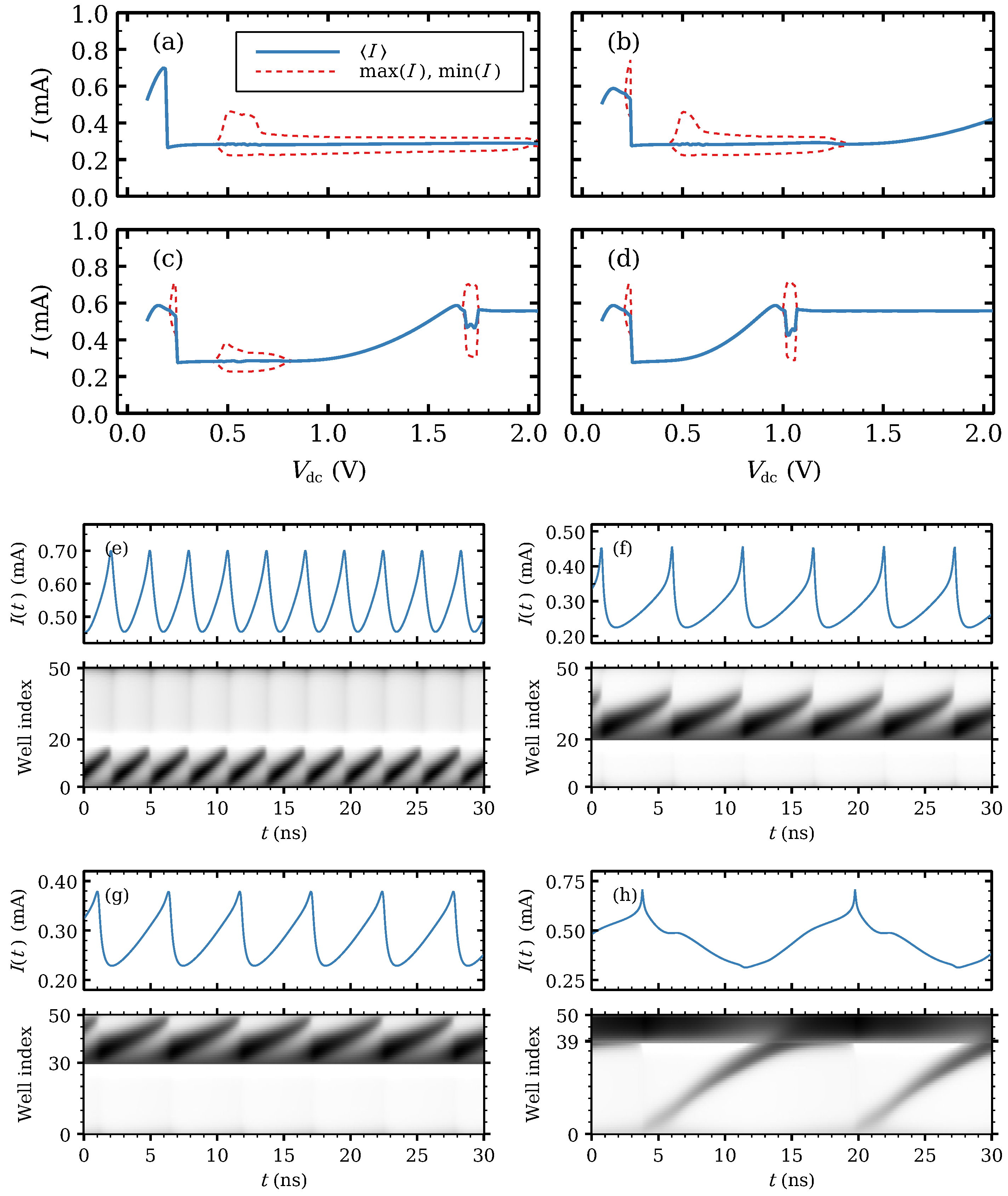
5.1. Effect of One Wider Well on the Characteristics
- (i)
- There is a narrow voltage interval where charge waves nucleate at the emitter and die before reaching the modified well, cf. Figure 4b,e.
- (ii)
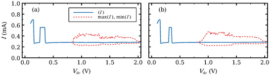
- For larger , a dipole wave nucleated at the injector reaches and dies there. A stationary state forms for which excess charge is mostly located at . This stationary state is accompanied by a large drop in the total current density, as shown in Figure 4a,d. The current drop occurs because most charge accumulates at the emitter contact (high current state) for lower DC voltage but it accumulates at the modified QW (low current state) for larger DC voltage.
