Cusp of Non-Gaussian Density of Particles for a Diffusing Diffusivity Model
Abstract
1. Introduction
2. Results
2.1. The Model
2.2. The General Case: Arbitrary Distribution of Waiting Times
2.2.1. Short Time Regime
2.2.1.1. for Arbitrary Waiting Times
2.2.2. Long Time Regime
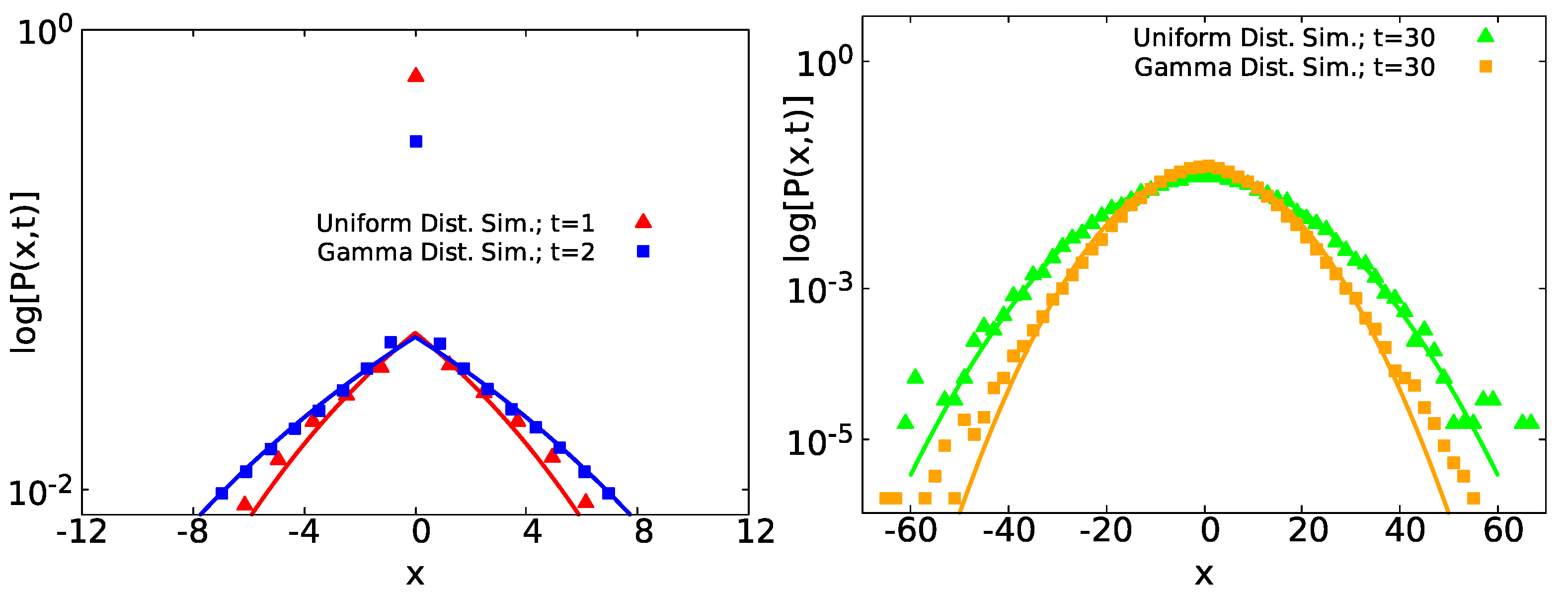
2.2.3. Simulations
2.3. Exponentially Distributed Waiting Times
2.3.1. Equal Mean Waiting Times
Positional Distribution Function
2.3.2. Different Mean Waiting Times
3. Discussion
3.1. The Histogram of the Diffusion Coefficient as Extracted from Experimental Data
3.1.1. Super-Statistics
3.1.2. Time Average MSD
4. Conclusions
Author Contributions
Funding
Institutional Review Board Statement
Informed Consent Statement
Data Availability Statement
Conflicts of Interest
Abbreviations
| CTRW | Continuous Time Random Walk |
| TAMSD | Time Average Mean Squared Displacement |
Appendix A. A Two State Model with
Appendix A.1. P(x,t) for Arbitrary Waiting Times

Appendix A.1.1. Short Time Regime
Appendix A.1.2. Long Time Regime
Appendix A.2. P(x,t) for Exponentially Distributed Waiting Times with
Appendix B. A Complementary Deduction of
Appendix B.1. Non-Equilibrium Initial Conditions
Appendix C. P(x,t) from Simulations with Uniform and Gamma Distributed Waiting Times within the Complete Range of x

Appendix D. PDF of Occupation Times for Exponentially Distributed Waiting Times and Non-Equilibrium Initial Conditions

Appendix E. Deduction of for Waiting Times with Similar Mean Waiting Times
Appendix F. Deduction of for Waiting Times with
Appendix G. Deduction of the MSD in a Two State Model with
References
- Chaudhuri, P.; Berthier, L.; Kob, W. Universal Nature of Particle Displacements close to Glass and Jamming Transitions. Phys. Rev. Lett. 2007, 99, 060604–060608. [Google Scholar] [CrossRef] [PubMed]
- Hapca, S.; Crawford, J.W.; Young, I.M. Anomalous diffusion of heterogeneous populations characterized by normal diffusion at the individual level. J. R. Soc. Interface 2009, 6, 111–122. [Google Scholar] [CrossRef]
- Wang, B.; Anthony, S.M.; Bae, S.C.; Granick, S. Anomalous yet Brownian. Proc. Natl. Acad. Sci. 2009, 106, 15160–15164. [Google Scholar] [CrossRef]
- Leptos, K.C.; Guasto, J.S.; Gollub, J.P.; Pesci, A.I.; Goldstein, R.E. Dynamics of Enhanced Tracer Diffusion in Suspensions of Swimming Eukaryotic Microorganisms. Phys. Rev. Lett. 2009, 103, 198103–198107. [Google Scholar] [CrossRef] [PubMed]
- Wang, B.; Kuo, J.; Bae, S.C.; Granick, S. When Brownian diffusion is not Gaussian. Nat. Mater. 2012, 11, 481–485. [Google Scholar] [CrossRef]
- Lampo, T.J.; Stylianidou, S.; Backlund, M.P.; Wiggins, P.A.; Spakowitz, A.J. Cytoplasmic RNA-Protein Particles Exhibit Non-Gaussian Subdiffusive Behavior. Biophys J. 2017, 112, 532–542. [Google Scholar] [CrossRef] [PubMed]
