Entanglement Negativity and Concurrence in Some Low-Dimensional Spin Systems
Abstract
1. Introduction
2. XXZ Model on Triangular Lattice
3. Quantum Correlation and Entanglement Negativity
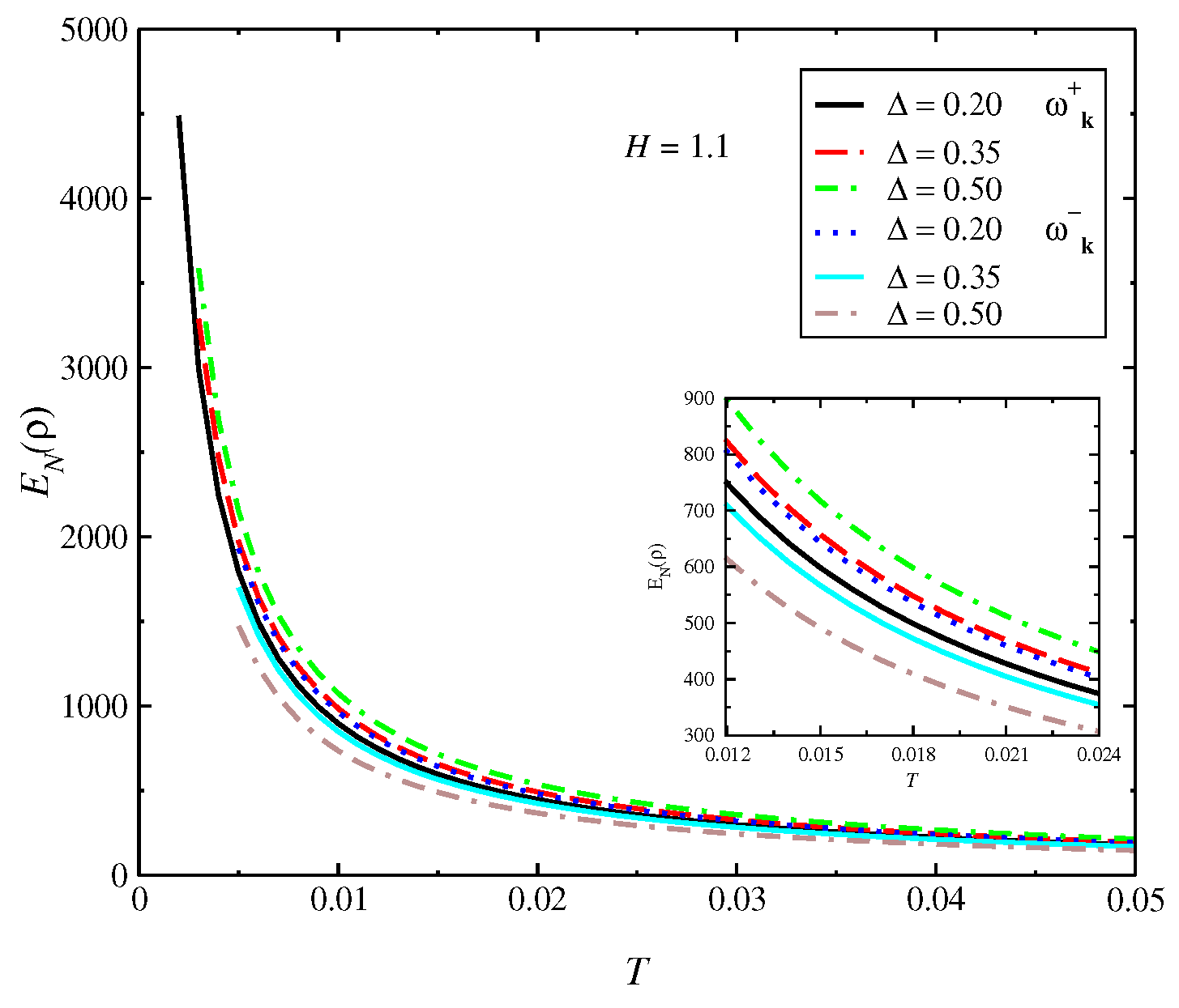
4. Metal-Insulting Antiferromagnet Bilayer Model
5. Two-Dimensional Heisenberg Model with Bilinear–Biquadratic–Bicubic Terms
5.1. Analysis by DMRG
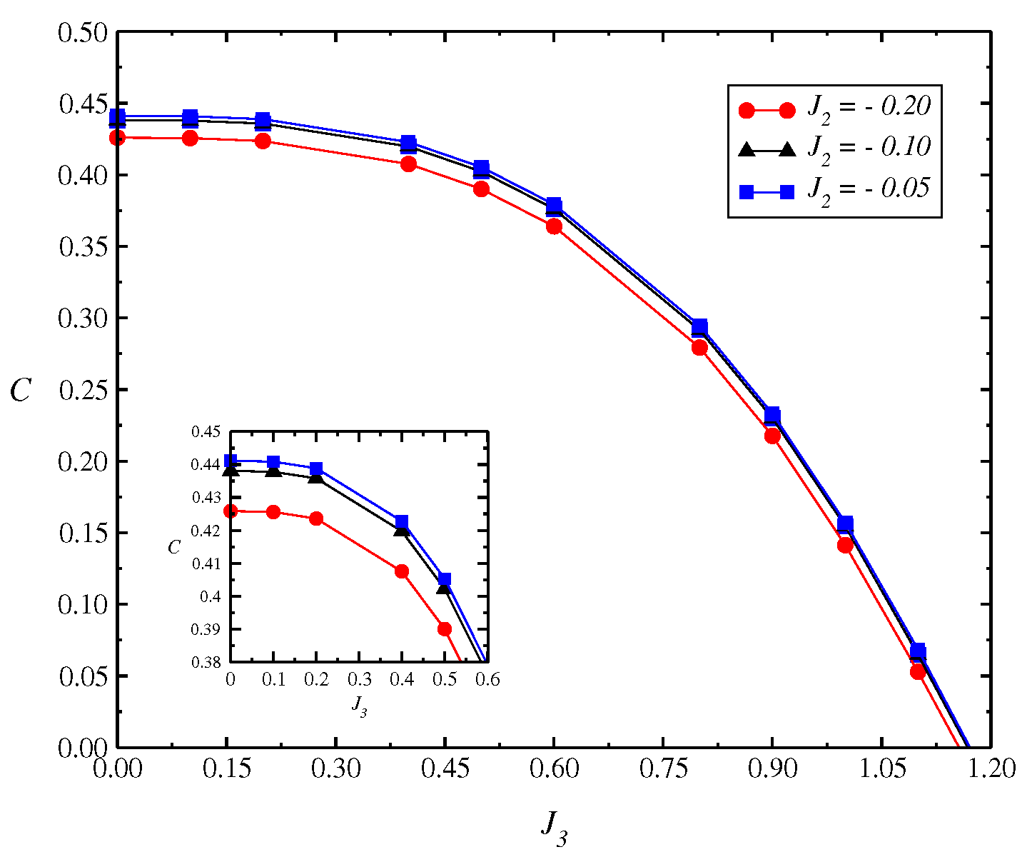
5.2. Concurrence
6. Summary
Funding
Data Availability Statement
Acknowledgments
Conflicts of Interest
References
- Katsura, H.; Nagaosa, N.; Lee, P.A. Theory of the Thermal Hall Effect in Quantum Magnets. Phys. Rev. Lett. 2010, 104, 066403. [Google Scholar] [CrossRef] [PubMed]
- Zhang, L.; Ren, J.; Wang, J.-S.; Li, B. Topological magnon insulator in insulating ferromagnet. Phys. Rev. B 2013, 87, 144101. [Google Scholar] [CrossRef]
- Mook, A.; Henk, J.; Mertig, I. Magnon Hall effect and topology in kagome lattices: A theoretical investigation. Phys. Rev. B 2014, 89, 134409. [Google Scholar] [CrossRef]
- Matsumoto, R.; Shindou, R.; Murakami, S. Thermal Hall effect of magnons in magnets with dipolar interaction. Phys. Rev. B 2014, 89, 054420. [Google Scholar] [CrossRef]
- Owerre, S.A. Magnon Hall effect in AB-stacked bilayer honeycomb quantum magnets. Phys. Rev. B 2016, 94, 094405. [Google Scholar] [CrossRef]
- Owerre, S.A. A first theoretical realization of honeycomb topological magnon insulator. J. Phys. Condens. Matter 2016, 28, 386001. [Google Scholar] [CrossRef]
- Owerre, S.A. Topological thermal Hall effect in frustrated kagome antiferromagnets. Phys. Rev. B 2017, 95, 014422. [Google Scholar] [CrossRef]
- Laurell, P.; Fiete, G.A. Magnon thermal Hall effect in kagome antiferromagnets with Dzyaloshinskii-Moriya interactions. Phys. Rev. B 2018, 98, 094419. [Google Scholar] [CrossRef]
- Kim, K.-S.; Lee, K.H.; Chung, S.B.; Park, J.-G. Magnon topology and thermal Hall effect in trimerized triangular lattice antiferromagnet. Phys. Rev. B 2019, 100, 064412. [Google Scholar] [CrossRef]
- Chen, L. Topological magnon insulator with Dzyaloshinskii-Moriya interaction under the irradiation of light. Chin. Phys. B 2019, 28, 078503. [Google Scholar] [CrossRef]
- Mook, A.; Henk, J.; Mertig, I. Thermal Hall effect in noncollinear coplanar insulating antiferromagnets. Phys. Rev. B 2019, 99, 014427. [Google Scholar] [CrossRef]