- (iii)
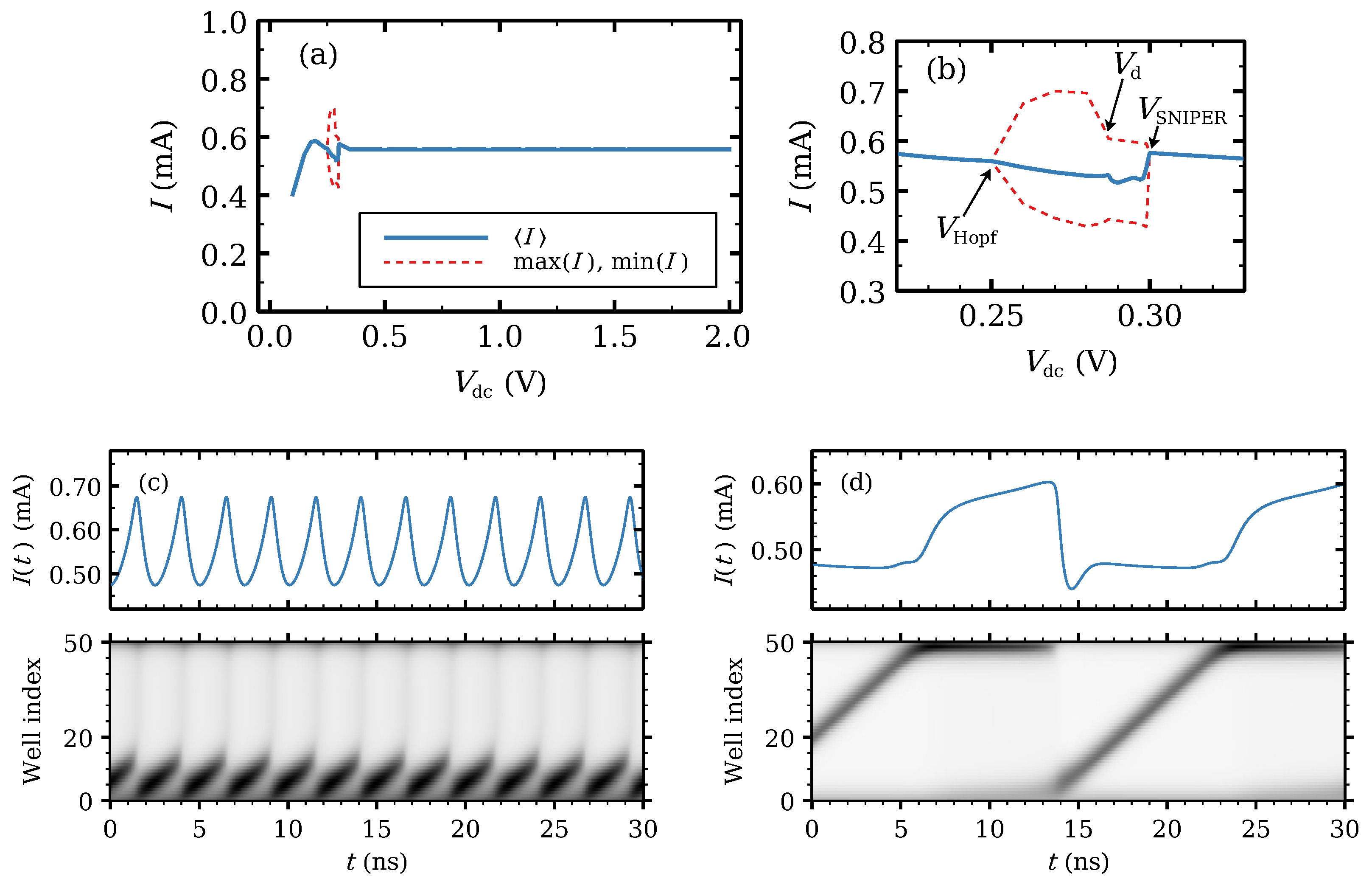
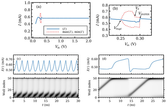
- If is between and , current self-oscillations occur again at another voltage interval, as illustrated by Figure 4b,c. This interval starts and ends in a supercritical Hopf bifurcation, and it becomes smaller as and dipole waves nucleate at . For larger voltages, the current is stationary and it rises smoothly to previous levels. As approaches , self-oscillations occur for a third voltage range, depicted in Figure 4c. In this narrow higher voltage interval, oscillations start as a supercritical Hopf bifurcation but end at a SNIPER bifurcation. In this high voltage range, dipole waves nucleate at the injector and travel towards whereas the electric field profile is large and quasi-stationary between and the collector; see Figure 4f,g. After the SNIPER, the current becomes stationary and rises smoothly to second plateau levels.
- (iv)
- For between and N, the intermediate voltage range of self-oscillations disappears and only narrow voltage ranges corresponding to recycling of small waves traveling near the injector or the collector survive, cf. Figure 4d,h.
5.2. Two Wider Wells
- (i)
- If a dipole wave does not reach the end of the region where it travels before it disappears, its annihilation will trigger nucleation at and at .
- (ii)
- Waves reaching (the end of region II) trigger nucleation at regions II and III.
