Preparation and Analysis of Two-Dimensional Four-Qubit Entangled States with Photon Polarization and Spatial Path
Abstract
1. Introduction
2. Experimental Preparation of a 2-D Four-Qubit Entangled State
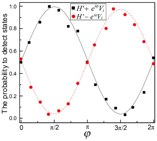
3. Analysis of 2-D Four-Qubit Entangled State
4. Conclusions
Author Contributions
Funding
Institutional Review Board Statement
Informed Consent Statement
Data Availability Statement
Conflicts of Interest
References
- Pan, J.W.; Chen, Z.B.; Lu, C.Y.; Weinfurter, H.; Zeilinger, A.; Zukowski, M. Multi-photon entanglement and interferometry. Rev. Mod. Phys. 2012, 84, 777–838. [Google Scholar] [CrossRef]
- Gogyan, A.; Malakyan, Y. Entanglement-preserving frequency conversion in cold atoms. Phys. Rev. A 2008, 77, 033822. [Google Scholar] [CrossRef]
- Jen, H.H. Cascaded cold atomic ensembles in a diamond configuration as a spectrally entangled multiphoton source. Phys. Rev. A 2017, 95, 043840. [Google Scholar] [CrossRef]
- Chung, T.H.; Juska, G.; Moroni, S.T.; Pescaglini, A.; Gocalinska, A.; Pelucchi, E. Engineering of selective carrier injection in patterned arrays of single-quantum-dot entangled photon light-emitting diodes. arXiv 2017, arXiv:1707.06190. [Google Scholar]
- Bartlett, B.; Fan, S. Universal programmable photonic architecture for quantum information processing. Phys. Rev. A 2020, 101, 042319. [Google Scholar] [CrossRef]
- Gisin, N. Quantum nonlocality: How does nature perform the trick? Science 2009, 326, 1357–1359. [Google Scholar] [CrossRef]
- Palazuelos, C. Super-activation of quantum non-locality. Phys. Rev. Lett. 2012, 109, 190401. [Google Scholar] [CrossRef]
- Giustina, M.; Versteegh, M.A.; Wengerowsky, S.; Handsteiner, J.; Hochrainer, A.; Phelan, K.; Steinlechner, F.; Kofler, J.; Larsson, J.; Abellán, C.; et al. Significant-loophole-free test of Bell’s theorem with entangled photons. Phys. Rev. Lett. 2015, 115, 250401. [Google Scholar] [CrossRef]
- Dawson, C.M.; Haselgrove, H.L.; Nielsen, M.A. Noise thresholds for optical quantum computers. Phys. Rev. Lett. 2006, 96, 020501. [Google Scholar] [CrossRef]
- Amico, M.; Dittel, C. Simulation of wave-particle duality in multi-path interferometers on a quantum computer. Phys. Rev. A 2020, 102, 032605. [Google Scholar] [CrossRef]
- Tittel, W.; Brendel, J.; Zbinden, H.; Gisin, N. Violation of Bell inequalities by photons more than 10 km apart. Phys. Rev. Lett. 1998, 81, 3563–3566. [Google Scholar] [CrossRef]
- Kiktenko, E.O.; Popov, A.A.; Fedorov, A.K. Bidirectional imperfect quantum teleportation with a single Bell state. Phys. Rev. A 2016, 93, 062305. [Google Scholar] [CrossRef]
- Patro, S.; Chakrabarty, I.; Ganguly, N. Non-negativity of conditional von Neumann entropy and global unitary operations. Phys. Rev. A 2017, 96, 062102. [Google Scholar] [CrossRef]
- Gühne, O.; Cabello, A. Generalized Ardehali-Bell inequalities for graph states. Phys. Rev. A 2008, 77, 032108. [Google Scholar] [CrossRef]
- Yao, X.C.; Wang, T.-X.; Xu, P.; Lu, H.; Pan, G.-S.; Bao, X.-H.; Peng, C.-Z.; Lu, C.-Y.; Chen, Y.-A.; Pan, J.-W. Observation of eight-photon entanglement. Nat. Photonics 2012, 6, 225–228. [Google Scholar] [CrossRef]
