Social Influence Maximization in Hypergraphs †
Abstract
:1. Introduction
- We revise the three greedy approaches proposed in [17], adding an optimization phase that removes all the unnecessary nodes untimely added by the greedy procedure.
- We design a new greedy algorithm based on a subtractive approach, inspired by Cordasco et al. [19], which iteratively prunes non-influential nodes or edges from the hypergraph until some nodes become essential to the diffusion process.
- We extensively evaluate all the proposed heuristics on real-world networks.
2. Related Work
2.1. The Social Influence Maximization Problem in Graphs
2.2. The Social Influence Maximization Problem in Higher-Order Networks
3. Social Influence Diffusion on Hypergraphs
3.1. Hypergraphs
3.2. A Dynamic Social Influence Diffusion Process
Given a graph and fixed arbitrary thresholds , for each , find a set of minimum size that eventually influences all nodes of G.
4. Finding the Minimum Target Set on Hypergraphs
| Algorithm 1 |
|
| Algorithm 2 |
|
5. Experiments
5.1. Data Sets
- Algebra. Nodes are users of mathoverflow.net, and hyperedges correspond to users who answered a particular type of question about algebra within a month.
- Amazon. Sets of products reviewed by users on Amazon. Each node corresponds to a product, and a hyperedge links together groups of similar items. We used a subset of reviews.
- DBLP. Co-authorship on DBLP papers. Each node is an author, while each hyperedge is a publication. We considered all documents published between January and May 2017.
- Email-Enron. Sets of email addresses involving Enron employees. In this data set, nodes are email addresses at Enron, and a hyperedge comprises the sender and all recipients of the email. We considered a subset of emails.
- Email-W3C. Sets of email addresses on W3C mailing lists. Each hyperedge consists of a set of email addresses, which have all appeared on the same email. We considered a subset of emails.
- Geometry. Hypergraph where nodes are users of mathoverflow.net, and hyperedges are sets of users who answered a certain question category about geometry.
- Game of Thrones (GoT). Hypergraph where nodes are GoT characters, and hyperedges are GoT scenes. In other words, a hyperedge consists of all characters appearing in the same scene together. More details about this data set are given in [37].
- Blues Music Reviews. Hypergraph where nodes are Amazon users and hyperedges link users who reviewed a certain product category (different types of blues music) within a month timeframe.
- NBA. NBA games in the period 1985–2013. Nodes are players, and a hyperedge connects together all players involved in a match up to 2012.
- Restaurant Reviews. Hypergraph where nodes are Yelp users, and hyperedges link users who reviewed an establishment of a particular category (different types of restaurants in Madison, WI) within a month timeframe.