- (iii)
- Waves reaching the end of region III will not necessarily trigger nucleation. These waves can stop near the collector and stay there for either short or long times (and then recycle). This situation can be seen as a metastable state.
6. Hyperchaos and Intermittency
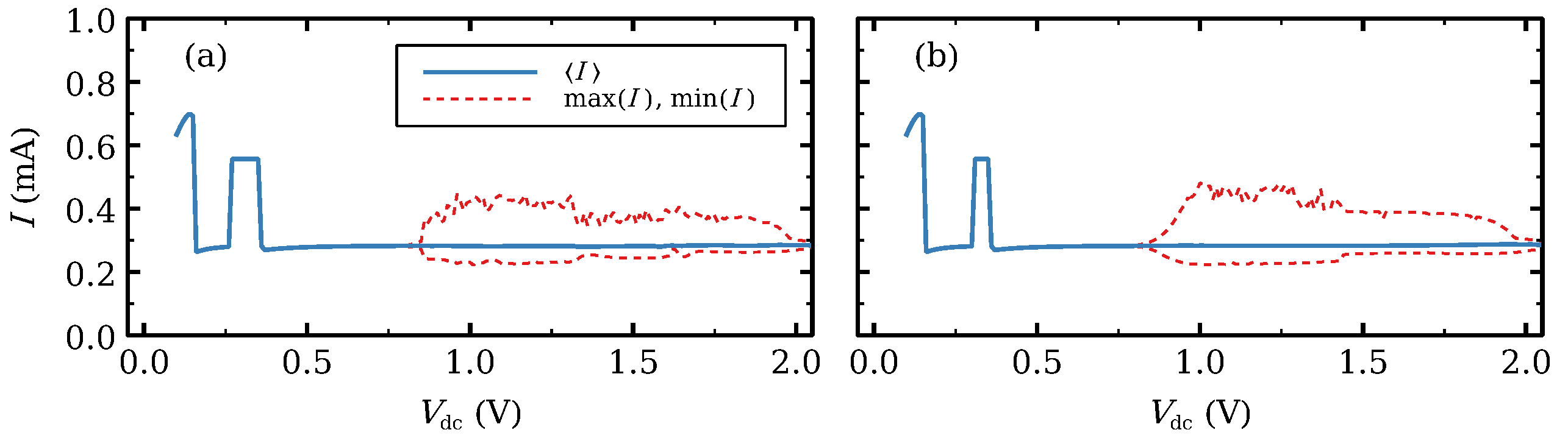
7. Effect of Width Randomness and Noise
7.1. Width Randomness
7.2. Noise
8. Conclusions
Author Contributions
Funding
Institutional Review Board Statement
Informed Consent Statement
Data Availability Statement
Conflicts of Interest
Abbreviations
| SSL | Semiconductor superlattice |
| QW | Quantum well |
| QB | Quantum barrier |
| SNIPER | Saddle-node infinite period |
Appendix A. Derivation of Deterministic Tunneling Currents
References
- Esaki, L.; Tsu, R. Superlattice and Negative Differential Conductivity in Semiconductors. IBM J. Res. Dev. 1970, 14, 61–65. [Google Scholar] [CrossRef]
- Esaki, L.; Chang, L.L. New Transport Phenomenon in a Semiconductor “Superlattice”. Phys. Rev. Lett. 1974, 33, 495–498. [Google Scholar] [CrossRef]
- Allan, G.; Bastard, G.; Boccara, N.; Lannoo, M.; Voos, M. (Eds.) Heterojunctions and Semiconductor Superlattices; Springer: Berlin/Heidelberg, Germany, 1986. [Google Scholar]
- Grahn, H.T. (Ed.) Semiconductor Superlattices. Growth and Electronic Properties; World Scientific: Singapore, 1995. [Google Scholar]
- Bonilla, L.L.; Grahn, H.T. Non-linear dynamics of semiconductor superlattices. Rep. Prog. Phys. 2005, 68, 577–683. [Google Scholar] [CrossRef]
- Schomburg, E.; Hofbeck, K.; Grenzer, J.; Blomeier, T.; Ignatov, A.A.; Renk, K.F.; Pavel’Ev, D.G.; Koschurinov, Y.; Ustinov, V.; Zhukov, A.; et al. Millimeter wave oscillator based on a quasiplanar superlattice electronic device. Appl. Phys. Lett. 1997, 71, 401–403. [Google Scholar] [CrossRef]
- Minot, C.; Sahri, N.; Le Person, H.; Palmier, J.; Harmand, J.; Medus, J.; Esnault, J. Millimetre-wave negative differential conductance in GaInAs/AlInAs semiconductor superlattices. Superlattices Microstruct. 1998, 23, 1323–1332. [Google Scholar] [CrossRef]
- Palmier, J.; Minot, C.; Harmand, J.; Sibille, A.; Tanguy, D.; Penard, E. Recent results on superlattice transport and optoelectronics applications. Superlattices Microstruct. 1999, 25, 13–19. [Google Scholar] [CrossRef]
- Xu, H.; Teitsworth, S.W. On the possibility of a shunt-stabilized superlattice terahertz emitter. Appl. Phys. Lett. 2010, 96, 022101. [Google Scholar] [CrossRef]
- Winnerl, S.; Seiwerth, W.; Schomburg, E.; Grenzer, J.; Renk, K.F.; Langerak, C.J.G.M.; van der Meer, A.F.G.; Pavel’Ev, D.G.; Koschurinov, Y.; Ignatov, A.A.; et al. Ultrafast detection and autocorrelation of picosecond THz radiation pulses with a GaAs/AlAs superlattice. Appl. Phys. Lett. 1998, 73, 2983–2985. [Google Scholar] [CrossRef]
- Winnerl, S.; Schomburg, E.; Brancl, S.; Kus, O.; Renk, K.F.; Wanke, M.C.; Allen, S.J.; Ignatov, A.A.; Ustinov, V.; Zhukov, A.; et al. Frequency doubling and tripling of terahertz radiation in a GaAs/AlAs superlattice due to frequency modulation of Bloch oscillations. Appl. Phys. Lett. 2000, 77, 1259–1261. [Google Scholar] [CrossRef]
- Klappenberger, F.; Ignatov, A.A.; Winnerl, S.; Schomburg, E.; Wegscheider, W.; Renk, K.F. Broadband semiconductor superlattice detector for THz radiation. Appl. Phys. Lett. 2001, 78, 1673–1675. [Google Scholar] [CrossRef]