- Kwiat, P.G. Hyper-entangled states. J. Mod. Opt. 1997, 44, 2173–2184. [Google Scholar] [CrossRef]
- Vallone, G.; Ceccarelli, R.; De Martini, F.; Mataloni, P. Hyperentanglement of two photons in three degrees of freedom. Phys. Rev. A 2009, 79, 030301. [Google Scholar] [CrossRef]
- Barreiro, J.T.; Langford, N.K.; Peter, N.A.; Kwiat, P.G. Generation of hyperentangled photon pairs. Phys. Rev. Lett. 2005, 95, 260501. [Google Scholar] [CrossRef]
- Mair, A.; Vaziri, A.; Weihs, G.; Zeilinger, A. Entanglement of the orbital angular momentum states of photons. Nature 2001, 412, 313–316. [Google Scholar] [CrossRef]
- Lu, H.X.; Zhang, J.Q.; Wang, X.Q.; Li, Y.D.; Wang, C.Y. Experimental high-intensity three-photon entangled source. Phys. Rev. A 2008, 78, 0333819. [Google Scholar] [CrossRef]
- Einstein, A.; Podolsky, B.; Rosen, N. Can quantum mechanical description of physical reality really be considered complete? Phys. Rev. 1935, 47, 777–780. [Google Scholar] [CrossRef]
- Bell, J.S. On the Einstein Podolsky Rosen paradox. Physics 1964, 1, 195–200. [Google Scholar] [CrossRef]
- Leibfried, D.; Barrett, M.D.; Schaetz, T.; Britton, J.; Chiaverini, J.; Itano, W.M.; Jost, J.D.; Langer, C.; Wineland, D.J. Toward Heisenberg-limited spectroscopy with multiparticle entangled states. Science 2004, 304, 1476–1478. [Google Scholar] [CrossRef] [PubMed]
- Acin, A.; Bruss, D.; Lewenstein, M.; Sanpera, A. Classification of Mixed Three-Qubit States. Phys. Rev. Lett. 2001, 87, 040401. [Google Scholar] [CrossRef] [PubMed]
- Bourennane, M.; Eibl, M.; Kurtsiefer, C.; Gaertner, S.; Weinfurter, H.; Gühne, O.; Hyllus, P.; Bruß, D.; Lewenstein, M.; Sanpera, A. Experimental Detection of Multipartite Entanglement using Witness Operators. Phys. Rev. Lett. 2004, 92, 087902. [Google Scholar] [CrossRef] [PubMed]
- Giuseppe, V.; Gaia, D.; Raino, C.; Paolo, M. Six-qubit two-photon hyperentangled cluster states: Characterization and application to quantum computation. Phys. Rev. A 2010, 81, 052301. [Google Scholar]
- Shu, S.; Guo, X.X.; Chen, P.; Loy, M.M.T.; Du, S. Narrowband Biphotons with Polarization-Frequency Coupled Hyperentanglement. Phys. Rev. A 2015, 91, 043820. [Google Scholar] [CrossRef]
- Kwiat, P.G.; Mattle, K.; Weinfurter, H.; Zeilinger, A.; Sergienko, A.V.; Shih, Y. New high-intensity source of polarization-entangled photon pairs. Phys. Rev. Lett. 1995, 75, 4337–4341. [Google Scholar] [CrossRef]
- Liu, Q.; Zhang, M. Generation and complete nondestructive analysis of hyperentanglement assisted by nitrogen-vacancy centers in resonators. Phys. Rev. A 2015, 91, 062321. [Google Scholar] [CrossRef]
- Zeng, Z. Complete hyperentangled Greenberger-Horne-Zeilinger state analysis for polarization and time-bin hyperentanglement. arXiv 2022, arXiv:2206.02469. [Google Scholar] [CrossRef]
- Jungnitsch, B.; Niekamp, S.; Kleinmann, M.; Gühne, O.; Lu, H.; Gao, W.-B.; Chen, Y.-A.; Chen, Z.-B.; Pan, J.-W. Increasing the statistical significance of entanglement detection in experiments. Phys. Rev. Lett. 2010, 104, 210401. [Google Scholar] [CrossRef]
- Fung, C.H.F.; Chau, H.F. Physical time-energy cost of a quantum process determines its information fidelity. Phys. Rev. A 2014, 90, 022333. [Google Scholar] [CrossRef]
