Extended Lattice Boltzmann Model
Abstract
1. Introduction
2. Discrete Kinetic Equations
2.1. LBGK
2.2. Discrete Velocities and Factorization
2.3. Equilibrium and Extended Equilibrium
2.4. Hydrodynamic Limit with Extended Equilibrium
- (i)
- The temperature is restricted to a single value, the lattice reference temperature (31);
- (ii)
- The flow velocity has to be asymptotically vanishing;
- (iii)
- Stretched velocities amplify these restrictions by making it impossible to cancel even the linear (in velocity) anomaly in all the directions simultaneously.
3. Numerical Results
3.1. Galilean Invariance, Isotropy and Temperature Independence Test
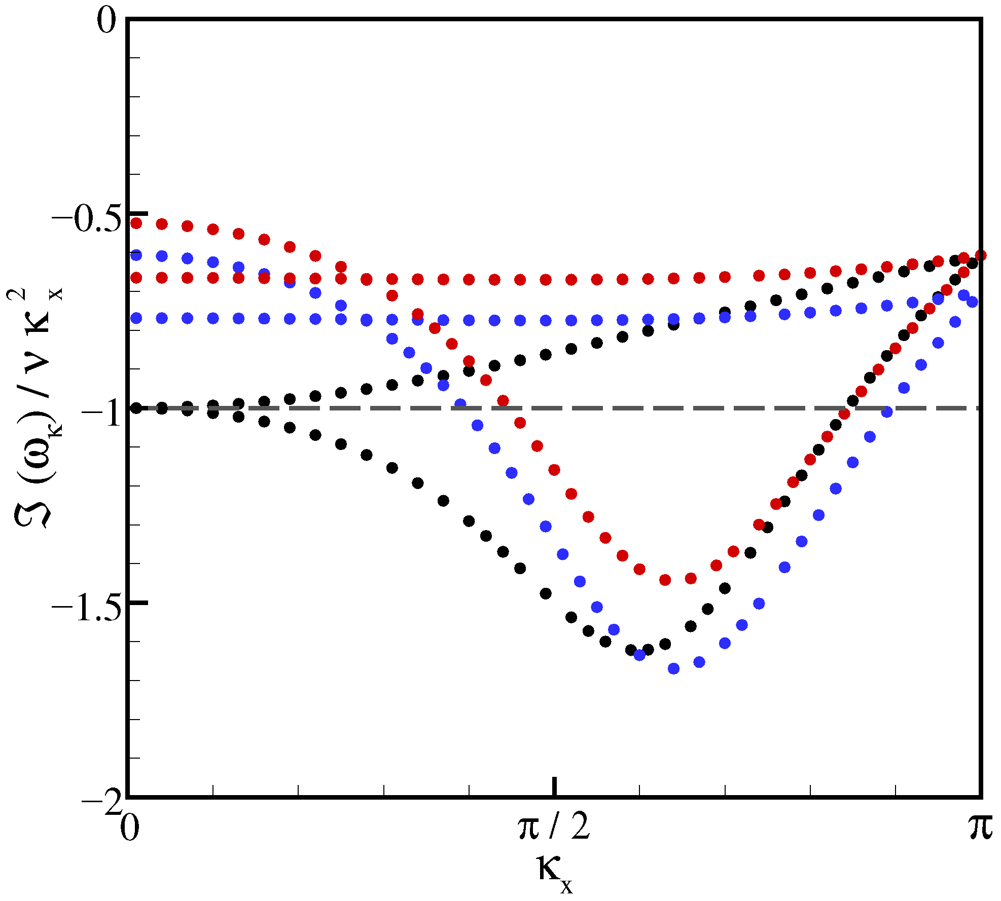
3.2. Decaying Homogeneous Isotropic Turbulence
3.3. Periodic Double Shear Layer
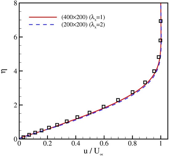
3.4. Laminar Boundary Layer over a Flat Plate
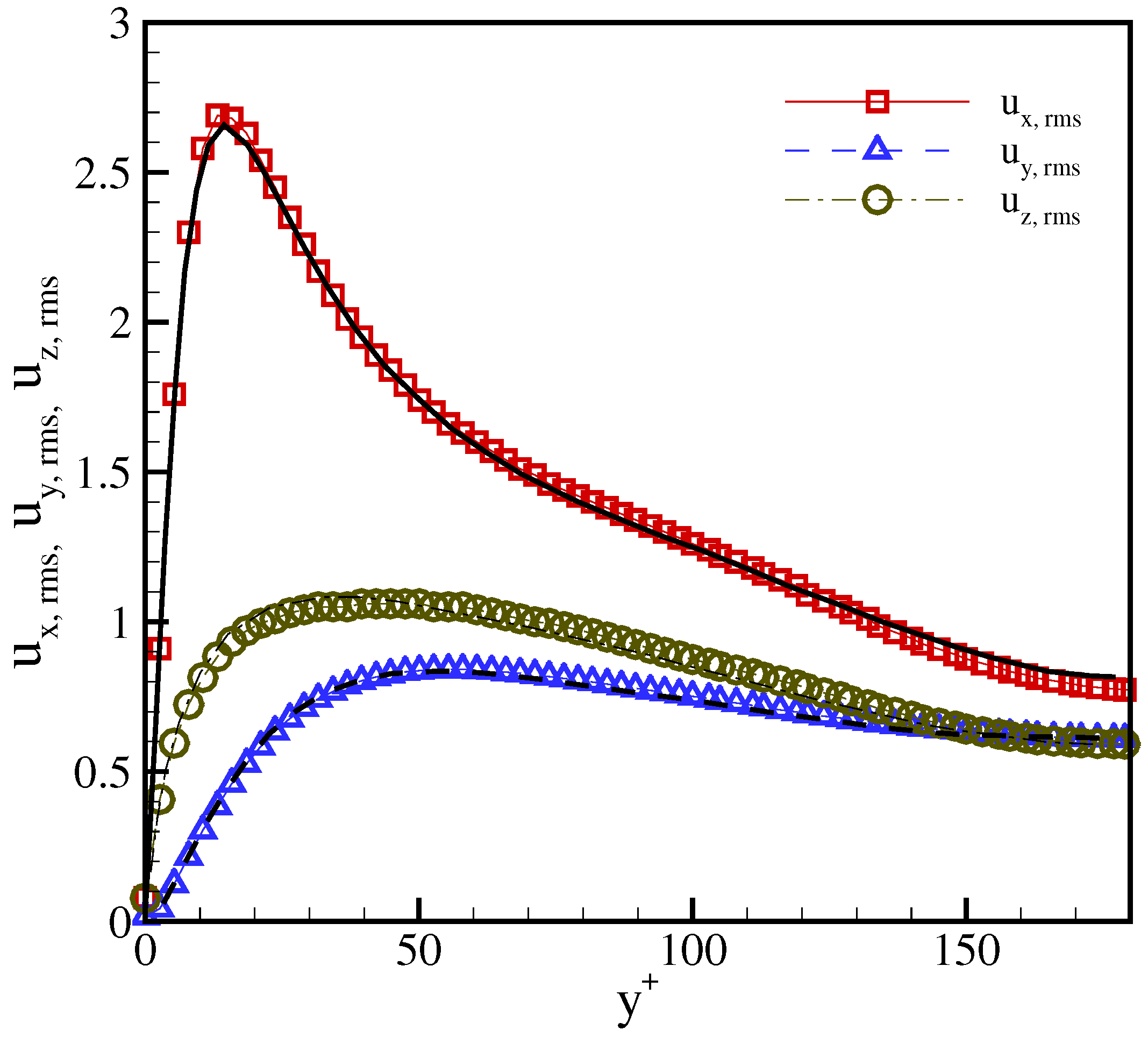
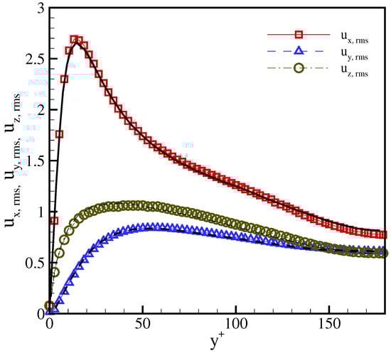
3.5. Turbulent Channel Flow
4. Conclusions
- Note added in proof: After the paper was submitted to peer-review, a later preprint “Central Moment MRT Lattice Boltzmann Method on a Rectangular Lattice” by E. Yahia and K. N. Premnath, arXiv:2103.02119 [physics.flu-dyn], became known to us which adresses a correction for the two-dimensional rectangular lattice in a multiple relaxation time setting.
