Analyzing the Effects of Topological Defect (TD) on the Energy Spectra and Thermal Properties of LiH, TiC and I2 Diatomic Molecules
Abstract
1. Introduction
2. Nikiforov–Uvarov (NU) Method
3. Theory and Calculations
4. Thermal Properties of Generalized Morse Potential (GMP)
5. Applications
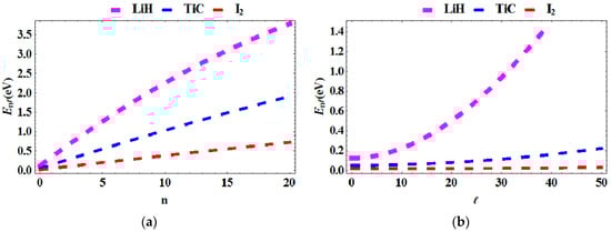
5.1. Energy Spectra
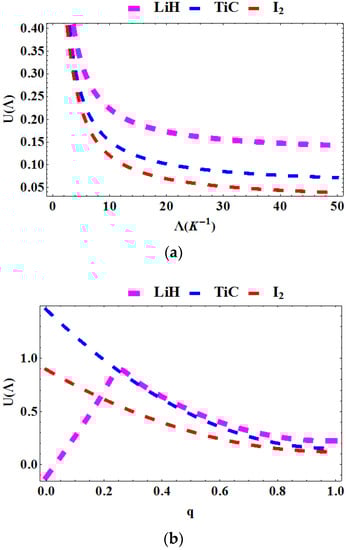
5.2. Partition Function
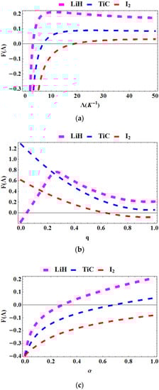
5.3. Free Energy
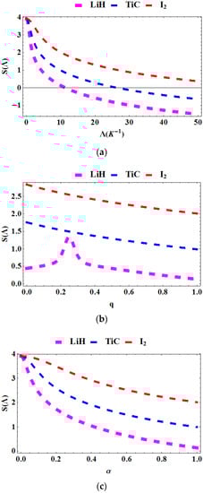
5.4. Entropy
5.5. Average Energy
5.6. Specific Heat Capacity
6. Conclusions
Author Contributions
Funding
Data Availability Statement
Acknowledgments
Conflicts of Interest
List of Abbreviations
| GMP | Generalized Morse potential |
| NU | Nikiforov–Uvarov |
| LiH | Lithium hydride |
| TiC | Titanium carbide |
| I2 | Iodine |
| Boltzmann factor | |
| Partition function | |
| Free energy | |
| Entropy | |
| Average energy | |
| Specific heat capacity | |
| Temperature | |
| Deformation parameter | |
| Topological defect (TD) | |
| Vibrational quantum number | |
| Rotational quantum number | |
| Energy spectra |
References
- Morse, P.M. Diatomic Molecules According to the Wave Mechanics. II. Vibrational Levels. Phys. Rev. 1929, 34, 57–64. [Google Scholar] [CrossRef]
- Girifalco, L.A.; Weizer, V.G. Application of the Morse Potential Function to Cubic Metals. Phys. Rev. 1959, 114, 687–690. [Google Scholar] [CrossRef]
- Jia, C.-S.; Diao, Y.-F.; Liu, X.-J.; Wang, P.-Q.; Liu, J.-Y.; Zhang, G.-D. Equivalence of the Wei potential model and Tietz potential model for diatomic molecules. J. Chem. Phys. 2012, 137, 014101. [Google Scholar] [CrossRef] [PubMed]
- Jia, C.-S.; Yi, L.-Z.; Long, S.-W. Relationship of the deformed hyperbolic Kratzer-like and Tietz potential energy models for diatomic molecules. Can. J. Phys. 2014, 92, 1258–1261. [Google Scholar] [CrossRef]
- Ikot, A.N.; Okorie, U.S.; Rampho, G.J.; Amadi, P.O. Approximate Analytical Solutions of the Klein–Gordon Equation with Generalized Morse Potential. Int. J. Thermophys. 2021, 42, 1–14. [Google Scholar] [CrossRef]
- Edet, C.O.; Amadi, P.O.; Okorie, U.S.; Tas, A.; Ikot, A.N.; Rampho, G. Solutions of Schrodinger equation and thermal properties of generalized trigonometric Poschl-Teller potential. Rev. Mex. Fís. 2020, 66, 824–839. [Google Scholar] [CrossRef]
- Okoi, P.O.; Edet, C.; Magu, T.O. Relativistic treatment of the Hellmann-generalized morse potential. Rev. Mex. Fís. 2019, 66, 1–13. [Google Scholar] [CrossRef]
- Edet, C.O.; Okorie, U.S.; Osobonye, G.; Ikot, A.N.; Rampho, G.J.; Sever, R. Thermal properties of Deng–Fan–Eckart potential model using Poisson summation approach. J. Math. Chem. 2020, 58, 989–1013. [Google Scholar] [CrossRef]
- Jia, C.-S.; Zhang, L.-H.; Peng, X.-L. Improved Pöschl-Teller potential energy model for diatomic molecules. Int. J. Quantum Chem. 2017, 117, e25383. [Google Scholar] [CrossRef]
- Jia, C.-S.; Zhang, L.-H.; Wang, C.-W. Thermodynamic properties for the lithium dimer. Chem. Phys. Lett. 2017, 667, 211–215. [Google Scholar] [CrossRef]
