The Influence of Martensitic Intercalations in Magnetic Shape Memory NiCoMnAl Multilayered Films
Abstract
1. Introduction
2. Preparation of the Multilayered Thin Films and Experimental Methods Utilized
3. Results and Discussion
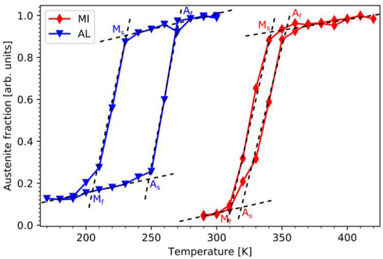
3.1. Choosing the Austenitic and Martensitic Composition of the Individual Layers of the Multilayer Stack
3.2. Temperature Profile of the Martensitic Transformation in All Multilayer Stacks Measured Using the Temperature Dependence of the Underlying Magnetic Moment
3.3. The Issue of Interdiffusion across the Interfaces of the Multilayer Stacks
3.4. The Structural Integrity of the Multilayer System Is Lost to Form a 3D Chessboard-Like Microstructure for in the 13 MI Sample
4. Summary and Conclusions
Author Contributions
Funding
Institutional Review Board Statement
Informed Consent Statement
Data Availability Statement
Conflicts of Interest
References
- Planes, A.; Mañosa, L.; Acet, M. Magnetocaloric effect and its relation to shape-memory properties in ferromagnetic Heusler alloys. J. Phys. Condens. Matter 2009, 21, 233201. [Google Scholar] [CrossRef]
- Saren, A.; Smith, A.R.; Ullakko, K. Integratable magnetic shape memory micropump for high-pressure, precision microfluidic applications. Microfluid. Nanofluid. 2018, 22, 1–10. [Google Scholar] [CrossRef]
- Minorowicz, B.; Leonetti, G.; Stefanski, F.; Binetti, G.; Naso, D. Design, modelling and control of a micropositioning actuator based on magnetic shape memory alloys. Smart Mater. Struct. 2016, 25, 075005. [Google Scholar] [CrossRef]
- Schleicher, B.; Niemann, R.; Diestel, A.; Hühne, R.; Schultz, L.; Fähler, S. Epitaxial Ni-Mn-Ga-Co thin films on PMN-PT substrates for multicaloric applications. J. Appl. Phys. 2015, 118, 053906. [Google Scholar] [CrossRef]
- Liu, J.; Gottschall, T.; Skokov, K.P.; Moore, J.D.; Gutfleisch, O. Giant magnetocaloric effect driven by structural transitions. Nat. Mater. 2012, 11, 620–626. [Google Scholar] [CrossRef]
- Singh, S.; Rawat, R.; Barman, S.R. Existence of modulated structure and negative magnetoresistance in Ga excess Ni-Mn-Ga. Appl. Phys. Lett. 2011, 99, 021902. [Google Scholar] [CrossRef]
- Scheibel, F.; Gottschall, T.; Taubel, A.; Fries, M.; Skokov, K.P.; Terwey, A.; Keune, W.; Ollefs, K.; Wende, H.; Farle, M.; et al. Hysteresis design of magnetocaloric materials-from basic mechanisms to applications. Energy Technol. 2018, 6, 1397–1428. [Google Scholar] [CrossRef]
- Diestel, A.; Chekhonin, P.; Niemann, R.; Skrotzki, W.; Nielsch, K.; Fähler, S. Reducing Thermal Hysteresis in Epitaxial Ni-Mn-Ga-Co Films by Transformation Cycling. Phys. Status Solidi B 2017, 255, 1700330. [Google Scholar] [CrossRef]
- Taubel, A.; Gottschall, T.; Fries, M.; Riegg, S.; Soon, C.; Skokov, K.P.; Gutfleisch, O. A Comparative Study on the Magnetocaloric Properties of Ni-Mn-X(-Co) Heusler Alloys. Phys. Status Solidi B 2017, 255, 1700331. [Google Scholar] [CrossRef]
- Devi, P.; Salazar, M.C.; Caron, L.; Singh, S.; Nicklas, M.; Felser, C. Effect of chemical and hydrostatic pressure on the coupled magnetostructural transition of Ni-Mn-In Heusler alloys. Phys. Rev. Mater. 2019, 3, 122401. [Google Scholar] [CrossRef]
- Gottschall, T.; Stern-Taulats, E.; Mañosa, L.; Planes, A.; Konstantin, P.S.; Gutfleisch, O. Reversibility of minor hysteresis loops in magnetocaloric Heusler alloys. Appl. Phys. Lett. 2017, 110, 223904. [Google Scholar] [CrossRef]
- Sutou, Y.; Imano, Y.; Koeda, N.; Omori, T.; Kainuma, R.; Ishida, K.; Oikawa, K. Magnetic and martensitic transformations of NiMnX (X = In, Sn, Sb) ferromagnetic shape memory alloys. Appl. Phys. Lett. 2004, 85, 4358. [Google Scholar] [CrossRef]
- Titov, I.; Acet, M.; Farle, M.; González-Alonso, D.; Mañosa, L.; Planes, A.; Krenke, T. Hysteresis effects in the inverse magnetocaloric effect in martensitic Ni-Mn-In and Ni-Mn-Sn. J. Appl. Phys. 2012, 112, 073914. [Google Scholar] [CrossRef]
