Error Bound of Mode-Based Additive Models
Abstract
1. Introduction
2. Methodology
2.1. Modal Regression
2.2. Mode-Based Sparse Additive Models
3. Error Analysis
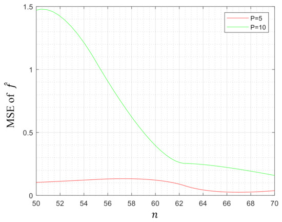
4. Experimental Evaluation
5. Conclusions
Author Contributions
Funding
Data Availability Statement
Conflicts of Interest
References
- Xia, Y.; Hou, Y.; Lv, S. Learning Rates for Partially Linear Support Vector Machine in High Dimensions. Anal. Appl. 2021, 19, 167–182. [Google Scholar] [CrossRef]
- Ravikumar, P.; Liu, H.; Lafferty, J.; Wasserman, L. SpAM: Sparse Additive Models. J. R. Stat. Soc. Ser. B 2009, 71, 1009–1030. [Google Scholar] [CrossRef]
- Yin, J.; Chen, X.; Xing, E.P. Group Sparse Additive Models. In Proceedings of the International Conference on Machine Learning (ICML), Edinburgh, UK, 26 June–1 July 2012; pp. 1643–1650. [Google Scholar]
- Lin, Y.; Zhang, H.H. Component Selection and Smoothing in Multivariate Nonparametric Regression. Ann. Stat. 2006, 34, 2272–2297. [Google Scholar] [CrossRef]
- Zhao, T.; Liu, H. Sparse additive machine. In Proceedings of the International Conference on Artificial Intelligence and Statistics (AISTATS), La Palma, Spain, 21–23 April 2012; Volume 22, pp. 1435–1443. [Google Scholar]
- Chen, H.; Wang, X.; Deng, C.; Huang, H. Group Sparse Additive Machine. In Proceedings of the Advances in Neural Information Processing Systems (NIPS), Long Beach, CA, USA, 4–9 December 2017; Volume 30, pp. 197–207. [Google Scholar]
- Kandasamy, K.; Yu, Y. Additive Approximations in High Dimensional Nonparametric Regression via the SALSA. In Proceedings of the International Conference on Machine Learning (ICML), New York, NY, USA, 19–24 June 2016; Volume 48, pp. 69–78. [Google Scholar]
- Wang, Y.; Chen, H.; Zheng, F.; Xu, C.; Gong, T.; Chen, Y. Multi-task Additive Models for Robust Estimation and Automatic Structure Discovery. In Proceedings of the Advances in Neural Information Processing Systems (NIPS), Online, 6–12 December 2020; Volume 33, pp. 11744–11755. [Google Scholar]
- Chen, H.; Liu, G.; Huang, H. Sparse Shrunk Additive Models. In Proceedings of the International Conference on Machine Learning (ICML), Vienna, Austria, 12–18 July 2020; Volume 119, pp. 6194–6204. [Google Scholar]
- Chen, H.; Guo, C.; Xiong, H.; Wang, Y. Sparse Additive Machine with Ramp Loss. Anal. Appl. 2021, 19, 509–528. [Google Scholar] [CrossRef]
- Meier, L.; Geer, S.V.D.; Buhlmann, P. High-dimensional Additive Modeling. Ann. Stat. 2009, 37, 3779–3821. [Google Scholar] [CrossRef]
- Raskutti, G.; Wainwright, M.J.; Yu, B. Minimax-optimal Rates for Sparse Additive Models over Kernel Classes via Convex Programming. J. Mach. Learn. Res. 2012, 13, 389–427. [Google Scholar]
- Kemp, G.C.R.; Silva, J.M.C.S. Regression towards the mode. J. Econom. 2012, 170, 92–101. [Google Scholar] [CrossRef]
- Yao, W.; Li, L. A New Regression model: Modal Linear Regression. Scand. J. Stat. 2014, 41, 656–671. [Google Scholar] [CrossRef]
- Wang, X.; Chen, H.; Cai, W.; Shen, D.; Huang, H. Regularized Modal Regression with Applications in Cognitive Impairment Prediction. In Proceedings of the Advances in Neural Information Processing Systems (NIPS), Long Beach, CA, USA, 4–9 December 2017; Volume 30, pp. 1448–1458. [Google Scholar]
- Chen, Y.C.; Genovese, C.R.; Tibshirani, R.J.; Wasserman, L. Nonparametric Modal Regression. Ann. Stat. 2014, 44, 489–514. [Google Scholar] [CrossRef]
- Feng, Y.; Fan, J.; Suykens, J. A Statistical Learning Approach to Modal Regression. J. Mach. Learn. Res. 2020, 21, 1–35. [Google Scholar]
- Collomb, G.; Härdle, W.; Hassani, S. A Note on Prediction via Estimation of the Conditional Mode Function. J. Stat. Plan. Inference 1986, 15, 227–236. [Google Scholar] [CrossRef]
- Chen, H.; Wang, Y.; Zheng, F.; Deng, C.; Huang, H. Sparse Modal Additive Model. IEEE Trans. Neural Netw. Learn. Syst. 2020, 1–15. [Google Scholar] [CrossRef] [PubMed]
- Li, J.; Ray, S.; Lindsay, B.G. A Nonparametric Statistical Approach to Clustering via Mode Identification. J. Mach. Learn. Res. 2007, 8, 1687–1723. [Google Scholar]
- Einbeck, J.; Tutz, G. Modeling beyond Regression Function: An Application of Multimodal Regression to Speed-flow Data. J. R. Stat. Soc. Ser. C Appl. Stat. 2006, 55, 461–475. [Google Scholar] [CrossRef]
- Tibshirani, R. Regression Shrinkage and Selection Via the Lasso. J. R. Stat. Soc. Ser. B (Methodol.) 1996, 58, 267–288. [Google Scholar] [CrossRef]