- Bars Reviews. Hypergraph where nodes are Yelp users, and hyperedges connect users who reviewed an establishment of a particular category (different types of bars in Las Vegas, NV) within a month timeframe.
5.2. Experiment Formulation
5.2.1. Scenario 1 — Random thresholds
5.2.2. Scenario 2—Random Node Thresholds, Majority Policy on Hyperedges
5.2.3. Scenario 3—Proportional Node Thresholds, Random Hyperedge Thresholds
5.2.4. Scenario 4—Proportional Node Thresholds, Majority Policy on Hyperedges
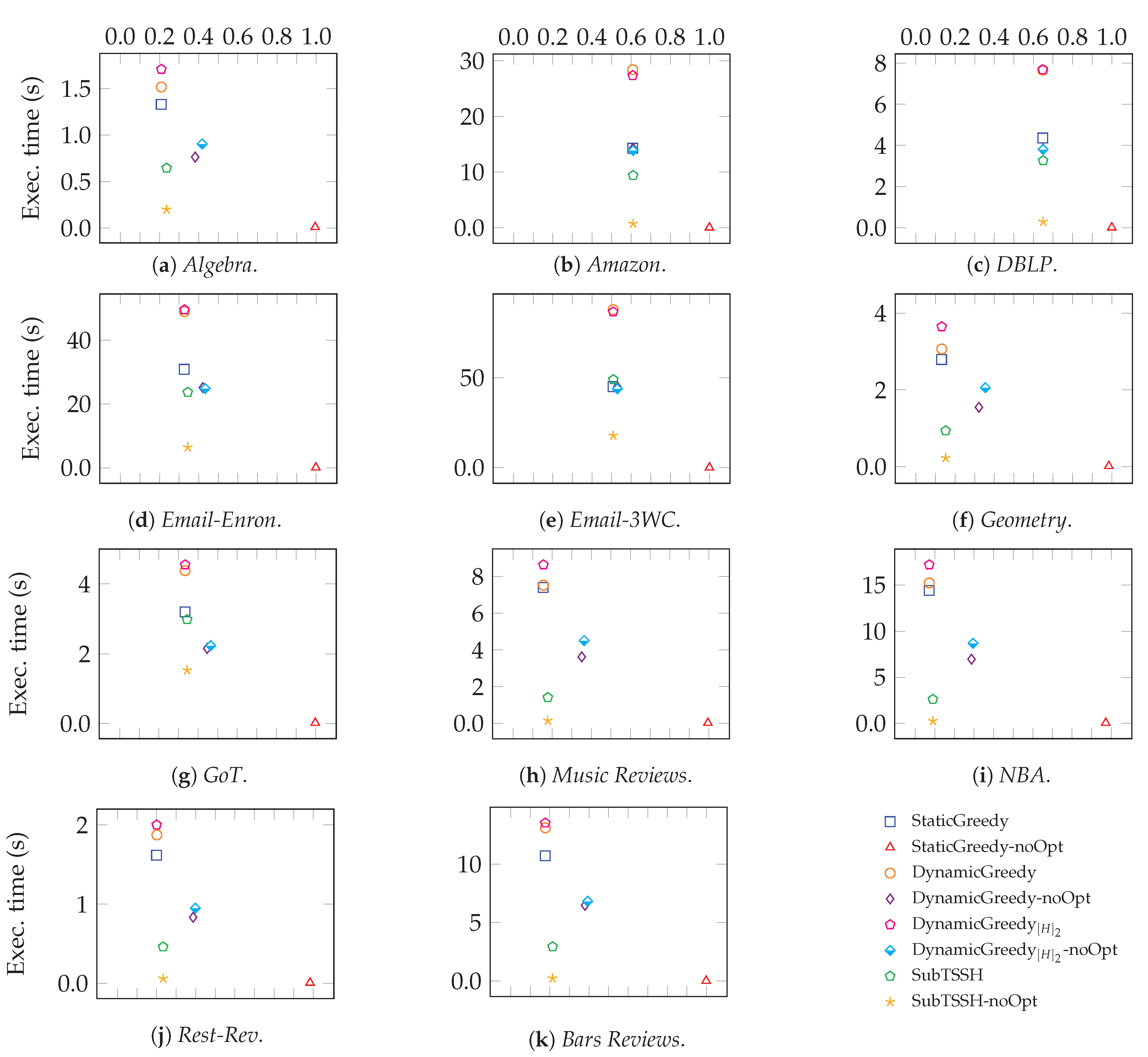
5.3. Execution Time Comparison
6. Conclusions
Author Contributions
Funding
Institutional Review Board Statement
Informed Consent Statement
Data Availability Statement
Acknowledgments
Conflicts of Interest
References
- Gass, R.H. Sociology of Social Influence. In International Encyclopedia of the Social & Behavioral Sciences, 2nd ed.; Wright, J.D., Ed.; Elsevier: Oxford, UK, 2015; pp. 348–354. [Google Scholar] [CrossRef]
- Chen, W.; Wang, C.; Wang, Y. Scalable Influence Maximization for Prevalent Viral Marketing in Large-Scale Social Networks. In Proceedings of the 16th ACM SIGKDD International Conference on Knowledge Discovery and Data Mining, Washington, DC, USA, 24–28 July 2010; Association for Computing Machinery: New York, NY, USA, 2010; pp. 1029–1038. [Google Scholar] [CrossRef]
- Leskovec, J.; Adamic, L.A.; Huberman, B.A. The Dynamics of Viral Marketing. ACM Trans. Web 2007, 1, 5-es. [Google Scholar] [CrossRef] [Green Version]
- Song, X.; Tseng, B.L.; Lin, C.Y.; Sun, M.T. Personalized Recommendation Driven by Information Flow. In Proceedings of the 29th Annual International ACM SIGIR Conference on Research and Development in Information Retrieval, Seattle, WA, USA, 6–11 August 2006; Association for Computing Machinery: New York, NY, USA, 2006; pp. 509–516. [Google Scholar] [CrossRef]
- Li, Y.; Zhang, D.; Tan, K.L. Real-Time Targeted Influence Maximization for Online Advertisements. VLDB Endow. 2015, 8, 1070–1081. [Google Scholar] [CrossRef] [Green Version]
- Ye, M.; Liu, X.; Lee, W.C. Exploring Social Influence for Recommendation: A Generative Model Approach. In Proceedings of the 35th International ACM SIGIR Conference on Research and Development in Information Retrieval, Portland, OR, USA, 12–16 August 2012; Association for Computing Machinery: New York, NY, USA, 2012; pp. 671–680. [Google Scholar] [CrossRef]
- Agarwal, N.; Liu, H.; Tang, L.; Yu, P.S. Identifying the Influential Bloggers in a Community. In Proceedings of the 2008 International Conference on Web Search and Data Mining, Phoenix, AZ, USA, 28 February–4 March 2020; Association for Computing Machinery: New York, NY, USA, 2008; pp. 207–218. [Google Scholar] [CrossRef] [Green Version]