- Sabri, A.; Xu, X.; Krapf, D.; Weiss, M. Elucidating the Origin of Heterogeneous Anomalous Diffusion in the Cytoplasm of Mammalian Cells. Phys. Rev. Lett. 2020, 125, 058101–058107. [Google Scholar] [CrossRef]
- Weeks, E.R.; Crocker, J.C.; Levitt, A.C.; Schofield, A.; Weitz, D.A. Three-Dimensional Direct Imaging of Structural Relaxation Near the Colloidal Glass Transition. Science 2000, 287, 627–631. [Google Scholar] [CrossRef]
- Kegel, W.K.; van Blaaderen, A. Direct Observation of Dynamical Heterogeneities in Colloidal Hard-Sphere Suspensions. Science 2000, 287, 290–293. [Google Scholar] [CrossRef]
- Chakraborty, I.; Roichman, Y. Disorder-induced Fickian, yet non-Gaussian diffusion in heterogeneous media. Phys. Rev. Res. 2020, 2, 022020–022025. [Google Scholar] [CrossRef]
- Lavaud, M.; Salez, T.; Louyer, Y.; Amarouchene, Y. Surface Force Measurements Using Brownian Particles. arXiv 2020, arXiv:2012.05512. [Google Scholar]
- Chubynsky, M.V.; Slater, G.W. Diffusing Diffusivity: A Model for Anomalous, yet Brownian, Diffusion. Phys. Rev. Lett. 2014, 113, 098302–098307. [Google Scholar] [CrossRef]
- Miyaguchi, T.; Akimoto, T.; Yamamoto, E. Langevin equation with fluctuating diffusivity: A two-state model. Phys. Rev. E 2016, 94, 012109–012130. [Google Scholar] [CrossRef] [PubMed]
- Chechkin, A.V.; Seno, F.; Metzler, R.; Sokolov, I.M. Brownian yet Non-Gaussian Diffusion: From Superstatistics to Subordination of Diffusing Diffusivities. Phys. Rev. X 2017, 7, 021002–021022. [Google Scholar] [CrossRef]
- Sposini, V.; Chechkin, A.V.; Seno, F.; Pagnini, G.; Metzler, R. Random diffusivity from stochastic equations: Comparison of two models for Brownian yet non-Gaussian diffusion. New J. Phys. 2018, 20, 043044–043077. [Google Scholar] [CrossRef]
- Lanoiselée, Y.; Grebenkov, D.S. A model of non-Gaussian diffusion in heterogeneous media. J. Phys. A 2018, 51, 145602. [Google Scholar] [CrossRef]
- Sposini, V.; Chechkin, A.; Metzler, R. First, passage statistics for diffusing diffusivity. J. Phys. A 2018, 52, 04LT01. [Google Scholar] [CrossRef]
- Ślęzak, J.; Burnecki, K.; Metzler, R. Random coefficient autoregressive processes describe Brownian yet non-Gaussian diffusion in heterogeneous systems. New J. Phys. 2019, 21, 073056. [Google Scholar] [CrossRef]
- Grebenkov, D.; Sposini, V.; Metzler, R.; Oshanin, G.; Seno, F. Exact first-passage time distributions for three random diffusivity models. J. Phys. A 2020. [Google Scholar] [CrossRef]
- Wang, W.; Seno, F.; Sokolov, I.M.; Chechkin, A.V.; Metzler, R. Unexpected crossovers in correlated random-diffusivity processes. New J. Phys. 2020, 22, 083041. [Google Scholar] [CrossRef]