- Shao, Z.Z.; Yin, Z.Z.; Song, H.L.; Liu, W.; Li, X.J.; Zhu, J.; Biermann, K.; Bonilla, L.L.; Grahn, H.T.; Zhang, Y.H. Fast Detection of a Weak Signal by a Stochastic Resonance Induced by a Coherence Resonance in an Excitable GaAs/Al0.45Ga0.55As Superlattice. Phys. Rev. Lett. 2018, 121, 086806. [Google Scholar] [CrossRef]
- Faist, J.; Capasso, F.; Sivco, D.L.; Sirtori, C.; Hutchinson, A.L.; Cho, A.Y. Quantum cascade laser. Science 1994, 264, 553–556. [Google Scholar] [CrossRef]
- Wacker, A. Gain in quantum cascade lasers and superlattices: A quantum transport theory. Phys. Rev. B 2002, 66, 085326. [Google Scholar] [CrossRef]
- Malis, O.; Gmachl, C.; Sivco, D.L.; Pfeiffer, L.N.; Sergent, A.M.; West, K.W. The quantum cascade laser: A versatile high-power semiconductor laser for mid-infrared applications. Bell Labs Tech. J. 2005, 10, 199–214. [Google Scholar] [CrossRef]
- Terazzi, R.; Gresch, T.; Giovannini, M.; Hoyler, N.; Sekine, N.; Faist, J. Bloch gain in quantum cascade lasers. Nat. Phys. 2007, 3, 329–333. [Google Scholar] [CrossRef]
- Vitiello, M.S.; Scalari, G.; Williams, B.; De Natale, P. Quantum cascade lasers: 20 years of challenges. Opt. Express 2015, 23, 5167–5182. [Google Scholar] [CrossRef]
- Belkin, M.A.; Capasso, F. New frontiers in quantum cascade lasers: High performance room temperature terahertz sources. Phys. Scr. 2015, 90, 118002. [Google Scholar] [CrossRef]
- Li, W.; Reidler, I.; Aviad, Y.; Huang, Y.; Song, H.; Zhang, Y.; Rosenbluh, M.; Kanter, I. Fast Physical Random-Number Generation Based on Room-Temperature Chaotic Oscillations in Weakly Coupled Superlattices. Phys. Rev. Lett. 2013, 111, 044102. [Google Scholar] [CrossRef]
- Mompó, E.; Carretero, M.; Bonilla, L.L. Designing Hyperchaos and Intermittency in Semiconductor Superlattices. Phys. Rev. Lett. 2021, 127, 096601. [Google Scholar] [CrossRef]
- Stinson, D.R. Cryptography: Theory and Practice; The CRC Press Series on Discrete Mathematics and Its Applications; CRC Press: Boca Raton, FL, USA, 1995. [Google Scholar]
- Gallager, R.G. Principles of Digital Communication; Cambridge University Press: Cambridge, UK, 2008. [Google Scholar]
- Nielsen, M.A.; Chuang, I.L. Quantum Computation and Quantum Information; Cambridge University Press: Cambridge, UK, 2000. [Google Scholar]
- Asmussen, S.; Glynn, P.W. Stochastic Simulation: Algorithms and Analysis; Springer: Berlin/Heidelberg, Germany, 2007. [Google Scholar]
- Binder, K.; Heermann, D.W. Monte Carlo Simulation in Statistical Physics. An Introduction, 4th ed.; Springer: Berlin/Heidelberg, Germany, 2002. [Google Scholar]
- Blanter, Y.; Büttiker, M. Shot noise in mesoscopic conductors. Phys. Rep. 2000, 336, 1–166. [Google Scholar] [CrossRef]
- Reydellet, L.-H.; Roche, P.; Glattli, D.C.; Etienne, B.; Jin, Y. Quantum Partition Noise of Photon-Created Electron-Hole Pairs. Phys. Rev. Lett. 2003, 90, 176803. [Google Scholar] [CrossRef] [PubMed]
- Février, P.; Gabelli, J. Tunneling time probed by quantum shot noise. Nat. Commun. 2018, 9, 4940. [Google Scholar] [CrossRef] [PubMed]
- Uchida, A.; Amano, K.; Inoue, M.; Hirano, K.; Naito, S.; Someya, H.; Oowada, I.; Kurashige, T.; Shiki, M.; Yoshimori, S.; et al. Fast physical random bit generation with chaotic semiconductor lasers. Nat. Photonics 2008, 2, 728–732. [Google Scholar] [CrossRef]
- Reidler, I.; Aviad, Y.; Rosenbluh, M.; Kanter, I. Ultrahigh-Speed Random Number Generation Based on a Chaotic Semiconductor Laser. Phys. Rev. Lett. 2009, 103, 024102. [Google Scholar] [CrossRef] [PubMed]