- Bakshy, E.; Hofman, J.M.; Mason, W.A.; Watts, D.J. Everyone’s an Influencer: Quantifying Influence on Twitter. In Proceedings of the Fourth ACM International Conference on Web Search and Data Mining, Hong Kong, 9–12 February 2011; Association for Computing Machinery: New York, NY, USA, 2011; pp. 65–74. [Google Scholar] [CrossRef]
- Huang, X.; Chen, D.; Wang, D.; Ren, T. Identifying Influencers in Social Networks. Entropy 2020, 22, 450. [Google Scholar] [CrossRef] [PubMed]
- Wang, G.; Jiang, W.; Wu, J.; Xiong, Z. Fine-Grained Feature-Based Social Influence Evaluation in Online Social Networks. IEEE Trans. Parallel Distrib. Syst. 2014, 25, 2286–2296. [Google Scholar] [CrossRef] [Green Version]
- Sun, J.; Xu, W.; Ma, J.; Sun, J. Leverage RAF to find domain experts on research social network services: A big data analytics methodology with MapReduce framework. Int. J. Prod. Econ. 2015, 165, 185–193. [Google Scholar] [CrossRef]
- Banerjee, S.; Jenamani, M.; Pratihar, D.K. A survey on influence maximization in a social network. Knowl. Inf. Syst. 2020, 62, 3417–3455. [Google Scholar] [CrossRef] [Green Version]
- Li, Y.; Fan, J.; Wang, Y.; Tan, K. Influence Maximization on Social Graphs: A Survey. IEEE Trans. Knowl. Data Eng. 2018, 30, 1852–1872. [Google Scholar] [CrossRef]
- Battiston, F.; Cencetti, G.; Iacopini, I.; Latora, V.; Lucas, M.; Patania, A.; Young, J.G.; Petri, G. Networks beyond pairwise interactions: Structure and dynamics. Phys. Rep. 2020, 874, 1–92. [Google Scholar] [CrossRef]
- Yoon, S.; Song, H.; Shin, K.; Yi, Y. How Much and When Do We Need Higher-Order Information in Hypergraphs? A Case Study on Hyperedge Prediction. In Proceedings of the Web Conference 2020, Taipei, Taiwan, 20–24 April 2020; Association for Computing Machinery: New York, NY, USA, 2020; pp. 2627–2633. [Google Scholar] [CrossRef]
- Zhu, J.; Zhu, J.; Ghosh, J.; Wu, W.; Yuan, J. Social Influence Maximization in Hypergraph in Social Networks. IEEE Trans. Netw. Sci. Eng. 2019, 6, 801–811. [Google Scholar] [CrossRef]
- Antelmi, A.; Cordasco, G.; Spagnuolo, C.; Szufel, P. Information Diffusion in Complex Networks: A Model Based on Hypergraphs and Its Analysis. In Algorithms and Models for the Web Graph; Springer International Publishing: Cham, Switzerland, 2020; pp. 36–51. [Google Scholar] [CrossRef]
- Kempe, D.; Kleinberg, J.; Tardos, E. Maximizing the Spread of Influence through a Social Network. In Proceedings of the Ninth ACM SIGKDD International Conference on Knowledge Discovery and Data Mining, Washington, DC, USA, 24–27 August 2003; Association for Computing Machinery: New York, NY, USA, 2003; pp. 137–146. [Google Scholar] [CrossRef] [Green Version]
- Cordasco, G.; Gargano, L.; Mecchia, M.; Rescigno, A.A.; Vaccaro, U. Discovering Small Target Sets in Social Networks: A Fast and Effective Algorithm. Algorithmica 2018, 80, 1804–1833. [Google Scholar] [CrossRef] [Green Version]