- Teichert, N.; Auge, A.; Yüzüak, E.; Dincer, I.; Elerman, Y.; Krumme, B.; Wende, H.; Yildirim, O.; Potzger, K.; Hütten, A. Influence of film thickness and composition on the martensitic transformation in epitaxial Ni–Mn–Sn thin films. Acta Mater. 2015, 86, 279–285. [Google Scholar] [CrossRef]
- Kainuma, R.; Ito, W.; Umetsu, R.Y.; Oikawa, K.; Ishida, K. Magnetic field-induced reverse transformation in B2-type NiCoMnAl shape memory alloys. Appl. Phys. Lett. 2008, 93, 091906. [Google Scholar] [CrossRef]
- Xu, X.; Ito, W.; Tokunaga, M.; Kihara, T.; Oka, K.; Umetsu, R.; Kanomata, T.; Kainuma, R. The thermal transformation arrest phenomenon in NiCoMnAl heusler alloys. Metals 2013, 3, 298–311. [Google Scholar] [CrossRef]
- Jing-Han, C.; Tej, P.C.; Ahmad, U.S.; David, P.; Young, I.D.; Naushad, A.; Shane, S. Effects of heat treatments on magneto-structural phase transitions in MnNiSi-FeCoGe alloys. Intermetallics 2019, 112, 106547. [Google Scholar]
- Chaudhary, X.V.; Chen, R.V. Ramanujan, Iron and manganese based magnetocaloric materials for near room temperature thermal management. Prog. Mater. Sci. 2019, 100, 64. [Google Scholar] [CrossRef]
- Wodniok, M.; Teichert, N.; Helmich, L.; Hütten, A. How to enable bulk-like martensitic transformation in epitaxial films. AIP Adv. 2017, 7, 056428. [Google Scholar] [CrossRef]
- Kaufmann, S.; Rößler, U.K.; Heczko, O.; Wuttig, M.; Buschbeck, J.; Schultz, L.; Fähler, S. Adaptive modulations of martensites. Phys. Rev. Lett. 2010, 104, 145702. [Google Scholar] [CrossRef]
- Niemann, R.I. Nukleation und Wachstum des Adaptiven Martensits in Epitaktischen Schichten der Formgedächtnislegierung Ni-Mn-Ga. Ph.D. Thesis, Technische Universität Dresden, Dresden, Germany, 2015. Available online: https://tud.qucosa.de/api/qucosa%3A28987/attachment/ATT-0/ (accessed on 26 March 2021).
- Waske, A.; Dutta, B.; Teichert, N.; Weise, B.; Shayanfar, N.; Becker, A.; Hütten, A.; Hickel, T. Coupling phenomena in magnetocaloric materials. Energy Technol. 2018, 6, 1429–1447. [Google Scholar] [CrossRef]
- Yury, K.; Sudip, P.; Abdiel, Q.; Anil, A.; Igor, D.; Jacek, C.; Elvina, D.; Alexander, G.E.L.; Shane, S.; Naushad, A. Kinetic effects in the magnetic and magnetocaloric properties of metamagnetic Ni50Mn35In14.25B0.75. J. Magn. Magn. Mater. 2018, 459, 98. [Google Scholar]








| Layer | Ms [K] | Mf [K] | As [K] | Af [K] |
|---|---|---|---|---|
| AL | 232 | 204 | 248 | 271 |
| MI | 342 | 310 | 319 | 353 |
Publisher’s Note: MDPI stays neutral with regard to jurisdictional claims in published maps and institutional affiliations. |
© 2021 by the authors. Licensee MDPI, Basel, Switzerland. This article is an open access article distributed under the terms and conditions of the Creative Commons Attribution (CC BY) license (https://creativecommons.org/licenses/by/4.0/).
Share and Cite
Becker, A.; Ramermann, D.; Ennen, I.; Büker, B.; Matalla-Wagner, T.; Gottschalk, M.; Hütten, A. The Influence of Martensitic Intercalations in Magnetic Shape Memory NiCoMnAl Multilayered Films. Entropy 2021, 23, 462. https://doi.org/10.3390/e23040462
Becker A, Ramermann D, Ennen I, Büker B, Matalla-Wagner T, Gottschalk M, Hütten A. The Influence of Martensitic Intercalations in Magnetic Shape Memory NiCoMnAl Multilayered Films. Entropy. 2021; 23(4):462. https://doi.org/10.3390/e23040462
Chicago/Turabian StyleBecker, Andreas, Daniela Ramermann, Inga Ennen, Björn Büker, Tristan Matalla-Wagner, Martin Gottschalk, and Andreas Hütten. 2021. "The Influence of Martensitic Intercalations in Magnetic Shape Memory NiCoMnAl Multilayered Films" Entropy 23, no. 4: 462. https://doi.org/10.3390/e23040462
APA StyleBecker, A., Ramermann, D., Ennen, I., Büker, B., Matalla-Wagner, T., Gottschalk, M., & Hütten, A. (2021). The Influence of Martensitic Intercalations in Magnetic Shape Memory NiCoMnAl Multilayered Films. Entropy, 23(4), 462. https://doi.org/10.3390/e23040462