- Kanter, I.; Aviad, Y.; Reidler, I.; Cohen, E.; Rosenbluh, M. An optical ultrafast random bit generator. Nat. Photonics 2009, 4, 58–61. [Google Scholar] [CrossRef]
- Sciamanna, M.; Shore, K.A. Physics and applications of laser diode chaos. Nat. Photonics 2015, 9, 151–162. [Google Scholar] [CrossRef]
- Tang, X.; Wu, Z.-M.; Wu, J.-G.; Deng, T.; Chen, J.-J.; Fan, L.; Zhong, Z.-Q.; Xia, G.-Q. Tbits/s physical random bit generation based on mutually coupled semiconductor laser chaotic entropy source. Opt. Express 2015, 23, 33130–33141. [Google Scholar] [CrossRef]
- Zhang, Y.; Kastrup, J.; Klann, R.; Ploog, K.H.; Grahn, H.T. Synchronization and Chaos Induced by Resonant Tunneling in GaAs/AlAs Superlattices. Phys. Rev. Lett. 1996, 77, 3001–3004. [Google Scholar] [CrossRef]
- Grahn, H. Current self-oscillations and chaos in semiconductor superlattices. Superlattices Microstruct. 1999, 25, 7–11. [Google Scholar] [CrossRef]
- Huang, Y.; Li, W.; Ma, W.; Qin, H.; Zhang, Y. Experimental observation of spontaneous chaotic current oscillations in GaAs/Al0.45Ga0.55As superlattices at room temperature. Chin. Sci. Bull. 2012, 57, 2070–2072. [Google Scholar] [CrossRef]
- Yin, Z.; Song, H.; Zhang, Y.; Ruiz-García, M.; Carretero, M.; Bonilla, L.L.; Biermann, K.; Grahn, H.T. Noise-enhanced chaos in a weakly coupled GaAs/(Al,Ga)As superlattice. Phys. Rev. E 2017, 95, 012218. [Google Scholar] [CrossRef]
- Pikovsky, A.S.; Kurths, J. Coherence Resonance in a Noise-Driven Excitable System. Phys. Rev. Lett. 1997, 78, 775–778. [Google Scholar] [CrossRef]
- Giacomelli, G.; Giudici, M.; Balle, S.; Tredicce, J.R. Experimental Evidence of Coherence Resonance in an Optical System. Phys. Rev. Lett. 2000, 84, 3298–3301. [Google Scholar] [CrossRef]
- Avila, J.F.M.; Cavalcante, H.L.D.D.S.; Leite, J.R.R. Experimental Deterministic Coherence Resonance. Phys. Rev. Lett. 2004, 93, 144101. [Google Scholar] [CrossRef]
- DeVille, R.E.L.; Vanden-Eijnden, E.; Muratov, C.B. Two distinct mechanisms of coherence in randomly perturbed dynamical systems. Phys. Rev. E 2005, 72, 031105. [Google Scholar] [CrossRef]
- Hizanidis, J.; Balanov, A.; Amann, A.; Schöll, E. Noise-Induced Front Motion: Signature of a Global Bifurcation. Phys. Rev. Lett. 2006, 96, 244104. [Google Scholar] [CrossRef]
- Mompo, E.; Ruiz-Garcia, M.; Carretero, M.; Grahn, H.T.; Zhang, Y.; Bonilla, L.L. Coherence Resonance and Stochastic Resonance in an Excitable Semiconductor Superlattice. Phys. Rev. Lett. 2018, 121, 086805. [Google Scholar] [CrossRef]
- Fauve, S.; Heslot, F. Stochastic resonance in a bistable system. Phys. Lett. A 1983, 97, 5–7. [Google Scholar] [CrossRef]
- McNamara, B.; Wiesenfeld, K.; Roy, R. Observation of Stochastic Resonance in a Ring Laser. Phys. Rev. Lett. 1988, 60, 2626–2629. [Google Scholar] [CrossRef]
- Gammaitoni, L.; Hänggi, P.; Jung, P.; Marchesoni, F. Stochastic Resonance. Rev. Mod. Phys. 1998, 70, 223–287. [Google Scholar] [CrossRef]
- Hänggi, P. Stochastic Resonance in Biology How Noise Can Enhance Detection of Weak Signals and Help Improve Biological Information Processing. ChemPhysChem 2002, 3, 285–290. [Google Scholar] [CrossRef] [PubMed]
- Badzey, R.L.; Mohanty, P. Coherent signal amplification in bistable nanomechanical oscillators by stochastic resonance. Nature 2005, 437, 995–998. [Google Scholar] [CrossRef] [PubMed]
- Burada, P.; Schmid, G.; Reguera, D.; Vainstein, M.; Rubi, J.M.; Hanggi, P. Entropic Stochastic Resonance. Phys. Rev. Lett. 2008, 101, 130602. [Google Scholar] [CrossRef] [PubMed]
