An Extended Correlation Dimension of Complex Networks
Abstract
:1. Introduction
2. Preliminaries
2.1. Newman–Watts Small-World Networks
2.2. Correlation Dimension of Complex Networks
2.3. The Distance between Nodes
3. The Extended Method of Correlation Dimension
- Firstly, all the edge-weights are sorted from small to large after removing duplicates as . Set the initial size ;
- The next size r is accumulated by Equation (5);
- Repeat step 2 and step 3 until r is not less than the diameter of the network;
- Use least-squares method to fit as function of r in the scaling region on the log–log plot. The slope of fitting line is the correlation dimension .
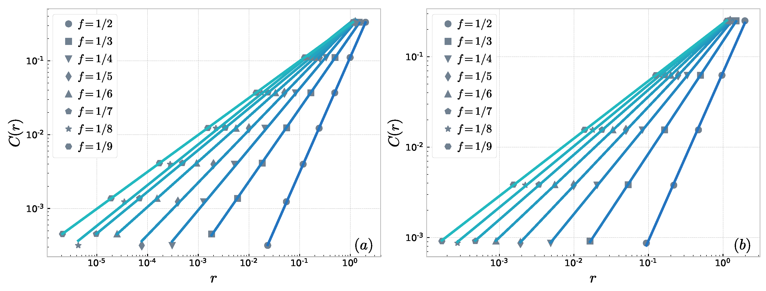
4. Correlation Dimension of Newman-Watts Small-World Network
5. Correlation Dimension and Fractal Properties of Weighted Networks
5.1. Correlation Dimension of Synthetic Weighted Fractal Networks
5.2. Fractal Properties of Real-World Weighted Complex Networks
6. Conclusions
Author Contributions
Funding
Acknowledgments
Conflicts of Interest
References
- Barabási, A.-L. The network takeover. Nat. Phys. 2012, 8, 14–16. [Google Scholar] [CrossRef]
- Allard, A.; Serrano, M.Á.; García-Pérez, G.; Boguñá, M. The geometric nature of weights in real complex networks. Nat. Commun. 2017, 8, 1–8. [Google Scholar] [CrossRef]
- Barrat, A.; Barthélemy, M.; Pastor-Satorras, R.; Vespignani, A. The architecture of complex weighted networks. Proc. Natl. Acad. Sci. USA 2004, 101, 3747–3752. [Google Scholar] [CrossRef] [Green Version]
- Watts, D.J.; Strogatz, S.H. Collective dynamics of ‘small-world’ networks. Nature 1998, 393, 440–442. [Google Scholar] [CrossRef] [PubMed]
- Barabási, A.-L.; Albert, R. Emergence of scaling in random networks. Science 1999, 286, 509–512. [Google Scholar] [CrossRef] [Green Version]
- Kumar, R.; Novak, J.; Tomkins, A. Structure and Evolution of Online Social Networks; Springer: New York, NY, USA, 2010; pp. 337–357. [Google Scholar]
- Pastor-Satorras, R.; Castellano, C.; Van Mieghem, P.; Vespignani, A. Epidemic processes in complex networks. Rev. Mod. Phys. 2015, 87, 925–979. [Google Scholar] [CrossRef] [Green Version]
- Ponten, S.; Bartolomei, F.; Stam, C. Small-world networks and epilepsy: Graph theoretical analysis of intracerebrally recorded mesial temporal lobe seizures. Clin. Neurophysiol. 2007, 118, 918–927. [Google Scholar] [CrossRef]
- Meersman, P.; Tari, Z. On the Move to Meaningful Internet Systems 2005: CoopIS, DOA, and ODBASE; Springer: Berlin, Germany, 2005. [Google Scholar]
- Mandelbort, B.B. The Fractal Geometry of Nature; WH Freeman: New York, NY, USA, 1982. [Google Scholar]
- Song, C.; Havlin, S.; Makse, H.A. Self-similarity of complex networks. Nature 2005, 433, 392–395. [Google Scholar] [CrossRef] [PubMed] [Green Version]
- Song, C.; Havlin, S.; Makse, H.A. Origins of fractality in the growth of complex networks. Nat. Phys. 2006, 2, 275–281. [Google Scholar] [CrossRef] [Green Version]
- Li, D.; Kosmas, K.; Armin, B.; Shlomo, H. Dimension of spatially embedded networks. Nat. Phys. 2011, 7, 481–484. [Google Scholar]