- Jain, R.; Sebastian, K.L. Diffusion in a Crowded, Rearranging Environment. J. Phys. Chem. B 2016, 120, 3988–3992. [Google Scholar] [CrossRef] [PubMed]
- Barkai, E.; Burov, S. Packets of Diffusing Particles Exhibit Universal Exponential Tails. Phys. Rev. Lett. 2020, 124, 060603. [Google Scholar] [CrossRef] [PubMed]
- Wang, W.; Barkai, E.; Burov, S. Large Deviations for Continuous Time Random Walks. Entropy 2020, 22, 697. [Google Scholar] [CrossRef]
- Pacheco-Pozo, A.; Sokolov, I.M. Large Deviation in Continuous Time Random Walks. arXiv 2020, arXiv:2012.09656. [Google Scholar]
- Samanta, N.; Chakrabarti, R. Tracer diffusion in a sea of polymers with binding zones: Mobile vs. frozen traps. Soft Matter 2016, 12, 8554–8563. [Google Scholar] [CrossRef]
- Kumar, P.; Theeyancheri, L.; Chaki, S.; Chakrabarti, R. Transport of probe particles in a polymer network: Effects of probe size, network rigidity and probe–polymer interaction. Soft Matter 2019, 15, 8992–9002. [Google Scholar] [CrossRef] [PubMed]
- Baldovin, F.; Orlandini, E.; Seno, F. Polymerization Induces Non-Gaussian Diffusion. Front. Phys. 2019, 7, 124. [Google Scholar] [CrossRef]
- Hidalgo-Soria, M.; Barkai, E. Hitchhiker model for Laplace diffusion processes. Phys. Rev. E 2020, 102, 012109. [Google Scholar] [CrossRef]
- Yin, Q.; Li, Y.; Marchesoni, F.; Nayak, S.; Ghosh, P. Non-Gaussian Normal Diffusion in Low Dimensional Systems. arXiv 2021, arXiv:2101.06875. [Google Scholar]
- Goswami, K.; Sebastian, K.L. Exact solution to the first-passage problem for a particle with a dichotomous diffusion coefficient. Phys. Rev. E 2020, 102, 042103. [Google Scholar] [CrossRef]
- Bouchaud, J.; Comtet, A.; Georges, A.; Le Doussal, P. Classical diffusion of a particle in a one-dimensional random force field. Ann. Phys. 1990, 201, 285–341. [Google Scholar] [CrossRef]
- Monthus, C. Anomalous diffusion, localization, aging, and subaging effects in trap models at very low temperature. Phys. Rev. E 2003, 68, 036114. [Google Scholar] [CrossRef] [PubMed]
- Burov, S.; Barkai, E. Time Transformation for Random Walks in the Quenched Trap Model. Phys. Rev. Lett. 2011, 106, 140602. [Google Scholar] [CrossRef] [PubMed]
- Burov, S.; Barkai, E. Weak subordination breaking for the quenched trap model. Phys. Rev. E 2012, 86, 041137. [Google Scholar] [CrossRef]
- Luo, L.; Yi, M. Non-Gaussian diffusion in static disordered media. Phys. Rev. E 2018, 97, 042122. [Google Scholar] [CrossRef]
- Luo, L.; Yi, M. Quenched trap model on the extreme landscape: The rise of subdiffusion and non-Gaussian diffusion. Phys. Rev. E 2019, 100, 042136. [Google Scholar] [CrossRef] [PubMed]