- Domingos, P.; Richardson, M. Mining the Network Value of Customers. In Proceedings of the Seventh ACM SIGKDD International Conference on Knowledge Discovery and Data Mining, San Francisco, CA, USA, 26–29 August 2001; Association for Computing Machinery: New York, NY, USA, 2001; pp. 57–66. [Google Scholar] [CrossRef]
- Peng, S.; Zhou, Y.; Cao, L.; Yu, S.; Niu, J.; Jia, W. Influence analysis in social networks: A survey. J. Netw. Comput. Appl. 2018, 106, 17–32. [Google Scholar] [CrossRef]
- Ackerman, E.; Ben-Zwi, O.; Wolfovitz, G. Combinatorial model and bounds for target set selection. Theor. Comput. Sci. 2010, 411, 4017–4022. [Google Scholar] [CrossRef] [Green Version]
- Granovetter, L. Threshold models of collective behavior. Am. J. Sociol. 1978, 83, 1420–1443. [Google Scholar] [CrossRef] [Green Version]
- Schelling, T.C. Micromotives and Macrobehavior. J. Politics 1980, 42. [Google Scholar] [CrossRef]
- Chen, N. On the Approximability of Influence in Social Networks. SIAM J. Discret. Math. 2009, 23, 1400–1415. [Google Scholar] [CrossRef]
- Kim, M.; Newth, D.; Christen, P. Modeling Dynamics of Diffusion Across Heterogeneous Social Networks: News Diffusion in Social Media. Entropy 2013, 15, 4215–4242. [Google Scholar] [CrossRef] [Green Version]
- Li, W.; Bai, Q.; Zhang, M.; Nguyen, T.D. Modelling Multiple Influences Diffusion in On-Line Social Networks. In Proceedings of the 17th International Conference on Autonomous Agents and MultiAgent Systems, Stockholm, Sweden, 10–15 July 2018; International Foundation for Autonomous Agents and Multiagent Systems: Richland, SC, USA, 2018; pp. 1053–1061. [Google Scholar] [CrossRef]
- Senevirathna, C.; Gunaratne, C.; Rand, W.; Jayalath, C.; Garibay, I. Influence Cascades: Entropy-Based Characterization of Behavioral Influence Patterns in Social Media. Entropy 2021, 23, 160. [Google Scholar] [CrossRef] [PubMed]
- Goldenberg, J.; Libai, B.; Muller, E. Talk of the Network: A Complex Systems Look at the Underlying Process of Word-of-Mouth. Mark. Lett. 2001, 12, 211–223. [Google Scholar] [CrossRef]
- Zhu, J.; Ghosh, S.; Wu, W. Group Influence Maximization Problem in Social Networks. IEEE Trans. Comput. Soc. Syst. 2019, 6, 1156–1164. [Google Scholar] [CrossRef]
- Ma, T.; Guo, J. Study on information transmission model of enterprise informal organizations based on the hypernetwork. Chin. J. Phys. 2018, 56, 2424–2438. [Google Scholar] [CrossRef]
- Bretto, A. Hypergraph Theory: An Introduction; Springer International Publishing: Berlin/Heidelberg, Germany, 2013. [Google Scholar] [CrossRef]
- Chen, W.; Lakshmanan, L.V.S.; Castillo, C. Information and Influence Propagation in Social Networks; Morgan & Claypool Publishers: San Rafael, CA, USA, 2013. [Google Scholar] [CrossRef]
- Austin, R. Benson Research Data Sets. Available online: https://www.cs.cornell.edu/~arb/data/ (accessed on 18 June 2021).