- Okorie, U.S.; Ikot, A.N.; Edet, C.O.; Rampho, G.J.; Sever, R.; Akpan, I.O. Solutions of the Klein Gordon equation with generalized hyperbolic potential in D-dimensions. J. Phys. Commun. 2019, 3, 095015. [Google Scholar] [CrossRef]
- Ita, B.I.; Louis, H.; Akakuru, O.U.; Nzeata-Ibe, N.A.; Ikeuba, A.I.; Magu, T.O.; Edet, C.O. Approximate Solution to the Schrödinger Equation with Manning-Rosen plus a Class of Yukawa Potential via WKBJ Approximation Method. Bulg. J. Phys. 2018, 45, 323. [Google Scholar]
- Edet, C.O.; Amadi, P.O.; Onyeaju, M.C.; Okorie, U.S.; Sever, R.; Rampho, G.J.; Abdullah, H.Y.; Salih, I.H.; Ikot, A.N. Thermal Properties and Magnetic Susceptibility of Hellmann Potential in Aharonov–Bohm (AB) Flux and Magnetic Fields at Zero and Finite Temperatures. J. Low Temp. Phys. 2021, 202, 83–105. [Google Scholar] [CrossRef]
- Okorie, U.S.; Edet, C.; Ikot, A.N.; Rampho, G.J.; Sever, R. Thermodynamic functions for diatomic molecules with modified Kratzer plus screened Coulomb potential. Indian J. Phys. 2021, 95, 411–421. [Google Scholar] [CrossRef]
- Edet, C. Effects of Magnetic and Aharanov-Bohm (AB) Fields on the Energy Spectra of the Yukawa Potential. arXiv 2020, arXiv:2012.08644. [Google Scholar]
- Ikot, A.N.; Okorie, U.S.; Rampho, G.J.; Amadi, P.O.; Edet, C.O.; Akpan, I.O.; Abdullah, H.Y.; Horchani, R. Klein–Gordon Equation and Nonrelativistic Thermodynamic Properties with Improved Screened Kratzer Potential. J. Low Temp. Phys. 2021, 202, 269–289. [Google Scholar] [CrossRef]
- Vilenkin, A.; Shellard, E.P.S. Cosmic Strings and Other Topological Defects; Cambridge University Press: Cambridge, UK, 1994. [Google Scholar]
- Marques, G.D.A.; Bezerra, V.B. Hydrogen atom in the gravitational fields of topological defects. Phys. Rev. D 2002, 66, 105011. [Google Scholar] [CrossRef]
- Edet, C.O.; Ikot, A.N. Effects of Topological Defect on the Energy Spectra and Thermo-magnetic Properties of CO Diatomic Molecule. J. Low Temp. Phys. 2021, 203, 84–111. [Google Scholar] [CrossRef]
- Vilenkin, A. Cosmological density fluctuations produced by vacuum strings. Phys. Rev. Lett. 1981, 46, 1169. [Google Scholar] [CrossRef]
- Furtado, C.; Moraes, F. Landau levels in the presence of a screw dislocation. EPL Europhys. Lett. 1999, 45, 279–282. [Google Scholar] [CrossRef]
- Furtado, C.; Moraes, F. On the binding of electrons and holes to disclinations. Phys. Lett. A 1994, 188, 394–396. [Google Scholar] [CrossRef]
- Bakke, K.; Nascimento, J.R.; Furtado, C. Geometric phase for a neutral particle in the presence of a topological defect. Phys. Rev. D 2008, 78, 064012. [Google Scholar] [CrossRef]
- Hassanabadi, H.; Hosseinpour, M. Thermodynamic properties of neutral particle in the presence of topological defects in magnetic cosmic string background. Eur. Phys. J. C 2016, 76, 553. [Google Scholar] [CrossRef]
- Vilenkin, A. Cosmic strings and domain walls. Phys. Rep. 1985, 121, 263–315. [Google Scholar] [CrossRef]