- Postnikov, E.B.; Chechkin, A.; Sokolov, I.M. Brownian yet non-Gaussian diffusion in heterogeneous media: From superstatistics to homogenization. New J. Phys. 2020, 22, 063046. [Google Scholar] [CrossRef]
- Regev, S.; Grønbech-Jensen, N.; Farago, O. Isothermal Langevin dynamics in systems with power-law spatially dependent friction. Phys. Rev. E 2016, 94, 012116. [Google Scholar] [CrossRef] [PubMed]
- Radice, M.; Onofri, M.; Artuso, R.; Cristadoro, G. Transport properties and ageing for the averaged Lévy–Lorentz gas. J. Phys. 2019, 53, 025701. [Google Scholar] [CrossRef]
- Barkai, E. Fractional Fokker–Planck equation, solution, and application. Phys. Rev. E 2001, 63, 046118. [Google Scholar] [CrossRef]
- Kärger, J. NMR self-diffusion studies in heterogeneous systems. Adv. Colloid Interface Sci. 1985, 23, 129–148. [Google Scholar] [CrossRef]
- Margolin, G.; Barkai, E. Aging correlation functions for blinking nanocrystals, and other on–off stochastic processes. J. Chem. Phys. 2004, 121, 1566–1577. [Google Scholar] [CrossRef]
- Aharony, A.; Entin-Wohlman, O.; Chowdhury, D.; Dattagupta, S. Is Telegraph Noise A Good Model for the Environment of Mesoscopic Systems? J. Stat. Phys. 2019, 175, 704–724. [Google Scholar] [CrossRef]
- Yamamoto, E.; Akimoto, T.; Mitsutake, A.; Metzler, R. Universal relation between instantaneous diffusivity and radius of gyration of proteins in aqueous solution. arXiv 2020, arXiv:2009.06829. [Google Scholar]
- Kanazawa, K.; Sano, T.G.; Cairoli, A.; Baule, A. Loopy Lévy flights enhance tracer diffusion in active suspensions. Nature 2020, 579, 364–367. [Google Scholar] [CrossRef]
- Godrèche, C.; Luck, J.M. Statistics of the Occupation Time of Renewal Processes. J. Stat. Phys. 2001, 104, 489–524. [Google Scholar] [CrossRef]
- Miyaguchi, T.; Uneyama, T.; Akimoto, T. Brownian motion with alternately fluctuating diffusivity: Stretched-exponential and power-law relaxation. Phys. Rev. E 2019, 100, 012116. [Google Scholar] [CrossRef]
- Cox, D.R. Renewal Theory; Methuen Publishing: North Yorkshire, UK, 1962. [Google Scholar]
- Bel, G.; Barkai, E. Occupation times and ergodicity breaking in biased continuous time random walks. J. Phys. Condens. Matter 2005, 17, S4287–S4304. [Google Scholar] [CrossRef][Green Version]
- Schulz, J.H.P.; Barkai, E.; Metzler, R. Aging Effects and Population Splitting in Single-Particle Trajectory Averages. Phys. Rev. Lett. 2013, 110, 020602. [Google Scholar] [CrossRef]
- Schulz, J.H.P.; Barkai, E.; Metzler, R. Aging Renewal Theory and Application to Random Walks. Phys. Rev. X 2014, 4, 011028. [Google Scholar] [CrossRef]
- Masoliver, J.; Weiss, G.H. Finite-velocity diffusion. Eur. J. Phys. 1996, 17, 190–196. [Google Scholar] [CrossRef]