- Chouder, M.L.; Rizzi, S.; Chalal, R. JSON Datasets for Exploratory OLAP; Mendeley Data; Elsevier: Amsterdam, Netherlands, 2017; Volume V1. [Google Scholar] [CrossRef]
- Jeffrey, L. Game of Thrones Datasets and Visualizations. 2019. Available online: https://github.com/jeffreylancaster/game-of-thrones (accessed on 18 June 2021).
- Spagnuolo, C.; Cordasco, G.; Szufel, P.; Pralat, P.; Scarano, V.; Kaminski, B.; Antelmi, A. Analyzing, Exploring, and Visualizing Complex Networks via Hypergraphs using SimpleHypergraphs.jl. Internet Math. 2020. [Google Scholar] [CrossRef]
- Antelmi, A.; Cordasco, G.; Spagnuolo, C.; Szufel, P. Social Influence Maximization in Hypergraphs—Julia Package (GitHub). 2021. Available online: https://github.com/pszufe/LTMSim.jl (accessed on 18 June 2021).
- Antelmi, A.; Cordasco, G.; Spagnuolo, C.; Szufel, P. Social Influence Maximization in Hypergraphs—Data Set; CERN: Meyrin, Canton of Geneva, Switzerland, 2021. [Google Scholar] [CrossRef]
- Antelmi, A.; Cordasco, G.; Kamiński, B.; Prałat, P.; Scarano, V.; Spagnuolo, C.; Szufel, P. SimpleHypergraphs.jl—Novel Software Framework for Modelling and Analysis of Hypergraphs. In Algorithms and Models for theWeb Graph; Springer: Cham, Switzerland, 2019; pp. 115–129. [Google Scholar] [CrossRef]
- Antelmi, A.; Cordasco, G.; Spagnuolo, C.; Szufel, P. Social Influence Maximization in Hypergraphs—Julia Package; CERN: Meyrin, Canton of Geneva, Switzerland, 2021. [Google Scholar] [CrossRef]












| Algebra | Amazon | DBLP | Email-Enron | Email-W3C | Geometry | |
|---|---|---|---|---|---|---|
| 423 | 4989 | 2727 | 2807 | 5601 | 580 | |
| 1268 | 1176 | 874 | 5000 | 6000 | 1193 | |
| 50,209 | 11,590 | 4298 | 88,926 | 11,130 | 205,127 | |
| Source | [34] | [34] | [35] | [34] | [34] | [34] |
| GoT | Music-Rev | NBA | Restaurants-Rev | Bars-Rev | |
|---|---|---|---|---|---|
| 577 | 1106 | 567 | 565 | 1234 | |
| 3840 | 694 | 2163 | 601 | 1194 | |
| 23,083 | 149,288 | 456,251 | 31,241 | 167,000 | |
| Source | [36] | [34] | [35] | [34] | [34] |
| Node Thresholds | Hyperedge Thresholds | |||
|---|---|---|---|---|
| Random | Proportional | Random | Majority Policy | |
| Scenario 1 | * | * | ||
| Scenario 2 | * | * | ||
| Scenario 3 | * | * | ||
| Scenario 4 | * | * | ||
Publisher’s Note: MDPI stays neutral with regard to jurisdictional claims in published maps and institutional affiliations. |
© 2021 by the authors. Licensee MDPI, Basel, Switzerland. This article is an open access article distributed under the terms and conditions of the Creative Commons Attribution (CC BY) license (https://creativecommons.org/licenses/by/4.0/).
Share and Cite
Antelmi, A.; Cordasco, G.; Spagnuolo, C.; Szufel, P. Social Influence Maximization in Hypergraphs. Entropy 2021, 23, 796. https://doi.org/10.3390/e23070796
Antelmi A, Cordasco G, Spagnuolo C, Szufel P. Social Influence Maximization in Hypergraphs. Entropy. 2021; 23(7):796. https://doi.org/10.3390/e23070796
Chicago/Turabian StyleAntelmi, Alessia, Gennaro Cordasco, Carmine Spagnuolo, and Przemysław Szufel. 2021. "Social Influence Maximization in Hypergraphs" Entropy 23, no. 7: 796. https://doi.org/10.3390/e23070796
APA StyleAntelmi, A., Cordasco, G., Spagnuolo, C., & Szufel, P. (2021). Social Influence Maximization in Hypergraphs. Entropy, 23(7), 796. https://doi.org/10.3390/e23070796