- Li, Z.-X.; Cao, Y.; Yan, P. Topological insulators and semimetals in classical magnetic systems. Phys. Rep. 2021, 915, 1. [Google Scholar] [CrossRef]
- Cai, Z.; Bao, S.; Gu, Z.L.; Gao, Y.P.; Ma, Z.; Shangguan, Y.; Si, W.; Dong, Z.Y.; Wang, W.; Wu, Y.; et al. Topological magnon insulator spin excitations in the two-dimensional ferromagnet CrBr3. Phys. Rev. B 2021, 104, L020402. [Google Scholar] [CrossRef]
- Zhu, F.; Zhang, L.; Wang, X.; dos Santos, F.J.; Song, J.; Mueller, T.; Schmalzl, K.; Schmidt, W.F.; Ivanov, A.; Park, J.T.; et al. Topological magnon insulators in two-dimensional van der Waals ferromagnets CrSiTe3 and CrGeTe3: Toward intrinsic gap-tunability. Sci. Adv. 2021, 7, eabi7532. [Google Scholar] [CrossRef]
- Mook, A.; Plekhanov, K.; Klinovaja, J.; Loss, D. Interaction-Stabilized Topological Magnon Insulator in Ferromagnets. Phys. Rev. X 2021, 11, 021061. [Google Scholar] [CrossRef]
- Zhang, Z.; Feng, W.; Yao, Y.; Tang, B. Photoinduced Floquet topological magnons in a ferromagnetic checkerboard lattice. Phys. Lett. A 2021, 414, 127630. [Google Scholar] [CrossRef]
- McClarty, P.A. Topological Magnons: A Review. Annu. Rev. Condens. Matter Phys. 2022, 13, 171. [Google Scholar] [CrossRef]
- Bruss, D.; Leuchs, F. Lectures on Quantum Information; WILEY-VCH Verlag: Weinheim, Germany, 2007. [Google Scholar]
- Laflorencie, N. Quantum entanglement in condensed matter systems. Phys. Rep. 2016, 646, 1. [Google Scholar] [CrossRef]
- Haldane, F.D.M. Continuum dynamics of the 1-D Heisenberg antiferromagnet: Identification with the O(3) nonlinear sigma model. Phys. Lett. A 1983, 93, 464. [Google Scholar] [CrossRef]
- Haldane, F.D.M. Nonlinear Field Theory of Large-Spin Heisenberg Antiferromagnets: Semiclassically Quantized Solitons of the One-Dimensional Easy-Axis Neel State. Phys. Rev. Lett. 1983, 50, 1153. [Google Scholar] [CrossRef]
- Lieb, E.; Schultz, T.; Mattis, D. Two soluble models of an antiferromagnetic chain. Ann. Phys. 1961, 16, 407. [Google Scholar] [CrossRef]
- Sologubenko, A.V.; Gianno, K.; Ott, H.R.; Vietkine, A.; Revcolevschi, A. Heat transport by lattice and spin excitations in the spin-chain compounds SrCuO2 and Sr2CuO3. Phys. Rev. B 2001, 64, 054412. [Google Scholar] [CrossRef]