- Barriola, M.; Vilenkin, A. Gravitational field of a global monopole. Phys. Rev. Lett. 1989, 63, 341–343. [Google Scholar] [CrossRef]
- Kibble, T.; Srivastava, A. Condensed matter analogues of cosmology. J. Phys. Condens. Matter 2013, 25, 400301. [Google Scholar] [CrossRef]
- Ford, L.H.; Vilenkin, A. A gravitational analogue of the Aharonov-Bohm effect. J. Phys. A Math. Gen. 1981, 14, 2353–2357. [Google Scholar] [CrossRef]
- Katanaev, M.; Volovich, I. Theory of defects in solids and three-dimensional gravity. Ann. Phys. 1992, 216, 1–28. [Google Scholar] [CrossRef]
- Puntigam, R.A.; Soleng, H.H. Volterra distortions, spinning strings, and cosmic defects. Class. Quantum Gravity 1997, 14, 1129–1149. [Google Scholar] [CrossRef]
- Bakke, K.; Furtado, C.; Sergeenkov, S. Holonomic quantum computation associated with a defect structure of conical graphene. EPL Europhys. Lett. 2009, 87, 30002. [Google Scholar] [CrossRef]
- De AMarques, G.; Furtado, C.; Bezerra, V.B.; Moraes, F. Landau levels in the presence of topological defects. J. Phys. A Math. Gen. 2001, 34, 5945. [Google Scholar] [CrossRef]
- Ikot, A.; Okorie, U.; Osobonye, G.; Amadi, P.; Edet, C.; Sithole, M.; Rampho, G.; Sever, R. Superstatistics of Schrödinger equation with pseudo-harmonic potential in external magnetic and Aharanov-Bohm fields. Heliyon 2020, 6, e03738. [Google Scholar] [CrossRef] [PubMed]
- Ikot, A.N.; Edet, C.; Amadi, P.O.; Okorie, U.S.; Rampho, G.J.; Abdullah, H.Y. Thermodynamic properties of Aharanov–Bohm (AB) and magnetic fields with screened Kratzer potential. Eur. Phys. J. D 2020, 74, 1–13. [Google Scholar] [CrossRef]
- Horchani, R.; Al-Aamri, H.; Al-Kindi, N.; Ikot, A.N.; Okorie, U.S.; Rampho, G.J.; Jelassi, H. Energy spectra and magnetic properties of diatomic molecules in the presence of magnetic and AB fields with the inversely quadratic Yukawa potential. Eur. Phys. J. D 2021, 75, 1–13. [Google Scholar] [CrossRef]
- Bakke, K.; Furtado, C. One-qubit quantum gates associated with topological defects in solids. Quantum Inf. Process. 2012, 12, 119–128. [Google Scholar] [CrossRef]
- De Lima Ribeiro, C.A.; Furtado, C.; Moraes, F. Solid-state analog for the He-McKellar-Wilkens quantum phase. EPL Europhys. Lett. 2003, 62, 306. [Google Scholar] [CrossRef]
- Furtado, C.; Moraes, F. Harmonic oscillator interacting with conical singularities. J. Phys. A Math. Gen. 2000, 33, 5513–5519. [Google Scholar] [CrossRef]
- Furtado, C.; Rosas, A.; Azevedo, S. Landau quantization and curvature effects in a two-dimensional quantum dot. EPL Europhys. Lett. 2007, 79, 57001. [Google Scholar] [CrossRef]
- Netto, A.S.; Chesman, C.; Furtado, C. Influence of topology in a quantum ring. Phys. Lett. A 2008, 372, 3894–3897. [Google Scholar] [CrossRef]
- Dantas, L.; Furtado, C.; Netto, A.S. Quantum ring in a rotating frame in the presence of a topological defect. Phys. Lett. A 2015, 379, 11–15. [Google Scholar] [CrossRef]