Author Contributions
Funding
Data Availability Statement
Acknowledgments
Conflicts of Interest
Abbreviations
| LBM | Lattice Boltzmann method |
| LBGK | Lattice Bhatnagar–Gross–Krook |
Appendix A. Comparison of Extended LBGK to Locally Corrected LBM


References
- Succi, S. The Lattice Boltzmann Equation: For Complex States of Flowing Matter; Oxford University Press: Oxford, UK, 2018. [Google Scholar]
- Krüger, T.; Kusumaatmaja, H.; Kuzmin, A.; Shardt, O.; Silva, G.; Viggen, E.M. The Lattice Boltzmann Method; Springer International Publishing: Cham, Switzerland, 2017. [Google Scholar]
- Qian, Y.; Orszag, S. Lattice BGK models for the Navier-Stokes equation: Nonlinear deviation in compressible regimes. EPL Europhys. Lett. 1993, 21, 255. [Google Scholar] [CrossRef]
- Prasianakis, N.I.; Karlin, I.V. Lattice Boltzmann method for thermal flow simulation on standard lattices. Phys. Rev. E 2007, 76, 016702. [Google Scholar] [CrossRef] [PubMed]
- Prasianakis, N.I.; Karlin, I.V. Lattice Boltzmann method for simulation of compressible flows on standard lattices. Phys. Rev. E 2008, 78, 016704. [Google Scholar] [CrossRef] [PubMed]
- Prasianakis, N.I.; Karlin, I.V.; Mantzaras, J.; Boulouchos, K. Lattice Boltzmann method with restored Galilean invariance. Phys. Rev. E 2009, 79, 066702. [Google Scholar] [CrossRef] [PubMed]
- Kang, J.; Prasianakis, N.I.; Mantzaras, J. Lattice Boltzmann model for thermal binary-mixture gas flows. Phys. Rev. E 2013, 87, 053304. [Google Scholar] [CrossRef] [PubMed]
- Li, Q.; Luo, K.; He, Y.; Gao, Y.; Tao, W. Coupling lattice Boltzmann model for simulation of thermal flows on standard lattices. Phys. Rev. E 2012, 85, 016710. [Google Scholar] [CrossRef]
- Dellar, P.J. Lattice Boltzmann algorithms without cubic defects in Galilean invariance on standard lattices. J. Comput. Phys. 2014, 259, 270–283. [Google Scholar] [CrossRef]
- Saadat, M.H.; Bösch, F.; Karlin, I.V. Lattice Boltzmann model for compressible flows on standard lattices: Variable Prandtl number and adiabatic exponent. Phys. Rev. E 2019, 99, 013306. [Google Scholar] [CrossRef]
- Guo, S.; Feng, Y.; Jacob, J.; Renard, F.; Sagaut, P. An efficient lattice Boltzmann method for compressible aerodynamics on D3Q19 lattice. J. Comput. Phys. 2020, 418, 109570. [Google Scholar] [CrossRef]
- Sawant, N.; Dorschner, B.; Karlin, I. Consistent lattice Boltzmann model for multicomponent mixtures. J. Fluid Mech. 2021, 909. [Google Scholar] [CrossRef]
- Clausen, J.R.; Aidun, C.K. Galilean invariance in the lattice-Boltzmann method and its effect on the calculation of rheological properties in suspensions. Int. J. Multiph. Flow 2009, 35, 307–311. [Google Scholar] [CrossRef]
- Bouzidi, M.; d’Humières, D.; Lallemand, P.; Luo, L.S. Lattice Boltzmann equation on a two-dimensional rectangular grid. J. Comput. Phys. 2001, 172, 704–717. [Google Scholar] [CrossRef]
- Chikatamarla, S.; Karlin, I. Comment on “Rectangular lattice Boltzmann method”. Phys. Rev. E 2011, 83, 048701. [Google Scholar] [CrossRef]
- Frapolli, N.; Chikatamarla, S.S.; Karlin, I.V. Theory, analysis, and applications of the entropic lattice Boltzmann model for compressible flows. Entropy 2020, 22, 370. [Google Scholar] [CrossRef]