- Feng, Y.; Huang, X.; Shi, L.; Yang, Y.; Suykens, J.A. Learning with the Maximum Correntropy Criterion Induced Losses for Regression. J. Mach. Learn. Res. 2015, 16, 993–1034. [Google Scholar]
- Lv, F.; Fan, J. Optimal learning with Gaussians and Correntropy Loss. Anal. Appl. 2019, 19, 107–124. [Google Scholar] [CrossRef]
- Yao, W.; Lindsay, B.G.; Li, R. Local Modal Regression. J. Nonparametr. Stat. 2012, 24, 647–663. [Google Scholar] [CrossRef]
- Chen, Y. Modal Regression using Kernel Density Estimation: A Review. Wiley Interdiscip. Rev. Comput. Stat. 2018, 10, e1431. [Google Scholar] [CrossRef]
- Steinwart, I.; Christmann, A. Support Vector Machines; Springer Science and Business Media: Berlin/Heidelberg, Germany, 2008. [Google Scholar]
- Lv, S.; Lin, H.; Lian, H.; Huang, J. Oracle Inequalities for Sparse Additive Quantile Regression in Reproducing Kernel Hilbert Space. Ann. Stat. 2018, 46, 781–813. [Google Scholar] [CrossRef]
- Huang, J.; Horowitz, J.L.; Wei, F. Variable Selection in Nonparametric Additive Models. Ann. Stat. 2010, 38, 2282–2313. [Google Scholar] [CrossRef] [PubMed]
- Christmann, A.; Zhou, D.X. Learning Rates for the Risk of Kernel based Quantile Regression Estimators in Additive Models. Anal. Appl. 2016, 14, 449–477. [Google Scholar] [CrossRef]
- Yuan, M.; Zhou, D.X. Minimax Optimal Rates of Estimation in High Dimensional Additive Models. Ann. Stat. 2016, 44, 2564–2593. [Google Scholar] [CrossRef]
- Nikolova, M.; Ng, M.K. Analysis of Half-quadratic Minimization Methods for Sgnal and Image Recovery. SIAM J. Sci. Comput. 2006, 27, 937–966. [Google Scholar] [CrossRef]
- Alizadeh, F.; Goldfarb, D. Second-Order Cone Programming. Math. Program. 2003, 95, 3–51. [Google Scholar] [CrossRef]
- Guo, C.; Song, B.; Wang, Y.; Chen, H.; Xiong, H. Robust Variable Selection and Estimation Based on Kernel Modal Regression. Entropy 2019, 21, 403. [Google Scholar] [CrossRef]
- Wang, Y.; Tang, Y.Y.; Li, L.; Chen, H. Modal Regression-based Atomic Representation for Robust Face Recognition and Reconstruction. IEEE Trans. Cybern. 2020, 50, 4393–4405. [Google Scholar] [CrossRef]
- Suzuki, T.; Sugiyama, M. Fast learning rate of multiple kernel learning: Trade-off between sparsity and smoothness. Ann. Stat. 2013, 41, 1381–1405. [Google Scholar] [CrossRef]
- Schlköpf, B.; Smola, A.J. Learning with Kernels; The MIT Press: Cambridge, MA, USA, 2002. [Google Scholar]
- Aronszajn, N. Theory of Reproducing Kernels. Trans. Am. Math. Soc. 1950, 68, 337–404. [Google Scholar] [CrossRef]
- Bartlett, P.L.; Bousquet, O.; Mendelson, S. Localized Rademacher Complexities. In Proceedings of the Conference on Computational Learning Theory (COLT), Sydney, Australia, 8–10 July 2002; Volume 2373, pp. 44–58. [Google Scholar]
- Mendelson, S. Geometric Parameters of Kernel Machines. In Proceedings of the Conference on Computational Learning Theory (COLT), Sydney, Australia, 8–10 July 2002; Volume 2375, pp. 29–43. [Google Scholar]
- Koltchinskii, V.; Yuan, M. Sparsity in Multiple Kernel Learning. Ann. Stat. 2010, 38, 3660–3695. [Google Scholar] [CrossRef]
- Van De Geer, S. Empirical Processes in M-Estimation; Cambridge University Press: Cambridge, UK, 2000. [Google Scholar]
- Löfberg, J. Automatic robust convex programming. Optim. Methods Softw. 2012, 27, 115–129. [Google Scholar] [CrossRef]



Publisher’s Note: MDPI stays neutral with regard to jurisdictional claims in published maps and institutional affiliations. |
© 2021 by the authors. Licensee MDPI, Basel, Switzerland. This article is an open access article distributed under the terms and conditions of the Creative Commons Attribution (CC BY) license (https://creativecommons.org/licenses/by/4.0/).
Share and Cite
Deng, H.; Chen, J.; Song, B.; Pan, Z. Error Bound of Mode-Based Additive Models. Entropy 2021, 23, 651. https://doi.org/10.3390/e23060651
Deng H, Chen J, Song B, Pan Z. Error Bound of Mode-Based Additive Models. Entropy. 2021; 23(6):651. https://doi.org/10.3390/e23060651
Chicago/Turabian StyleDeng, Hao, Jianghong Chen, Biqin Song, and Zhibin Pan. 2021. "Error Bound of Mode-Based Additive Models" Entropy 23, no. 6: 651. https://doi.org/10.3390/e23060651
APA StyleDeng, H., Chen, J., Song, B., & Pan, Z. (2021). Error Bound of Mode-Based Additive Models. Entropy, 23(6), 651. https://doi.org/10.3390/e23060651