- Wen, T.; Jiang, W. An information dimension of weighted complex networks. Physica A 2018, 501, 388–399. [Google Scholar] [CrossRef]
- Rosenberg, E. Maximal entropy coverings and the information dimension of a complex network. Phys. Lett. A 2017, 381, 574–580. [Google Scholar] [CrossRef]
- Duan, S.; Wen, T.; Jiang, W. A new information dimension of complex network based on rényi entropy. Physica A 2019, 516, 529–542. [Google Scholar] [CrossRef]
- Huang, Y.; Zhang, S.; Dai, W.; Wang, S.; Yang, F. The volume dimension of weighted networks. Complex Syst. Complexity Sci. 2018, 15, 47–55. [Google Scholar]
- Harte, D. Multifractals: Theory and Application; CRC Press: Boca Raton, FL, USA, 2001. [Google Scholar]
- Song, Y.Q.; Liu, J.L.; Yu, Z.G. Multifractal analysis of weighted networks by a modified sandbox algorithm. Sci. Rep. 2015, 5, 1–10. [Google Scholar] [CrossRef] [PubMed] [Green Version]
- Xie, W.; Zhou, W. Horizontal visibility graphs transformed from fractional brownian motions: Topological properties versus the hurst index. Phys. A 2011, 390, 3592–3601. [Google Scholar] [CrossRef] [Green Version]
- de la Torre, S.R.; Kalda, J.; Kitt, R.; Engelbrecht, J. On the topologic structure of economic decomplex networks: Empirical evidence from large scale payment network of estonia. Chaos Solitons Fractals 2016, 90, 18–27. [Google Scholar] [CrossRef] [Green Version]
- de la Torre, S.R.; Kalda, J.; Kitt, R.; Engelbrecht, J. Fractal and multifractal analysis of complex networks: Estonian network of payments. Eur. Phys. J. B 2017, 90, 1–8. [Google Scholar] [CrossRef]
- Yu, Z.G.; Anh, Y.; Eastes, R. Multifractal analysis of geomagnetic storm and solar flare indices and their class dependence. J. Geophys. Res. Space Phys. 2009, 114. [Google Scholar] [CrossRef] [Green Version]
- Li, D.Y.; Wang, X.Y. Exploring the Vulnerability of Fractal Complex Networks Through Connection Pattern and Fractal Dimension. Fractals 2019, 27, 1950102. [Google Scholar] [CrossRef]
- Li, D.Y.; Wang, X.Y. A Max–Min ant colony algorithm for fractal dimension of complex networks. Int. J. Comput. Math. 2018, 95, 1927–1936. [Google Scholar] [CrossRef]
- Zhao, X.; Wang, X. Fractal dimension estimation of RGB color images using maximum color distance. Fractals 2016, 24, 1650040. [Google Scholar] [CrossRef]
- Lacasa, L.; Gómez-Gardeñes, J. Correlation dimension of complex networks. Phys. Rev. Lett. 2013, 110, 168703. [Google Scholar] [CrossRef] [Green Version]
- Lacasa, L.; Gómez-Gardeñes, J. Analytical estimation of the correlation dimension of integer lattices. Chaos 2014, 24, 043101. [Google Scholar] [CrossRef] [Green Version]
- Rosenberg, E. The correlation dimension of a rectilinear grid. J. Interconnect. Netw. 2016, 16, 1550010. [Google Scholar] [CrossRef]
- Rosenberg, R. Correlation Dimension; Springer International Publishing: Cham, Switzerland, 2018; pp. 39–44. [Google Scholar]
- Wang, X.; Liu, Z.; Wang, M. The correlation fractal dimension of complex networks. Int. J. Mod. Phys. C 2013, 24, 1350033. [Google Scholar] [CrossRef]
