Age of Information of Parallel Server Systems with Energy Harvesting
Abstract
:1. Introduction
1.1. Motivation
1.2. Related Work
1.3. Contribution
- the work of [19] where it is analyzed a system with a single server and energy harvesting. In our work, we consider the same energy harvesting model, but with two parallel servers.
1.4. Organization
2. Model Description
2.1. Age of Information
2.2. Energy Harvesting Model
3. Average Age of Information Analysis
3.1. Analysis When Tends to ∞
3.2. Limitations to Analyze More Complex Models
4. Performance Evaluation
4.1. Parallel Servers vs. Single Server
4.2. Convergence Analysis of Proposition 3
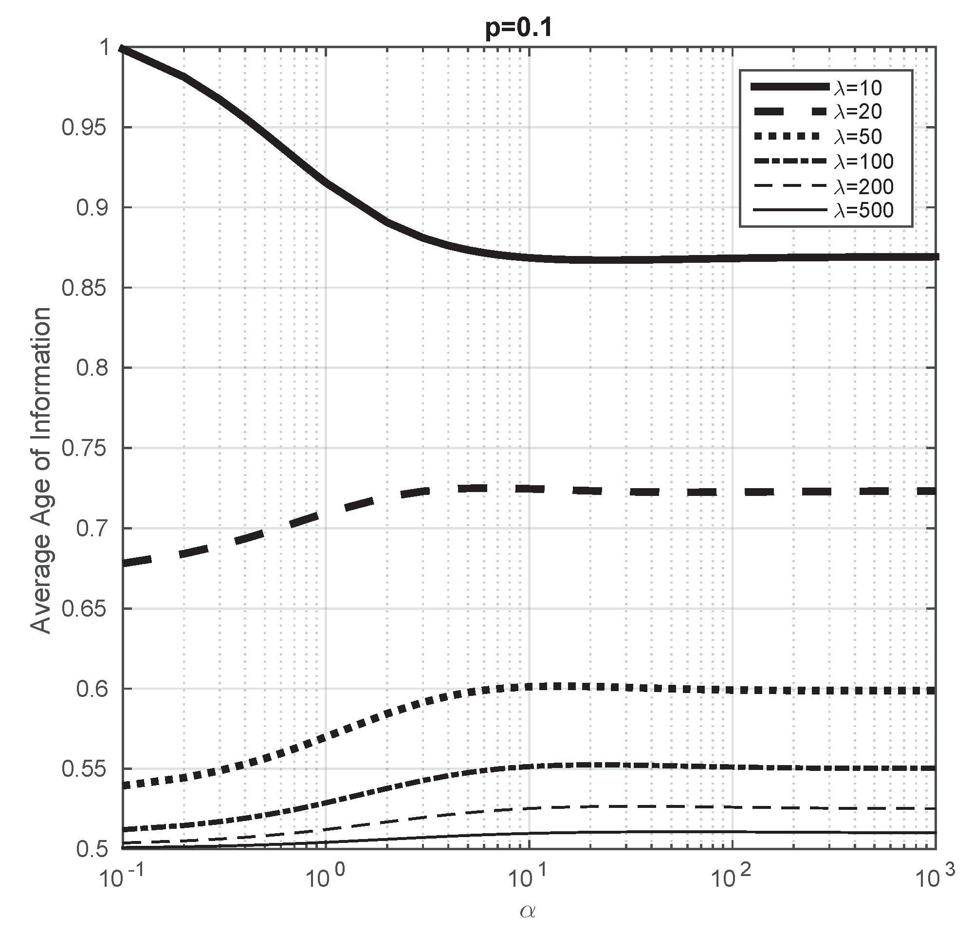
4.3. Analysis of ther Parameter p
5. Conclusions
Funding
Institutional Review Board Statement
Informed Consent Statement
Data Availability Statement
Conflicts of Interest
Appendix A. Average Age of Information and SHS
Appendix B. Proof of Proposition 1

- A data packet arrives to data queue 1 when the system is empty. Therefore, the data packet starts getting service and the value of is set to zero, that is, . The rest of values of are not modified.
- A data packet of data queue 1 ends service when data queue 2 is empty. The data packet is sent to the energy queue, which is empty. Hence, the data packet is lost and the system gets empty. The vector is not modified.
- A data packet arrives to data queue 1 when it is full. For this case, the last arrived packet replaces the packet in service and the age of changes to zero since the last arrived packet is fresh, that is, . The rest of values of do not change.
- A data packet arrives to data queue 1 when the energy queue is full. Therefore, the data packet starts getting service and the value of is set to zero, that is, . The rest of values of are not modified.