- Buijs, J.A.H.M.; de Jonge, W.J.M. Soliton-phonon scattering in TMMC and DMMC. J. Phys. C 1982, 15, 6631. [Google Scholar] [CrossRef]
- Wysin, G.M.; Kumar, P. Thermomagnetic transport coefficients: Solitons in an easy-plane magnetic chain. Phys. Rev. B 1987, 36, 7063. [Google Scholar] [CrossRef]
- de Gronckel, H.A.M.; de Jonge, W.J.M.; Kopinga, K.; Lemmens, L.F. Thermal conductivity of the ferromagnetic chain system CsNiF3. Phys. Rev. B 1991, 44, 4654. [Google Scholar] [CrossRef]
- Evangelou, S.N.; Xiong, S.J. Soliton propagation in a classical Heisenberg chain with impurities. J. Phys. Condens. Matter 1996, 8, 1051. [Google Scholar] [CrossRef]
- Baryakhtar, V.G.; Ivanov, B.A. Soliton thermodynamics of low-dimensional magnets. Sov. Sci. Rev. Sect. A 1992, 16, 1. [Google Scholar]
- Sushkov, O.P. Quantum spin ladder with dynamic phonons: Bound states of magnons and phonons. Phys. Rev. B 1999, 60, 14517. [Google Scholar] [CrossRef]
- Heidrich-Meisner, F.; Honecker, A.; Cabra, D.C.; Breing, W. Transport in dimerized and frustrated spin systems. J. Magn. Magn. Mater. 2004, 272, 890. [Google Scholar] [CrossRef][Green Version]
- Maekawa, S. Spin-dependent transport in magnetic nanostructures. J. Magn. Magn. Mater. 2004, 272, e1459. [Google Scholar] [CrossRef][Green Version]
- Swirkowicz, R.; Barnas, J.; Wilczynski, M. Transport through a quantum dot subject to spin and charge bias. J. Magn. Magn. Mater. 2009, 321, 2414. [Google Scholar] [CrossRef][Green Version]
- Lima, L.S. Spin Nernst effect and quantum entanglement in two-dimensional antiferromagnets on checkerboard lattice. Physica E 2021, 128, 114580. [Google Scholar] [CrossRef]
- Lima, L.S. Quantum correlation and entanglement in the Heisenberg model with biquadratic interaction on square lattice. Eur. Phys. J. D 2021, 75, 1. [Google Scholar] [CrossRef]
- Lima, L.S. Quantum correlation in the bilinear–biquadratic model for iron-based superconductors. Eur. Phys. J. Plus 2021, 136, 789. [Google Scholar] [CrossRef]
- Lima, L.S. Quantum Phase Transition and Quantum Correlation in the Two-dimensional Honeycomb-bilayer Lattice Antiferromagnet. J. Low Temp. Phys. 2021, 205, 112. [Google Scholar] [CrossRef]
- Lima, L.S. Entanglement in the quantum one-dimensional integer spin S Heisenberg antiferromagnet. Physica A 2017, 483, 239. [Google Scholar] [CrossRef]