- Schneider, H.; von Klitzing, K.; Ploog, K. Resonant and non-resonant tunneling in GaAsAlAs multi quantum well structures. Superlattices Microstruct. 1989, 5, 383–396. [Google Scholar] [CrossRef]
- Grahn, H.T.; Schneider, H.; Rühle, W.W.; von Klitzing, K.; Ploog, K. Nonthermal occupation of higher subbands in semiconductor superlattices via sequential resonant tunneling. Phys. Rev. Lett. 1990, 64, 2426–2429. [Google Scholar] [CrossRef]
- Grahn, H.T.; Haug, R.J.; Müller, W.; Ploog, K. Electric-field domains in semiconductor superlattices: A novel system for tunneling between 2D systems. Phys. Rev. Lett. 1991, 67, 1618–1621. [Google Scholar] [CrossRef]
- Bonilla, L.L. Theory of Nonlinear Charge Transport, Wave Propagation and Self-oscillations in Semiconductor Superlattices. J. Phys. Cond. Matter 2002, 14, R341–R381. [Google Scholar] [CrossRef][Green Version]
- Wacker, A. Semiconductor superlattices: A model system for nonlinear transport. Phys. Rep. 2002, 357, 1–111. [Google Scholar] [CrossRef]
- Bonilla, L.L.; Teitsworth, S.W. Nonlinear Wave Methods for Charge Transport; Wiley: Weinheim, Germany, 2010. [Google Scholar]
- Alvaro, M.; Carretero, M.; Bonilla, L.L. Noise-enhanced spontaneous chaos in semiconductor superlattices at room temperature. Eur. Lett. 2014, 107, 37002. [Google Scholar] [CrossRef][Green Version]
- Bonilla, L.L.; Alvaro, M.; Carretero, M. Chaos-based true random number generators. J. Math. Ind. 2016, 7, 1–17. [Google Scholar] [CrossRef]
- Essen, J.; Ruiz-Garcia, M.; Jenkins, I.; Carretero, M.; Bonilla, L.L.; Birnir, B. Parameter dependence of high-frequency nonlinear oscillations and intrinsic chaos in short GaAs/(Al, Ga)As superlattices. Chaos: Interdiscip. J. Nonlinear Sci. 2018, 28, 043107. [Google Scholar] [CrossRef]
- Amann, A.; Schlesner, J.; Wacker, A.; Schöll, E. Chaotic front dynamics in semiconductor superlattices. Phys. Rev. B 2002, 65, 193313. [Google Scholar] [CrossRef]
- Amann, A.; Peters, K.; Parlitz, U.; Wacker, A.; Schöll, E. A Hybrid Model for Chaotic Front Dynamics. Phys. Rev. Lett. 2003, 91, 066601. [Google Scholar] [CrossRef]
- Ott, E. Chaos in Dynamical Systems; Cambridge University Press: Cambridge, UK, 1993. [Google Scholar]
- Cencini, M.; Cecconi, F.; Vulpiani, A. Chaos. From Simple Models to Complex Systems; World Scientific: Hackensack, NJ, USA, 2010. [Google Scholar]
- Yukalov, V.I.; Gluzman, S. Weighted fixed points in Self-similar analysis of time series. Int. J. Mod. Phys. B 1999, 13, 1463–1476. [Google Scholar] [CrossRef]
- Goldman, V.J.; Tsui, D.C.; Cunningham, J.E. Observation of intrinsic bistability in resonant -tunneling structures. Phys. Rev. Lett. 1987, 58, 1256–1259. [Google Scholar] [CrossRef]
- Goldman, V.J.; Tsui, D.C.; Cunningham, J.E. Resonant tunneling in magnetic fields: Evidence for space-charge buildup. Phys. Rev. B 1987, 35, 9387–9390. [Google Scholar] [CrossRef]
- Aguado, R.; Platero, G.; Moscoso, M.; Bonilla, L.L. Microscopic Model for Sequential Tunneling in Semiconductor Multiple Quantum Wells. Phys. Rev. B 1997, 55, R16053–R16056. [Google Scholar] [CrossRef]
- Likharev, K.; Bakhvalov, N.; Kazacha, G.; Serdyukova, S. Single-electron tunnel junction array: An electrostatic analog of the Josephson transmission line. IEEE Trans. Magn. 1989, 25, 1436–1439. [Google Scholar] [CrossRef]