- An energy packet arrives to the system when data queue 1 is full and data queue 2 is empty. The arrival of an energy packet does not modify the age of the packets in the system and of the monitor, therefore the vector is not modified.
- A data packet is data queue 1 ends service and it is sent to the energy queue, which contains one energy packet. Therefore, the packet is successfully delivered and the age of information is modified by the age of the served packet, that is, .
- A data packet arrives to data queue 2 when the data queue 1 is full and the data queue 2 and the energy queue were empty. For this case, the value of is set to zero, that is, and the rest of the values of are not modified.
- A data packet in data queue 2 ends service when the energy queue is empty and data queue 1 is full. Therefore, the served packet is sent to the energy queue and it is lost. The vector is not modified.
- A data packet in data queue 2 ends service and the system is full. Therefore, the served packet is delivered and thus, the value of is replaced by that of , that is, . The rest of the values of are not modified.
- A data packet arrives to data queue 2 when the energy queue and data queue 1 are full. Therefore, all the queues are full and the value of is set to zero since a fresh packet arrived to that queue, that is, . The rest of the values of are not modified.
- A data packet arrives to data queue 1 or there is an energy packet arrival when the energy queue and data queue 1 are full and data queue 2 is empty. In the former case, the value of changes to zero since a fresh packet arrived to that queue, that is, and the rest of the values of are not modified, whereas in the later case the vector does not change.
- The data queues are full the energy queue is empty. If a data packet arrives to data queue 1, the value of changes to zero since a fresh packet arrived to that queue, that is, and the rest of the values of are not modified. Likewise, if a data packet arrives to data queue 2, the value of changes to zero since a fresh packet arrived to that queue, that is, and the rest of the values of are not modified.
- The system is full and one of the following events occur: (i) a data packet arrives to data queue 1, (ii) a data packet arrives to data queue 2 and (iii) an energy packet arrives to the energy queue. For the case (i), (resp. the case (ii)) the value of changes to zero (resp. changes to zero) since a fresh packet arrived to that queue, that is, (resp. ) and the rest of the values of are not modified. Finally, for the case (iii), the vector is not modified since an arrival of an energy queue does not change the age of the packets in the system.
| 0 | ||||
| 1 | ||||
| 2 | ||||
| 3 | ||||
| 4 | ||||
| 5 | ||||
| 6 | ||||
| 7 | ||||
| 8 | ||||
| 9 | ||||
| 10 | ||||
| 11 | ||||
| 12 | ||||
| 13 | ||||
| 14 | ||||
| 15 | ||||
| 16 | ||||
| 17 | ||||
| 18 | ||||
| 19 | ||||
| 20 | ||||
| 21 | ||||
| 22 | ||||
| 23 | ||||
| 24 | ||||
| 25 | ||||
| 26 | ||||
Appendix C. Proof of Lemma 1
Appendix D. Proof of Lemma 3
References
- Kaul, S.; Gruteser, M.; Rai, V.; Kenney, J. Minimizing age of information in vehicular networks. In Proceedings of the 2011 8th Annual IEEE Communications Society Conference on Sensor, Mesh and Ad Hoc Communications and Networks, Salt Lake City, UT, USA, 27–30 June 2011; IEEE: Piscataway, NJ, USA, 2011; pp. 350–358. [Google Scholar]
- Kaul, S.; Yates, R.; Gruteser, M. Real-time status: How often should one update? In Proceedings of the 2012 Proceedings IEEE INFOCOM, Orlando, FL, USA, 25–30 March 2012; IEEE: Piscataway, NJ, USA, 2012; pp. 2731–2735. [Google Scholar]
- Costa, M.; Codreanu, M.; Ephremides, A. On the age of information in status update systems with packet management. IEEE Trans. Inf. Theory 2016, 62, 1897–1910. [Google Scholar] [CrossRef]
- Bedewy, A.M.; Sun, Y.; Shroff, N.B. Minimizing the age of information through queues. IEEE Trans. Inf. Theory 2019, 65, 5215–5232. [Google Scholar] [CrossRef] [Green Version]
- Costa, M.; Codreanu, M.; Ephremides, A. Age of information with packet management. In Proceedings of the 2014 IEEE International Symposium on Information Theory, Honolulu, HI, USA, 29 June–4 July 2014; IEEE: Piscataway, NJ, USA, 2014; pp. 1583–1587. [Google Scholar]