- Soheibi, N.; Hamzavi, M.; Eshghi, M.; Ikhdair, S.M. Screw dislocation and external fields effects on the Kratzer pseudodot. Eur. Phys. J. B 2017, 90, 212. [Google Scholar] [CrossRef]
- Filgueiras, C.; Silva, E.O. 2DEG on a cylindrical shell with a screw dislocation. Phys. Lett. A 2015, 379, 2110–2115. [Google Scholar] [CrossRef]
- Bakke, K.; Furtado, C. Analysis of the interaction of an electron with radial electric fields in the presence of a disclination. Int. J. Geom. Methods Mod. Phys. 2019, 16, 1950172. [Google Scholar] [CrossRef]
- Furtado, C.; da Cunha, B.C.; Moraes, F.; de Mello, E.; Bezzerra, V. Landau levels in the presence of disclinations. Phys. Lett. A 1994, 195, 90–94. [Google Scholar] [CrossRef]
- Louis, H.; Iserom, I.B.; Odey, M.T.; Ozioma, A.U.; Nelson, N.-I.; Alexander, I.I.; Pigweh, A.I.; Okon, E.C. Solutions to the Dirac Equation for Manning-Rosen Plus Shifted Deng-Fan Potential and Coulomb-Like Tensor Interaction Using Nikiforov-Uvarov Method. Int. J. Chem. 2018, 10, p99. [Google Scholar] [CrossRef]
- Edet, C.; Okorie, U.S.; Ngiangia, A.T.; Ikot, A.N. Bound state solutions of the Schrodinger equation for the modified Kratzer potential plus screened Coulomb potential. Indian J. Phys. 2020, 94, 425–433. [Google Scholar] [CrossRef]
- Edet, C.O.; Okorie, K.O.; Louis, H.; Nzeata-Ibe, N.A. Any l-state solutions of the Schrodinger equation interacting with Hellmann–Kratzer potential model. Indian J. Phys. 2020, 94, 243–251. [Google Scholar] [CrossRef]
- Louis, H.; Iserom, I.B.; Akakuru, O.U.; Nzeata-Ibe, N.A.; Ikeuba, A.I.; Magu, T.O.; Amos, P.I.; Collins, E.O. l-state Solutions of the Relativistic and Non-Relativistic Wave Equations for Modified Hylleraas-Hulthen Potential Using the Nikiforov-Uvarov Quantum Formalism. Orient. J. Phys. Sci. 2018, 3, 3–9. [Google Scholar] [CrossRef]
- Edet, C.O.; Okoi, P.O.; Yusuf, A.S.; Ushie, P.O.; Amadi, P.O.; Edet, C.O.; Okoi, P.O.; Yusuf, A.S.; Ushie, P.O.; Amadi, P.O. Bound state solutions of the generalized shifted Hulthén potential. Indian J. Phys. 2021, 95, 471–480. [Google Scholar] [CrossRef]
- Edet, C.O.; Okoi, P.O.; Chima, S.O. Analytic solutions of the Schrödinger equation with non-central generalized inverse quadratic Yukawa potential. Rev. Bras. Ensino Fís. 2020, 42. [Google Scholar] [CrossRef]
- Berkdemir, C. Application of the Nikiforov-Uvarov Method in Quantum Mechanics. Theor. Concepts Quantum Mech. 2012, 225. [Google Scholar] [CrossRef]
- Edet, C.O.; Okoi, P.O. Any l-state solutions of the Schrödinger equation for q-deformed Hulthen plus generalized inverse quadratic Yukawa potential in arbitrary dimensions. Rev. Mex. Fís. 2019, 65, 333–344. [Google Scholar]
- Vitória, R.L.L.; Belich, H. Harmonic oscillator in an environment with a pointlike defect. Phys. Scr. 2019, 94, 125301. [Google Scholar] [CrossRef]
- De Mello, E.B. Physics in the Global Monopole Spacetime. Braz. J. Phys. 2001, 31, 211–222. [Google Scholar] [CrossRef]
- Pekeris, C.L. The Rotation-Vibration Coupling in Diatomic Molecules. Phys. Rev. 1934, 45, 98–103. [Google Scholar] [CrossRef]