- Lima, L.S. Entanglement in site diluted quantum two-dimensional antiferromagnet. Physica A 2018, 492, 1853. [Google Scholar] [CrossRef]
- Lima, L.S. Effect of Dzyaloshinskii–Moriya interaction on quantum entanglement in superconductors models of high Tc. Eur. Phys. J. D 2019, 73, 6. [Google Scholar] [CrossRef]
- Lima, L.S. Thermal Entanglement in the Quantum XXZ Model in Triangular and Bilayer Honeycomb Lattices. J. Low Temp. Phys. 2020, 198, 241. [Google Scholar] [CrossRef]
- Lima, L.S. Influence of Topological Phase Transition on Entanglement in the Spin-1 Antiferromagnetic XX Model in Two Dimensions. J. Low Temp. Phys. 2020, 201, 515. [Google Scholar] [CrossRef]
- Lima, L.S. Influence of Dzyaloshinskii-Moriya interaction and external fields on quantum entanglement in half-integer spin one-dimensional antiferromagnets. Eur. Phys. J. D 2019, 73, 242. [Google Scholar] [CrossRef]
- Lima, L.S. Entanglement and quantum phase transition in the anisotropic two-dimensional XXZ model. Solid State Commun. 2020, 309, 113836. [Google Scholar] [CrossRef]
- Lima, L.S. Effect of spin-phonon coupling on quantum correlation in the spin-1 XY model. Solid State Commun. 2021, 332, 114323. [Google Scholar] [CrossRef]
- Lima, L.S. Quantum entanglement and magnon Hall effect on the Lieb lattice model. Physica E 2022, 141, 115235. [Google Scholar] [CrossRef]
- Lima, L.S. Effect of magnon bands on quantum entanglement in two-dimensional ferromagnets in the checkerboard lattice. Eur. Phys. J. Plus 2022, 137, 1. [Google Scholar] [CrossRef]
- Colpa, J.H.P. Diagonalization of the quadratic boson hamiltonian. Physica A 1978, 93, 327. [Google Scholar] [CrossRef]
- Chen, Q.-H.; Huang, F.-J.; Fu, Y.-P. Magnon valley thermal Hall effect in triangular-lattice antiferromagnets. Phys. Rev. B 2022, 105, 224401. [Google Scholar] [CrossRef]
- Ballentine, L.E. Resource letter IQM-2: Foundations of quantum mechanics since the Bell inequalities. Am. J. Phys. 1986, 55, 785. [Google Scholar] [CrossRef]
- Di Vincenzo, D.P. Quantum computation. Science 1995, 270, 255. [Google Scholar] [CrossRef]
- Latorre, J.I.; Riera, A. A short review on entanglement in quantum spin systems. J. Phys. A. Math. Theor. 2009, 42, 404002. [Google Scholar] [CrossRef]