- Wagner, A.; Yeomans, J. Phase separation under shear in two-dimensional binary fluids. Phys. Rev. E 1999, 59, 4366. [Google Scholar] [CrossRef]
- Dellar, P.J. Bulk and shear viscosities in lattice Boltzmann equations. Phys. Rev. E 2001, 64, 031203. [Google Scholar] [CrossRef]
- Geier, M.; Schönherr, M.; Pasquali, A.; Krafczyk, M. The cumulant lattice Boltzmann equation in three dimensions: Theory and validation. Comput. Math. Appl. 2015, 70, 507–547. [Google Scholar] [CrossRef]
- Feng, Y.; Sagaut, P.; Tao, W.Q. A compressible lattice Boltzmann finite volume model for high subsonic and transonic flows on regular lattices. Comput. Fluids 2016, 131, 45–55. [Google Scholar] [CrossRef]
- Hosseini, S.A.; Darabiha, N.; Thévenin, D. Compressibility in lattice Boltzmann on standard stencils: Effects of deviation from reference temperature. Philos. Trans. R. Soc. A 2020, 378, 20190399. [Google Scholar] [CrossRef] [PubMed]
- Patil, D.V.; Lakshmisha, K. Finite volume TVD formulation of lattice Boltzmann simulation on unstructured mesh. J. Comput. Phys. 2009, 228, 5262–5279. [Google Scholar] [CrossRef]
- Hejranfar, K.; Ghaffarian, A. A high-order accurate unstructured spectral difference lattice Boltzmann method for computing inviscid and viscous compressible flows. Aerosp. Sci. Technol. 2020, 98, 105661. [Google Scholar] [CrossRef]
- Krämer, A.; Küllmer, K.; Reith, D.; Joppich, W.; Foysi, H. Semi-Lagrangian off-lattice Boltzmann method for weakly compressible flows. Phys. Rev. E 2017, 95, 023305. [Google Scholar] [CrossRef]
- Di Ilio, G.; Dorschner, B.; Bella, G.; Succi, S.; Karlin, I.V. Simulation of turbulent flows with the entropic multirelaxation time lattice Boltzmann method on body-fitted meshes. J. Fluid Mech. 2018, 849, 35–56. [Google Scholar] [CrossRef]
- Saadat, M.H.; Bösch, F.; Karlin, I.V. Semi-Lagrangian lattice Boltzmann model for compressible flows on unstructured meshes. Phys. Rev. E 2020, 101, 023311. [Google Scholar] [CrossRef] [PubMed]
- Wilde, D.; Krämer, A.; Reith, D.; Foysi, H. Semi-Lagrangian lattice Boltzmann method for compressible flows. Phys. Rev. E 2020, 101, 053306. [Google Scholar] [CrossRef] [PubMed]
- Lagrava, D.; Malaspinas, O.; Latt, J.; Chopard, B. Advances in multi-domain lattice Boltzmann grid refinement. J. Comput. Phys. 2012, 231, 4808–4822. [Google Scholar] [CrossRef]
- Dorschner, B.; Frapolli, N.; Chikatamarla, S.S.; Karlin, I.V. Grid refinement for entropic lattice Boltzmann models. Phys. Rev. E 2016, 94, 053311. [Google Scholar] [CrossRef]
- Zong, Y.; Peng, C.; Guo, Z.; Wang, L.P. Designing correct fluid hydrodynamics on a rectangular grid using MRT lattice Boltzmann approach. Comput. Math. Appl. 2016, 72, 288–310. [Google Scholar] [CrossRef]
- Peng, C.; Min, H.; Guo, Z.; Wang, L.P. A hydrodynamically-consistent MRT lattice Boltzmann model on a 2D rectangular grid. J. Comput. Phys. 2016, 326, 893–912. [Google Scholar] [CrossRef]
- Zecevic, V.; Kirkpatrick, M.P.; Armfield, S.W. Rectangular lattice Boltzmann method using multiple relaxation time collision operator in two and three dimensions. Comput. Fluids 2020, 202, 104492. [Google Scholar] [CrossRef]
- Guo, Z.; Zhao, T.S.; Shi, Y. Preconditioned lattice-Boltzmann method for steady flows. Phys. Rev. E 2004, 70, 066706. [Google Scholar] [CrossRef]