- Song, C.; Gallos, L.K.; Havlin, S.; Makse, H.A. How to calculate the fractal dimension of a complex network: The box covering algorithm. J. Stat. Mech. Theory Exp. 2007, 2007, P03006. [Google Scholar] [CrossRef] [Green Version]
- Wei, D.; Liu, Q.; Zhang, H.; Hu, Y.; Deng, Y.; Mahadevan, S. Box-covering algorithm for fractal dimension of weighted networks. Sci. Rep. 2013, 3, 1–8. [Google Scholar] [CrossRef] [Green Version]
- Huang, Y.; Zhang, S.; Dai, W.; Wang, S.; Yang, F. Fractal analysis of weighted networks by a modified information dimension method. Complex Syst. Complexity Sci. 2018, 15, 26–34. [Google Scholar]
- Grassberger, P.; Procaccia, I. Measuring the strangeness of strange attractors. Phys. D 1983, 9, 189–208. [Google Scholar] [CrossRef]
- Gao, Z.K.; Small, M.; Kurths, J. Complex network analysis of time series. Europhys. Lett. 2017, 116, 50001. [Google Scholar] [CrossRef]
- Newman, M.; Watts, D. Renormalization group analysis of the small-world network model. Phys. Lett. A 1999, 263, 341–346. [Google Scholar] [CrossRef] [Green Version]
- Rozenfeld, H.D.; Song, C.; Makse, H.A. Small-world to fractal transition in complex networks: A renormalization group approach. Phys. Rev. Lett. 2010, 104, 025701. [Google Scholar] [CrossRef]
- Kawasaki, F.; Yakubo, K. Reciprocal relation between the fractal and the small-world properties of complex networks. Phys. Rev. E 2010, 82, 036113. [Google Scholar] [CrossRef] [PubMed] [Green Version]
- Gallos, L.K.; Potiguar, F.Q.; Andrade, J.S., Jr.; Makse, H.A. Imdb network revisited: Unveiling fractal and modular properties from a typical small-world network. PLoS ONE 2013, 8, e66443. [Google Scholar] [CrossRef]
- Grassberger, P.; Procaccia, I. Characterization of strange attractors. Phys. Rev. Lett. 1983, 50, 346–349. [Google Scholar] [CrossRef]
- Grassberger, P. Generalized dimensions of strange attractors. Phys. Lett. A 1983, 97, 227–230. [Google Scholar] [CrossRef]
- Rosenberg, R. Correlation Dimension; Springer International Publishing: Cham, Switzerland, 2020; pp. 177–194. [Google Scholar]
- Newman, M.E.J. Finding community structure in networks using the eigenvectors of matrices. Phys. Rev. E 2006, 74, 036104. [Google Scholar] [CrossRef] [Green Version]
- Preparata, F.P.; Shamos, M.I. Computational Geometry: An Introduction; Springer Science &Business Media: Berlin/Heidelberg, Germany, 2012. [Google Scholar]
- Long, G.; Xu, C. The fractal dimensions of complex networks. Chin. Phys. Lett. 2009, 26, 088901. [Google Scholar] [CrossRef]
- Wei, D.; Wei, B.; Zhang, H.; Gao, C.; Deng, Y. A generalized volume dimension of complex networks. J. Stat. Mech. Theory Exp. 2014, 2014, P10039. [Google Scholar] [CrossRef]
- Carletti, T.; Righi, S. Weighted fractal networks. Physica A 2010, 389, 2134–2142. [Google Scholar] [CrossRef] [Green Version]
- Barnsley, M.F. Fractals Everywhere; Academic Press: Cambridge, MA, USA, 2014. [Google Scholar]
- Edgar. Measure, Topology, and Fractal Geometry; Springer Science & Business Media: Berlin/Heidelberg, Germany, 2007. [Google Scholar]
- Pajek Datasets, Vladimir Batagelj and Andrej Mrvar. 2006. Available online: http://vlado.fmf.uni-lj.si/pub/networks/data/ (accessed on 11 February 2007).