- Edet, C.; Ikot, A.; Okorie, U.; Abdullah, H.; Salah, I. Eigenfunction, uncertainties and thermal properties of the Schrodinger equation with Screened modified Kratzer potential for diatomic molecules. Authorea Prepr. 2020. [Google Scholar] [CrossRef]
- Oyewumi, K.; Falaye, B.; Onate, C.; Oluwadare, O.; Yahya, W. Thermodynamic properties and the approximate solutions of the Schrödinger equation with the shifted Deng–Fan potential model. Mol. Phys. 2013, 112, 127–141. [Google Scholar] [CrossRef]
- Rampho, G.J.; Ikot, A.N.; Edet, C.O.; Okorie, U.S. Energy spectra and thermal properties of diatomic molecules in the presence of magnetic and AB fields with improved Kratzer potential. Mol. Phys. 2021, 119, e1821922. [Google Scholar] [CrossRef]
- De A Marques, G.; Bezerra, V.B. Non-relativistic quantum systems on topological defects spacetimes. Class. Quantum Gravity 2002, 19, 985–995. [Google Scholar] [CrossRef]
- Inyang, E.P.; Inyang, E.P.; Ntibi, J.E.; Ibekwe, E.E.; William, E.S. Approximate solutions of D-dimensional Klein–Gordon equation with Yukawa potential via Nikiforov–Uvarov method. Indian J. Phys. 2021, 1–7, 1–7. [Google Scholar] [CrossRef]
- Akpan, I.O.; Inyang, E.P.; William, E.S. Approximate solutions of the Schrödinger equation with Hulthén-Hellmann Potentials for a Quarkonium system. Rev. Mex. Fís. 2021, 67, 482–490. [Google Scholar] [CrossRef]
- Ibekwe, E.E.; Okorie, U.S.; Emah, J.B.; Inyang, E.P.; Ekong, S.A. Mass spectrum of heavy quarkonium for screened Kratzer potential (SKP) using series expansion method. Eur. Phys. J. Plus 2021, 136, 1–11. [Google Scholar] [CrossRef]









| Molecules | ||||
|---|---|---|---|---|
| LiH | 2.515267 | 1.5956 | 1.128 | 0.880122 |
| TiC | 2.66 | 1.79 | 1.5255 | 9.606079 |
| I2 | 1.5556 | 2.662 | 1.8643 | 63.45224 |
| LiH | TiC | I2 | |||||
|---|---|---|---|---|---|---|---|
| State | |||||||
| 1s | 0.4 | 0.3512750 | 0.0491954 | 0.3480500 | 0.0207404 | 0.2001070 | 0.0075446 |
| 0.8 | 0.3878990 | 0.0981492 | 0.3635600 | 0.0414403 | 0.2057560 | 0.0150801 | |
| 1.0 | 0.4061210 | 0.1225350 | 0.3713000 | 0.0517750 | 0.2085760 | 0.0188444 | |
| 2s | 0.4 | 0.4242820 | 0.1468610 | 0.3790290 | 0.0620996 | 0.2113950 | 0.0226064 |
| 0.8 | 0.5319810 | 0.2915470 | 0.4251940 | 0.1238350 | 0.2282570 | 0.0451305 | |
| 1.0 | 0.5850140 | 0.3630740 | 0.4481390 | 0.1545660 | 0.2366570 | 0.0563616 | |
| 2p | 0.4 | 0.3599230 | 0.0608046 | 0.3487440 | 0.0215881 | 0.2001590 | 0.0076027 |
| 0.8 | 0.3900530 | 0.1010420 | 0.3637330 | 0.0416519 | 0.2057680 | 0.0150946 | |
| 1.0 | 0.4074970 | 0.1243840 | 0.3714100 | 0.0519104 | 0.2085840 | 0.0188537 | |
| 3s | 0.4 | 0.4963230 | 0.2435600 | 0.4098460 | 0.1032970 | 0.2226450 | 0.0376316 |
| 0.8 | 0.6721940 | 0.4810760 | 0.4861790 | 0.2055810 | 0.2506110 | 0.0750343 | |
| 1.0 | 0.7578630 | 0.5975680 | 0.5239660 | 0.2563430 | 0.2645080 | 0.0936497 | |
| 3p | 0.4 | 0.4328560 | 0.1583860 | 0.3797210 | 0.0629450 | 0.2114460 | 0.0226645 |
| 0.8 | 0.5340970 | 0.2943980 | 0.4253660 | 0.1240450 | 0.2282700 | 0.0451449 | |