- Karlin, I.; Asinari, P. Factorization symmetry in the lattice Boltzmann method. Phys. A Stat. Mech. Its Appl. 2010, 389, 1530–1548. [Google Scholar] [CrossRef]
- Dorschner, B.; Chikatamarla, S.S.; Bösch, F.; Karlin, I.V. Grad’s approximation for moving and stationary walls in entropic lattice Boltzmann simulations. J. Comput. Phys. 2015, 295, 340–354. [Google Scholar] [CrossRef]
- Samtaney, R.; Pullin, D.I.; Kosović, B. Direct numerical simulation of decaying compressible turbulence and shocklet statistics. Phys. Fluids 2001, 13, 1415–1430. [Google Scholar] [CrossRef]
- Ducasse, L.; Pumir, A. Inertial particle collisions in turbulent synthetic flows: Quantifying the sling effect. Phys. Rev. E 2009, 80, 066312. [Google Scholar] [CrossRef]
- White, F.M. Fluid Mechanics; Tata McGraw-Hill Education: New York, NY, USA, 1979. [Google Scholar]
- Kim, J.; Moin, P.; Moser, R. Turbulence statistics in fully developed channel flow at low Reynolds number. J. Fluid Mech. 1987, 177, 133–166. [Google Scholar] [CrossRef]
- Moser, R.D.; Kim, J.; Mansour, N.N. Direct numerical simulation of turbulent channel flow up to Reτ=590. Phys. Fluids 1999, 11, 943–945. [Google Scholar] [CrossRef]
- Lee, M.; Moser, R.D. Direct numerical simulation of turbulent channel flow up to Re ≈ 5200. J. Fluid Mech. 2015, 774, 395–415. [Google Scholar] [CrossRef]
- Eckelmann, H. The structure of the viscous sublayer and the adjacent wall region in a turbulent channel flow. J. Fluid Mech. 1974, 65, 439–459. [Google Scholar] [CrossRef]
- Kreplin, H.P.; Eckelmann, H. Behavior of the three fluctuating velocity components in the wall region of a turbulent channel flow. Phys. Fluids 1979, 22, 1233–1239. [Google Scholar] [CrossRef]
- Wang, L.P.; Peng, C.; Guo, Z.; Yu, Z. Lattice Boltzmann simulation of particle-laden turbulent channel flow. Comput. Fluids 2016, 124, 226–236. [Google Scholar] [CrossRef]
- Dorschner, B.; Bösch, F.; Karlin, I.V. Particles on Demand for Kinetic Theory. Phys. Rev. Lett. 2018, 121, 130602(5). [Google Scholar] [CrossRef] [PubMed]
- Reyhanian, E.; Dorschner, B.; Karlin, I.V. Thermokinetic lattice Boltzmann model of nonideal fluids. Phys. Rev. E 2020, 102, 020103. [Google Scholar] [CrossRef] [PubMed]













Publisher’s Note: MDPI stays neutral with regard to jurisdictional claims in published maps and institutional affiliations. |
© 2021 by the authors. Licensee MDPI, Basel, Switzerland. This article is an open access article distributed under the terms and conditions of the Creative Commons Attribution (CC BY) license (https://creativecommons.org/licenses/by/4.0/).
Share and Cite
Saadat, M.H.; Dorschner, B.; Karlin, I. Extended Lattice Boltzmann Model. Entropy 2021, 23, 475. https://doi.org/10.3390/e23040475
Saadat MH, Dorschner B, Karlin I. Extended Lattice Boltzmann Model. Entropy. 2021; 23(4):475. https://doi.org/10.3390/e23040475
Chicago/Turabian StyleSaadat, Mohammad Hossein, Benedikt Dorschner, and Ilya Karlin. 2021. "Extended Lattice Boltzmann Model" Entropy 23, no. 4: 475. https://doi.org/10.3390/e23040475
APA StyleSaadat, M. H., Dorschner, B., & Karlin, I. (2021). Extended Lattice Boltzmann Model. Entropy, 23(4), 475. https://doi.org/10.3390/e23040475