- Laikhtman, B. Current-voltage instabilities in superlattices. Phys. Rev. B 1991, 44, 11260–11265. [Google Scholar] [CrossRef]
- Laikhtman, B.; Miller, D. Theory of current-voltage instabilities in superlattices. Phys. Rev. B 1993, 48, 5395–5412. [Google Scholar] [CrossRef]
- Prengel, F.; Wacker, A.; Schöll, E. Simple model for multistability and domain formation in semiconductor superlattices. Phys. Rev. B 1994, 50, 1705–1712. [Google Scholar] [CrossRef] [PubMed]
- Bonilla, L.L.; Galán, J.; Cuesta, J.A.; Martínez, F.C.; Molera, J.M. Dynamics of electric field domains and oscillations of the photocurrent in a simple superlattice model. Phys. Rev. B 1994, 50, 8644–8657. [Google Scholar] [CrossRef] [PubMed]
- Bonilla, L.L.; Platero, G.; Sánchez, D. Microscopic derivation of transport coefficients and boundary conditions in discrete drift-diffusion models of weakly coupled superlattices. Phys. Rev. B 2000, 62, 2786–2796. [Google Scholar] [CrossRef]
- Wacker, A.; Jauho, A.-P. Microscopic modelling of perpendicular electronic transport in doped multiple quantum wells. Phys. Scr. 1997, T69, 321–324. [Google Scholar] [CrossRef]
- Wacker, A.; Jauho, A.-P.; Rott, S.; Markus, A.; Binder, P.; Döhler, G.H. Inelastic Quantum Transport in Superlattices: Success and Failure of the Boltzmann Equation. Phys. Rev. Lett. 1999, 83, 836–839. [Google Scholar] [CrossRef]
- Wacker, A. Vertical transport and domain formation in multiple quantum wells. In Theory and Transport Properties of Semiconductor Nanostructures; Schöll, E., Ed.; Chapter 10; Springer: Dordrecht, The Netherlands, 1998. [Google Scholar]
- Bastard, G. Wave Mechanics Applied to Semiconductor Heterostructures; Halsted P.: New York, NY, USA, 1988. [Google Scholar]
- Weisbuch, C.; Vinter, B. Quantum Semiconductor Structures; Academic Press: Boston, MA, USA, 1991. [Google Scholar]
- Bardeen, J. Tunneling from a many-particle point of view. Phys. Rev. Lett. 1961, 6, 57–59. [Google Scholar] [CrossRef]
- Payne, M.C. Transfer Hamiltonian description of resonant tunnelling. J. Phys. C Solid State Phys. 1986, 19, 1145–1155. [Google Scholar] [CrossRef]
- Brey, L.; Platero, G.; Tejedor, C. Generalized transfer Hamiltonian for the study of resonant tunneling. Phys. Rev. B 1988, 38, 10507–10511. [Google Scholar] [CrossRef]
- Jonson, M. Quantum-mechanical resonant tunneling in the presence of a boson field. Phys. Rev. B 1989, 39, 5924–5933. [Google Scholar] [CrossRef]
- Platero, G.; Brey, L.; Tejedor, C. Coherent and sequential tunneling in double barriers with transverse magnetic fields. Phys. Rev. B 1989, 40, 8548–8551. [Google Scholar] [CrossRef]
- Inarrea, J.; Platero, G. Photoinduced current bistabilities in a semiconductor double barrier. Eur. Lett. 1996, 33, 477–482. [Google Scholar] [CrossRef]
- Platero, G.; Aguado, R. Photon-assisted transport in semiconductor nanostructures. Phys. Rep. 2004, 395, 1–157. [Google Scholar] [CrossRef]
- Wacker, A.; Moscoso, M.; Kindelan, M.; Bonilla, L.L. Current-voltage characteristic and stability in resonant-tunneling n-doped semiconductor superlattices. Phys. Rev. B 1997, 55, 2466–2475. [Google Scholar] [CrossRef]
- Carpio, A.; Bonilla, L.L.; Wacker, A.; Schöll, E. Wavefronts may move upstream in semiconductor superlattices. Phys. Rev. E 2000, 61, 4866–4876. [Google Scholar] [CrossRef]
- Landau, L.D.; Lifshitz, E.M. Fluid Mechanics; Pergamon P.: New York, NY, USA, 1959. [Google Scholar]