- Marinescu, D.C.; Marinescu, G.M. Approaching Quantum Computing; Pearson Prentice Hall: Hoboken, NJ, USA, 2004. [Google Scholar]
- Nielsen, M.A.; Chuang, I.L. Quantum Computing and Quantum Information; Cambridge University Press: Cambridge, UK, 2000. [Google Scholar]
- Its, A.R.; Jin, B.-Q.; Korepin, V.E. Entanglement in the XY spin chain. J. Phys. A Math. Gen. 2005, 38, 2975. [Google Scholar] [CrossRef]
- Latorre, J.I.; Rico, E.; Vidal, G. Ground state entanglement in quantum spin chains. Quant. Inf. Comput. 2004, 4, 48. [Google Scholar] [CrossRef]
- Calabrese, P. Entanglement Entropy and Quantum Field Theory. John Cardy J. Stat. Mech. 2004, 2004, P06002. [Google Scholar] [CrossRef]
- Bianchini, D.; Castro-Alvaredo, O.A.; Doyon, B.; Levi, E.; Ravanini, F. Entanglement entropy of non-unitary conformal field theory. J. Phys. A Math. Theor. 2014, 48, 04FT01. [Google Scholar] [CrossRef]
- Vidal, G.; Latorre, J.L.; Rico, E.I.; Kitaev, A. Entanglement in Quantum Critical Phenomena. Phys. Rev. Lett. 2003, 90, 227902. [Google Scholar] [CrossRef]
- Calabrese, P. Entanglement and thermodynamics in non-equilibrium isolated quantum systems. Physica A 2018, 504, 31. [Google Scholar] [CrossRef]
- Gálisová, L. Frustration phenomenon in the spin-1/2 Ising-Heisenberg planar model of inter-connected trigonal bipyramid structures. J. Phys. Condens. Matter 2019, 31, 465801. [Google Scholar] [CrossRef]
- Zyczkowski, K.; Horodecki, P.; Sanpera, A.; Lewenstein, M. Volume of the set of separable states. Phys. Rev. A 1998, 58, 883. [Google Scholar] [CrossRef]
- Vidal, G.; Werner, R.F. Computable measure of entanglement. Phys. Rev. A 2002, 65, 032314. [Google Scholar] [CrossRef]
- Plenio, M.B. Logarithmic Negativity: A Full Entanglement Monotone That is not Convex. Phys. Rev. Lett. 2005, 95, 090503. [Google Scholar] [CrossRef]
- Castelnovo, C. Negativity and topological order in the toric code. Phys. Rev. A 2013, 88, 042319. [Google Scholar] [CrossRef]
- Lee, Y.A.; Vidal, G. Entanglement negativity and topological order. Phys. Rev. A 2013, 88, 042318. [Google Scholar] [CrossRef]
- Brataas, A.; van Wees, B.; Klein, O.; de Loubens, G.; Viret, M. Spin insulatronics. Phys. Rep. 2020, 885, 1. [Google Scholar] [CrossRef]