- Jackson, M.D.; Xu, H.; Duran-Nebreda, S.; Stamm, P.; Bassel, G.W. Topological analysis of multicellular complexity in the plant hypocotyl. Elife 2017, 6, e26023. [Google Scholar] [CrossRef] [PubMed] [Green Version]






| N | P | |||||||
|---|---|---|---|---|---|---|---|---|
| 1000 | 0 | 0.9928 | 0.9928 | 0.9928 | 0.9929 | 0.9929 | 0.9929 | 0.993 |
| 0.01 | 1.2951 | 1.7943 | 2.3778 | 2.3845 | 2.5369 | 2.7175 | 2.8563 | |
| 0.02 | 2.0963 | 2.6473 | 2.7604 | 2.8389 | 3.0485 | 3.1493 | 3.2863 | |
| 0.05 | 2.6434 | 2.9127 | 3.0698 | 2.9427 | 3.2597 | 3.2817 | 3.6556 | |
| 0.1 | 2.7554 | 3.1952 | 3.2193 | 3.2892 | 3.5412 | 3.9118 | 4.1663 | |
| 0.3 | 3.5012 | 3.6739 | 3.8769 | 4.1099 | 4.3303 | 4.3404 | 4.3963 | |
| 2000 | 0 | 0.9964 | 0.9964 | 0.9964 | 0.9964 | 0.9964 | 0.9964 | 0.9964 |
| 0.01 | 2.0235 | 2.243 | 2.7706 | 2.9644 | 3.1692 | 3.246 | 3.3075 | |
| 0.02 | 2.2443 | 2.8485 | 2.7821 | 3.2911 | 3.2367 | 3.4383 | 3.5424 | |
| 0.05 | 2.8336 | 3.2113 | 3.3924 | 3.4125 | 3.5485 | 3.5871 | 3.7541 | |
| 0.1 | 3.3166 | 3.6928 | 3.7177 | 3.8836 | 3.8562 | 4.0745 | 4.419 | |
| 0.3 | 3.9042 | 3.8666 | 3.7783 | 4.3119 | 4.715 | 4.9166 | 4.9635 | |
| 3000 | 0 | 0.9976 | 0.9976 | 0.9976 | 0.9976 | 0.9976 | 0.9976 | 0.9976 |
| 0.01 | 2.05 | 2.5912 | 2.783 | 2.8573 | 2.9366 | 3.2939 | 3.3541 | |
| 0.02 | 2.6661 | 3.0472 | 3.1748 | 3.4464 | 3.5882 | 3.6701 | 3.7543 | |
| 0.05 | 3.2911 | 3.5353 | 3.8673 | 3.8855 | 3.9201 | 3.9976 | 4.1099 | |
| 0.1 | 3.6983 | 3.8749 | 3.8807 | 3.9527 | 3.9992 | 4.108 | 4.5074 | |
| 0.3 | 3.8757 | 3.9531 | 4.21 | 4.4034 | 4.831 | 5.1289 | 5.2853 | |
| 5000 | 0 | 0.9985 | 0.9985 | 0.9985 | 0.9986 | 0.9985 | 0.9986 | 0.9986 |
| 0.01 | 2.317 | 3.06 | 3.2107 | 3.332 | 3.4623 | 3.5619 | 3.6939 | |
| 0.02 | 2.9298 | 3.3299 | 3.6783 | 3.9903 | 4.0966 | 3.776 | 4.1588 | |
| 0.05 | 3.5714 | 3.9696 | 4.256 | 4.2406 | 4.3665 | 4.4102 | 4.4677 | |
| 0.1 | 3.9889 | 4.2811 | 4.366 | 4.40426 | 4.4924 | 4.502 | 4.5754 | |
| 0.3 | 4.5767 | 4.6517 | 4.8547 | 4.9715 | 5.2839 | 5.3029 | 5.5834 | |
| 8000 | 0 | 0.9991 | 0.9991 | 0.9991 | 0.9991 | 0.9991 | 0.9991 | 0.9991 |
| 0.01 | 2.6598 | 3.3849 | 3.5494 | 3.7576 | 3.8403 | 3.9471 | 4.1057 | |