- Keizer, J. Statistical Thermodynamics of Nonequilibrium Processes; Springer: New York, NY, USA, 1987. [Google Scholar]
- DasMahapatra, P.; Sexton, J.; Missous, M.; Shao, C.; Kelly, M.J. Thickness control of molecular beam epitaxy grown layers at the 0.01–0.1 monolayer level. Semicond. Sci. Technol. 2012, 27, 085007. [Google Scholar] [CrossRef]
- Missous, M.; Kelly, M.J.; Sexton, J. Extremely Uniform Tunnel Barriers for Low-Cost Device Manufacture. IEEE Electron Device Lett. 2015, 36, 543–545. [Google Scholar] [CrossRef]
- Zhou, C.; Kurths, J. Noise-Induced Phase Synchronization and Synchronization Transitions in Chaotic Oscillators. Phys. Rev. Lett. 2002, 88, 230602. [Google Scholar] [CrossRef]
- Kinzel, W.; Englert, A.; Kanter, I. On chaos synchronization and secure communication. Philos. Trans. R. Soc. Lond. Ser. A Math. Phys. Eng. Sci. 2010, 368, 379–389. [Google Scholar] [CrossRef]
- Li, W.; Aviad, Y.; Reidler, I.; Song, H.; Huang, Y.; Biermann, K.; Rosenbluh, M.; Zhang, Y.; Grahn, H.T.; Kanter, I. Chaos synchronization in networks of semiconductor superlattices. Eur. Lett. 2015, 112, 30007. [Google Scholar] [CrossRef]
- Liu, W.; Yin, Z.; Chen, X.; Peng, Z.; Song, H.; Liu, P.; Tong, X.; Zhang, Y. A secret key distribution technique based on semiconductor superlattice chaos devices. Sci. Bull. 2018, 63, 1034–1036. [Google Scholar] [CrossRef]
- Keuninckx, L.; Soriano, M.C.; Fischer, I.; Mirasso, C.R.; Nguimdo, R.M.; Van der Sande, G. Encryption key distribution via chaos synchronization. Sci. Rep. 2017, 7, srep43428. [Google Scholar] [CrossRef] [PubMed]
- Xu, H.; Teitsworth, S.W. Dependence of electric field domain relocation dynamics on contact conductivity in semiconductor superlattices. Phys. Rev. B 2007, 76, 235302. [Google Scholar] [CrossRef]
- Kubo, R. Statistical-Mechanical Theory of Irreversible Processes. I. General Theory and Simple Applications to Magnetic and Conduction Problems. J. Phys. Soc. Jpn. 1957, 12, 570–586. [Google Scholar] [CrossRef]
- Kubo, R.; Toda, M.; Hashitsume, N. Statistical Physics II: Nonequilibrium Statistical Mechanics, 2nd ed.; Springer: Berlin/Heidelberg, Germany, 1991. [Google Scholar]
- Zwanzig, R. Nonequilibrium Statistical Mechanics; Oxford University Press: New York, NY, USA, 2001. [Google Scholar]











Publisher’s Note: MDPI stays neutral with regard to jurisdictional claims in published maps and institutional affiliations. |
© 2022 by the authors. Licensee MDPI, Basel, Switzerland. This article is an open access article distributed under the terms and conditions of the Creative Commons Attribution (CC BY) license (https://creativecommons.org/licenses/by/4.0/).
Share and Cite
Bonilla, L.L.; Carretero, M.; Mompó, E. Hyperchaos, Intermittency, Noise and Disorder in Modified Semiconductor Superlattices. Entropy 2022, 24, 1702. https://doi.org/10.3390/e24121702
Bonilla LL, Carretero M, Mompó E. Hyperchaos, Intermittency, Noise and Disorder in Modified Semiconductor Superlattices. Entropy. 2022; 24(12):1702. https://doi.org/10.3390/e24121702
Chicago/Turabian StyleBonilla, Luis L., Manuel Carretero, and Emanuel Mompó. 2022. "Hyperchaos, Intermittency, Noise and Disorder in Modified Semiconductor Superlattices" Entropy 24, no. 12: 1702. https://doi.org/10.3390/e24121702
APA StyleBonilla, L. L., Carretero, M., & Mompó, E. (2022). Hyperchaos, Intermittency, Noise and Disorder in Modified Semiconductor Superlattices. Entropy, 24(12), 1702. https://doi.org/10.3390/e24121702