- Maatouk, A.; Kriouile, S.; Assaad, M.; Ephremides, A. The Age of Incorrect Information: A New Performance Metric for Status Updates. arXiv 2019, arXiv:1907.06604. [Google Scholar] [CrossRef]
- Sun, Y.; Kadota, I.; Talak, R.; Modiano, E. Age of Information: A New Metric for Information Freshness. Synth. Lect. Commun. Netw. 2019, 12, 1–224. [Google Scholar] [CrossRef]
- Kosta, A.; Pappas, N.; Angelakis, V. Age of information: A new concept, metric, and tool. Found. Trends Netw. 2017, 12, 162–259. [Google Scholar] [CrossRef] [Green Version]
- Yates, R.D.; Sun, Y.; Brown, D.R.; Kaul, S.K.; Modiano, E.; Ulukus, S. Age of information: An introduction and survey. IEEE J. Sel. Areas Commun. 2021, 39, 1183–1210. [Google Scholar] [CrossRef]
- Wu, X.; Yang, J.; Wu, J. Optimal status update for age of information minimization with an energy harvesting source. IEEE Trans. Green Commun. Netw. 2017, 2, 193–204. [Google Scholar] [CrossRef]
- Arafa, A.; Yang, J.; Ulukus, S.; Poor, H.V. Age-minimal transmission for energy harvesting sensors with finite batteries: Online policies. IEEE Trans. Inf. Theory 2019, 66, 534–556. [Google Scholar] [CrossRef] [Green Version]
- Feng, S.; Yang, J. Age of information minimization for an energy harvesting source with updating erasures: Without and with feedback. IEEE Trans. Commun. 2021, 69, 5091–5105. [Google Scholar] [CrossRef]
- Arafa, A.; Yang, J.; Ulukus, S.; Poor, H.V. Online timely status updates with erasures for energy harvesting sensors. In Proceedings of the 2018 56th Annual Allerton Conference on Communication, Control, and Computing (Allerton), Monticello, IL, USA, 2–5 October 2018; IEEE: Piscataway, NJ, USA, 2018; pp. 966–972. [Google Scholar]
- Arafa, A.; Yang, J.; Ulukus, S.; Poor, H.V. Using erasure feedback for online timely updating with an energy harvesting sensor. In Proceedings of the 2019 IEEE International Symposium on Information Theory (ISIT), Paris, France, 7–12 July 2019; IEEE: Piscataway, NJ, USA, 2019; pp. 607–611. [Google Scholar]
- Gelenbe, E. Energy packet networks: ICT based energy allocation and storage. In International Conference on Green Communications and Networking; Springer: Berlin/Heidelberg, Germany, 2011; pp. 186–195. [Google Scholar]
- Gelenbe, E. Energy packet networks: Smart electricity storage to meet surges in demand. In Proceedings of the International ICST Conference on Simulation Tools and Techniques, SIMUTOOLS ’12, Sirmione-Desenzano, Italy, 19–23 March 2012; ICST/ACM: New York, NY, USA, 2012; pp. 1–7. [Google Scholar]
- Yates, R.D.; Kaul, S.K. The Age of Information: Real-Time Status Updating by Multiple Sources. IEEE Trans. Inf. Theory 2019, 65, 1807–1827. [Google Scholar] [CrossRef] [Green Version]
- Doncel, J.; Assaad, M. Age of Information in a Decentralized Network of Parallel Queues with Routing and Packets Losses. arXiv 2020, arXiv:2002.01696. [Google Scholar]
- Doncel, J. Age of information of a server with energy requirements. PeerJ Comput. Sci. 2021, 7, e354. [Google Scholar] [CrossRef] [PubMed]








Publisher’s Note: MDPI stays neutral with regard to jurisdictional claims in published maps and institutional affiliations. |
© 2021 by the author. Licensee MDPI, Basel, Switzerland. This article is an open access article distributed under the terms and conditions of the Creative Commons Attribution (CC BY) license (https://creativecommons.org/licenses/by/4.0/).
Share and Cite
Doncel, J. Age of Information of Parallel Server Systems with Energy Harvesting. Entropy 2021, 23, 1549. https://doi.org/10.3390/e23111549
Doncel J. Age of Information of Parallel Server Systems with Energy Harvesting. Entropy. 2021; 23(11):1549. https://doi.org/10.3390/e23111549
Chicago/Turabian StyleDoncel, Josu. 2021. "Age of Information of Parallel Server Systems with Energy Harvesting" Entropy 23, no. 11: 1549. https://doi.org/10.3390/e23111549
APA StyleDoncel, J. (2021). Age of Information of Parallel Server Systems with Energy Harvesting. Entropy, 23(11), 1549. https://doi.org/10.3390/e23111549