- Masoliver, J.; Lindenberg, K. Continuous time persistent random walk: A review and some generalizations. Eur. Phys. J. B 2017, 90, 107. [Google Scholar] [CrossRef]
- Beck, C.; Cohen, E. Superstatistics. Phys. A Stat. Mech. Appl. 2003, 322, 267–275. [Google Scholar] [CrossRef]
- Laplace, P.S. Mémoirs présentés à l’ Académie des Sciences; Académie Des Sciences: Paris, France, 1774. [Google Scholar]
- Wilson, E.B. First, and Second Laws of Error. J. Am. Stat. Assoc. 1923, 18, 841–851. [Google Scholar] [CrossRef]
- Burov, S.; Jeon, J.H.; Metzler, R.; Barkai, E. Single particle tracking in systems showing anomalous diffusion: The role of weak ergodicity breaking. Phys. Chem. Chem. Phys. 2011, 13, 1800–1812. [Google Scholar] [CrossRef] [PubMed]
- Metzler, R.; Jeon, J.H.; Cherstvy, A.G.; Barkai, E. Anomalous diffusion models and their properties: Non-stationarity, non-ergodicity, and ageing at the centenary of single particle tracking. Phys. Chem. Chem. Phys. 2014, 16, 24128–24164. [Google Scholar] [CrossRef] [PubMed]
- Grebenkov, D.S. Time-averaged mean square displacement for switching diffusion. Phys. Rev. E 2019, 99, 032133. [Google Scholar] [CrossRef]
- Wang, W.; Cherstvy, A.G.; Chechkin, A.V.; Thapa, S.; Seno, F.; Liu, X.; Metzler, R. Fractional Brownian motion with random diffusivity: Emerging residual nonergodicity below the correlation time. J. Phys. A 2020, 53, 474001. [Google Scholar] [CrossRef]
- From Wolfram Research. Available online: https://functions.wolfram.com/Bessel-TypeFunctions/BesselI/26/01/01/ (accessed on 24 November 2020).








Publisher’s Note: MDPI stays neutral with regard to jurisdictional claims in published maps and institutional affiliations. |
© 2021 by the authors. Licensee MDPI, Basel, Switzerland. This article is an open access article distributed under the terms and conditions of the Creative Commons Attribution (CC BY) license (http://creativecommons.org/licenses/by/4.0/).
Share and Cite
Hidalgo-Soria, M.; Barkai, E.; Burov, S. Cusp of Non-Gaussian Density of Particles for a Diffusing Diffusivity Model. Entropy 2021, 23, 231. https://doi.org/10.3390/e23020231
Hidalgo-Soria M, Barkai E, Burov S. Cusp of Non-Gaussian Density of Particles for a Diffusing Diffusivity Model. Entropy. 2021; 23(2):231. https://doi.org/10.3390/e23020231
Chicago/Turabian StyleHidalgo-Soria, M., E. Barkai, and S. Burov. 2021. "Cusp of Non-Gaussian Density of Particles for a Diffusing Diffusivity Model" Entropy 23, no. 2: 231. https://doi.org/10.3390/e23020231
APA StyleHidalgo-Soria, M., Barkai, E., & Burov, S. (2021). Cusp of Non-Gaussian Density of Particles for a Diffusing Diffusivity Model. Entropy, 23(2), 231. https://doi.org/10.3390/e23020231