| 0.02 | 3.1861 | 3.5808 | 3.9604 | 4.0501 | 4.1467 | 4.2819 | 4.3718 | |
| 0.05 | 3.8462 | 3.9158 | 4.1813 | 4.2552 | 4.3968 | 4.4726 | 4.5833 | |
| 0.1 | 4.4148 | 4.4527 | 4.5175 | 4.5836 | 4.5906 | 4.6994 | 4.8064 | |
| 0.3 | 4.7167 | 5.0379 | 5.0734 | 5.076 | 5.1369 | 5.4082 | 5.7126 |
| 1.585 | 1.562 | 1.505 | 1.389 | |
| 1 | 0.987 | 0.953 | 0.919 | |
| 0.792 | 0.822 | 0.803 | 0.776 | |
| 0.683 | 0.710 | 0.694 | 0.674 | |
| 0.613 | 0.613 | 0.590 | 0.579 | |
| 0.565 | 0.565 | 0.571 | 0.563 | |
| 0.528 | 0.529 | 0.530 | 0.526 | |
| 0.5 | 0.5 | 0.485 | 0.479 |
| 2 | 1.863 | 1.857 | 1.704 | |
| 1.262 | 1.245 | 1.228 | 1.195 | |
| 1 | 1.008 | 1.006 | 0.974 | |
| 0.861 | 0.873 | 0.871 | 0.849 | |
| 0.774 | 0.780 | 0.786 | 0.767 | |
| 0.712 | 0.719 | 0.725 | 0.771 | |
| 0.667 | 0.678 | 0.676 | 0.728 | |
| 0.631 | 0.637 | 0.642 | 0.685 |
| Name of Network | Nodes | Edges | ||
|---|---|---|---|---|
| USAir | 332 | 2126 | 1.82 | 1.302 |
| Netscience | 1589 | 2742 | 2.288 | 0.634 |
| Cgscience | 7343 | 11898 | 2.908 | 2.419 |
| Coplant | 2210 | 12188 | 2.199 | - |
Publisher’s Note: MDPI stays neutral with regard to jurisdictional claims in published maps and institutional affiliations. |
© 2021 by the authors. Licensee MDPI, Basel, Switzerland. This article is an open access article distributed under the terms and conditions of the Creative Commons Attribution (CC BY) license (https://creativecommons.org/licenses/by/4.0/).
Share and Cite
Zhang, S.; Lan, W.; Dai, W.; Wu, F.; Chen, C. An Extended Correlation Dimension of Complex Networks. Entropy 2021, 23, 710. https://doi.org/10.3390/e23060710
Zhang S, Lan W, Dai W, Wu F, Chen C. An Extended Correlation Dimension of Complex Networks. Entropy. 2021; 23(6):710. https://doi.org/10.3390/e23060710
Chicago/Turabian StyleZhang, Sheng, Wenxiang Lan, Weikai Dai, Feng Wu, and Caisen Chen. 2021. "An Extended Correlation Dimension of Complex Networks" Entropy 23, no. 6: 710. https://doi.org/10.3390/e23060710
APA StyleZhang, S., Lan, W., Dai, W., Wu, F., & Chen, C. (2021). An Extended Correlation Dimension of Complex Networks. Entropy, 23(6), 710. https://doi.org/10.3390/e23060710