| 1.0 | 0.5863600 | 0.3648880 | 0.4482490 | 0.1547000 | 0.2366650 | 0.0563708 | |
| 3d | 0.4 | 0.3771840 | 0.0839731 | 0.3501330 | 0.0232833 | 0.2002630 | 0.0077189 |
| 0.8 | 0.3943590 | 0.1068260 | 0.3640800 | 0.0420752 | 0.2057940 | 0.0151237 | |
| 1.0 | 0.4102470 | 0.1280790 | 0.3716320 | 0.0521811 | 0.2086010 | 0.0188723 | |
| 4s | 0.4 | 0.5673970 | 0.3392920 | 0.4405010 | 0.1443320 | 0.2338590 | 0.0526202 |
| 0.8 | 0.8085400 | 0.6667380 | 0.5465170 | 0.2866790 | 0.2728190 | 0.1047920 | |
| 1.0 | 0.9246700 | 0.8260200 | 0.5987810 | 0.3571080 | 0.2921310 | 0.1307090 | |
| 4p | 0.4 | 0.5048230 | 0.2550000 | 0.4105360 | 0.1041400 | 0.2226970 | 0.0376896 |
| 0.8 | 0.6742740 | 0.4838850 | 0.4863500 | 0.2057900 | 0.2506240 | 0.0750487 | |
| 1.0 | 0.7591800 | 0.5993490 | 0.5240750 | 0.2564770 | 0.2645170 | 0.0936590 | |
| 4d | 0.4 | 0.4499690 | 0.1813850 | 0.3811050 | 0.0646356 | 0.2115500 | 0.0227805 |
| 0.8 | 0.5383290 | 0.3000960 | 0.4257100 | 0.1244660 | 0.2282950 | 0.0451739 | |
| 1.0 | 0.5890510 | 0.3685160 | 0.4484690 | 0.1549690 | 0.2366820 | 0.0563893 | |
| 4f | 0.4 | 0.4029900 | 0.1186020 | 0.3522150 | 0.0258259 | 0.2004190 | 0.0078931 |
| 0.8 | 0.4008110 | 0.1154930 | 0.3645990 | 0.0427100 | 0.2058330 | 0.0151672 | |
| 1.0 | 0.4143700 | 0.1336200 | 0.3719640 | 0.0525871 | 0.2086260 | 0.0189001 |
Publisher’s Note: MDPI stays neutral with regard to jurisdictional claims in published maps and institutional affiliations. |
© 2021 by the authors. Licensee MDPI, Basel, Switzerland. This article is an open access article distributed under the terms and conditions of the Creative Commons Attribution (CC BY) license (https://creativecommons.org/licenses/by/4.0/).
Share and Cite
Nwabuzor, P.; Edet, C.; Ndem Ikot, A.; Okorie, U.; Ramantswana, M.; Horchani, R.; Abdel-Aty, A.-H.; Rampho, G. Analyzing the Effects of Topological Defect (TD) on the Energy Spectra and Thermal Properties of LiH, TiC and I2 Diatomic Molecules. Entropy 2021, 23, 1060. https://doi.org/10.3390/e23081060
Nwabuzor P, Edet C, Ndem Ikot A, Okorie U, Ramantswana M, Horchani R, Abdel-Aty A-H, Rampho G. Analyzing the Effects of Topological Defect (TD) on the Energy Spectra and Thermal Properties of LiH, TiC and I2 Diatomic Molecules. Entropy. 2021; 23(8):1060. https://doi.org/10.3390/e23081060
Chicago/Turabian StyleNwabuzor, Peter, Collins Edet, Akpan Ndem Ikot, Uduakobong Okorie, Morris Ramantswana, Ridha Horchani, Abdel-Haleem Abdel-Aty, and Gaotsiwe Rampho. 2021. "Analyzing the Effects of Topological Defect (TD) on the Energy Spectra and Thermal Properties of LiH, TiC and I2 Diatomic Molecules" Entropy 23, no. 8: 1060. https://doi.org/10.3390/e23081060
APA StyleNwabuzor, P., Edet, C., Ndem Ikot, A., Okorie, U., Ramantswana, M., Horchani, R., Abdel-Aty, A.-H., & Rampho, G. (2021). Analyzing the Effects of Topological Defect (TD) on the Energy Spectra and Thermal Properties of LiH, TiC and I2 Diatomic Molecules. Entropy, 23(8), 1060. https://doi.org/10.3390/e23081060