- Gisin, N. Bell’s inequality holds for all non-product states. Phys. Lett. A 1991, 154, 201–202. [Google Scholar] [CrossRef]
- Popescu, S.; Rohrlich, D. Generic quantum nonlocality. Phys. Lett. A 1992, 166, 293–297. [Google Scholar] [CrossRef]
- Ardehali, M. Bell inequalities with a magnitude of violation that grows exponentially with the number of particles. Phys. Rev. A 1992, 46, 5375–5378. [Google Scholar] [CrossRef] [PubMed]
- Zhao, J.-Q.; Cao, L.-Z.; Yang, Y.; Li, Y.-D.; Lu, H.-X. Tripartite entanglement and non-locality in three-qubit Greenberger–Horne–Zeilinger states with bit-flip noise. Can. J. Phys. 2019, 97, 248–251. [Google Scholar] [CrossRef]
- Mermin, N.D. Extreme quantum entanglement in a superposition of macroscopically distinct states. Phys. Rev. Lett. 1990, 65, 1838–1840. [Google Scholar] [CrossRef] [PubMed]
- Tsirelson, B.S. Quantum analogues of the Bell inequalities. The case of two spatially separated domains. J. Math. Sci. 1987, 36, 557–570. [Google Scholar] [CrossRef]
- Groenland, K.; Schoutens, K. Many-body strategies for multi-qubit gates-quantum control through Krawtchouk chain dynamics. Phys. Rev. A 2018, 97, 042321. [Google Scholar] [CrossRef]
- Kim, Y.S.; Lee, J.C.; Kwon, Q.; Kim, Y.H. Protecting entanglement from decoherence using weak measurement and quantum measurement reversal. Nat. Phys. 2012, 8, 117–120. [Google Scholar] [CrossRef]
- Rastegin, A.E. On generalized entropies and information-theoretic Bell inequalities under decoherence. Ann. Phys. 2015, 355, 241–257. [Google Scholar] [CrossRef][Green Version]




Publisher’s Note: MDPI stays neutral with regard to jurisdictional claims in published maps and institutional affiliations. |
© 2022 by the authors. Licensee MDPI, Basel, Switzerland. This article is an open access article distributed under the terms and conditions of the Creative Commons Attribution (CC BY) license (https://creativecommons.org/licenses/by/4.0/).
Share and Cite
Zhao, J.; Wang, M.; Sun, B.; Cao, L.; Yang, Y.; Liu, X.; Zhang, Q.; Lu, H.; Driscoll, K.A. Preparation and Analysis of Two-Dimensional Four-Qubit Entangled States with Photon Polarization and Spatial Path. Entropy 2022, 24, 1388. https://doi.org/10.3390/e24101388
Zhao J, Wang M, Sun B, Cao L, Yang Y, Liu X, Zhang Q, Lu H, Driscoll KA. Preparation and Analysis of Two-Dimensional Four-Qubit Entangled States with Photon Polarization and Spatial Path. Entropy. 2022; 24(10):1388. https://doi.org/10.3390/e24101388
Chicago/Turabian StyleZhao, Jiaqiang, Meijiao Wang, Bing Sun, Lianzhen Cao, Yang Yang, Xia Liu, Qinwei Zhang, Huaixin Lu, and Kellie Ann Driscoll. 2022. "Preparation and Analysis of Two-Dimensional Four-Qubit Entangled States with Photon Polarization and Spatial Path" Entropy 24, no. 10: 1388. https://doi.org/10.3390/e24101388
APA StyleZhao, J., Wang, M., Sun, B., Cao, L., Yang, Y., Liu, X., Zhang, Q., Lu, H., & Driscoll, K. A. (2022). Preparation and Analysis of Two-Dimensional Four-Qubit Entangled States with Photon Polarization and Spatial Path. Entropy, 24(10), 1388. https://doi.org/10.3390/e24101388