- Holanda, J.; Santos, O.A.; Mendes, J.B.S.; Rezende, S.M. Spin-to-charge conversion and interface-induced spin Hall magnetoresistance in yttrium iron garnet/metallic bilayers. J. Phys. Condens. Matter 2021, 33, 435803. [Google Scholar] [CrossRef]
- Erlandsen, E.; Sudbo, A. Magnon drag in a metal–insulating antiferromagnet bilayer. Phys. Rev. B 2022, 105, 184434. [Google Scholar] [CrossRef]
- Anderson, P.W. The Resonating Valence Bond State in La2CuO4 and Superconductivity. Science 1987, 235, 1196. [Google Scholar] [CrossRef]
- Soni, R.; Kaushal, N.; Sen, C.; Reboredo, F.A.; Moreo, A.; Dagotto, E. Estimation of biquadratic and bicubic Heisenberg effective couplings from multiorbital Hubbard models. New J. Phys. 2022, 24, 073014. [Google Scholar] [CrossRef]
- Steven White, R. Density matrix formulation for quantum renormalization groups. Phys. Rev. Lett. 1992, 69, 2863. [Google Scholar] [CrossRef]
- Steven White, R. Density-matrix algorithms for quantum renormalization groups. Phys. Rev. B 1993, 48, 10345. [Google Scholar] [CrossRef]
- Hill, S.A.; Wootters, W.K. Entanglement of a Pair of Quantum Bit. Phys. Rev. Lett. 1997, 78, 5022. [Google Scholar] [CrossRef]
- Wootters, W.K. Entanglement of Formation of an Arbitrary State of Two Qubits. Phys. Rev. Lett. 1998, 80, 2245. [Google Scholar] [CrossRef]






Publisher’s Note: MDPI stays neutral with regard to jurisdictional claims in published maps and institutional affiliations. |
© 2022 by the author. Licensee MDPI, Basel, Switzerland. This article is an open access article distributed under the terms and conditions of the Creative Commons Attribution (CC BY) license (https://creativecommons.org/licenses/by/4.0/).
Share and Cite
Lima, L.S. Entanglement Negativity and Concurrence in Some Low-Dimensional Spin Systems. Entropy 2022, 24, 1629. https://doi.org/10.3390/e24111629
Lima LS. Entanglement Negativity and Concurrence in Some Low-Dimensional Spin Systems. Entropy. 2022; 24(11):1629. https://doi.org/10.3390/e24111629
Chicago/Turabian StyleLima, Leonardo S. 2022. "Entanglement Negativity and Concurrence in Some Low-Dimensional Spin Systems" Entropy 24, no. 11: 1629. https://doi.org/10.3390/e24111629
APA StyleLima, L. S. (2022). Entanglement Negativity and Concurrence in Some Low-Dimensional Spin Systems. Entropy, 24(11), 1629. https://doi.org/10.3390/e24111629
