Wave-Particle Duality Relation with a Quantum Which-Path Detector
Abstract
1. Introduction
2. Theory
2.1. Model of a Two-Path Interferometer with a QWPD
2.2. Duality Relation Based on -Norm Measure of Quantum Coherence with a QWPD
2.3. Duality Relation in a More General Case
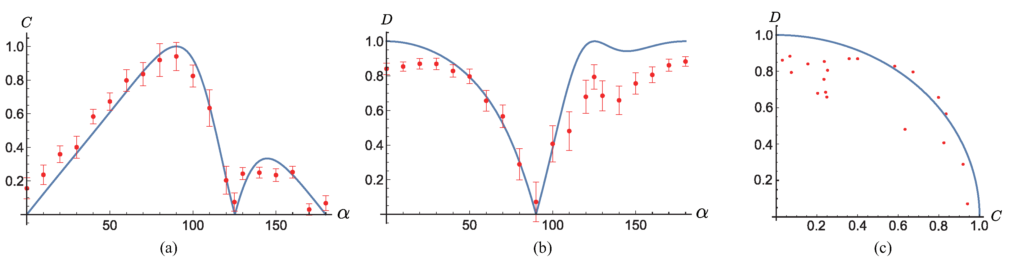
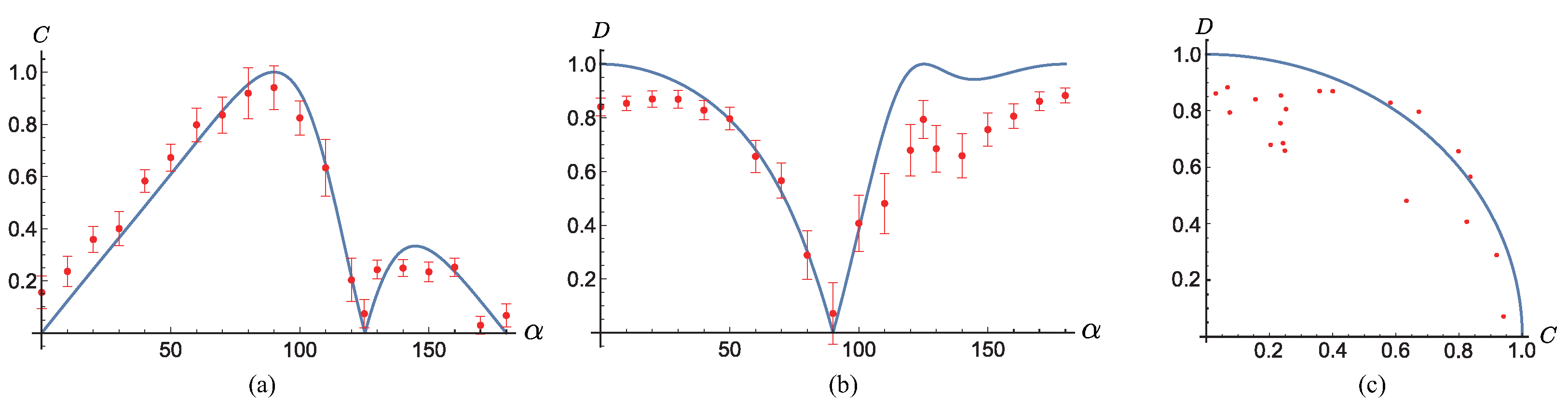
3. Experiment and Results
3.1. Principle of the Experimental Design
3.1.1. Generation of and
3.1.2. Generation of Quantum Superposition between and
3.2. Measuring Coherence and Path Distinguishability
4. Conclusions
Supplementary Materials
Author Contributions
Funding
Institutional Review Board Statement
Informed Consent Statement
Data Availability Statement
Conflicts of Interest
Abbreviations
| QBS | quantum beamsplitter |
| ABS | asymmetric beamsplitter |
| QWPD | quantum which-path detector |
| DOF | degree of freedom |
| MESD | minimum-error state discrimination |
| BD | beam-displacer |
| PBS | polarization-dependent beamsplitter |
| NPBS | non-polarizing BS |
| BBO | -Ba2B2O4 |
| HWP | half-wave plate |
| QWP | quarter-wave plate |
| IF | interference filter |
| APD | avalanche photodiode detector |
| QST | quantum state tomography |
References
- Bohr, N. Das quantenpostulat und die neuere entwicklung der atomistik. Naturwissenschaften 1928, 16, 245–257. [Google Scholar] [CrossRef]
- Bohr, N. The quantum postulate and the recent development of atomic theory. Nature 1928, 121, 580–590. [Google Scholar] [CrossRef]
- Englert, B.G. Fringe visibility and which-way information: An inequality. Phys. Rev. Lett. 1996, 77, 2154–2157. [Google Scholar] [CrossRef] [PubMed]
- Feynman, R.P.; Leighton, R.B.; Sands, M. The Feynman Lectures on Physics; American Association of Physics Teachers: College Park, MA, USA, 1965. [Google Scholar]
- Dürr, S.; Nonn, T.; Rempe, G. Fringe visibility and which-way information in an atom interferometer. Phys. Rev. Lett. 1998, 81, 5705–5709. [Google Scholar] [CrossRef]
- Peng, X.; Zhu, X.; Fang, X.; Feng, M.; Liu, M.; Gao, K. An interferometric complementarity experiment in a bulk nuclear magnetic resonance ensemble. J. Phys. A Math. Gen. 2003, 36, 2555–2563. [Google Scholar] [CrossRef][Green Version]
- Peng, X.; Zhu, X.; Suter, D.; Du, J.; Liu, M.; Gao, K. Quantification of complementarity in multiqubit systems. Phys. Rev. A 2005, 72, 052109. [Google Scholar] [CrossRef]
- Schwindt, P.D.D.; Kwiat, P.G.; Englert, B.G. Quantitative wave-particle duality and nonerasing quantum erasure. Phys. Rev. A 1999, 60, 4285–4290. [Google Scholar] [CrossRef]
- Wang, Z.; Tian, Y.; Yang, C.; Zhang, P.; Li, G.; Zhang, T. Experimental test of bohr’s complementarity principle with single neutral atoms. Phys. Rev. A 2005, 72, 062124. [Google Scholar] [CrossRef]
- Jacques, V.; Wu, E.; Grosshans, F.; Treussart, F.; Grangier, P.; Aspect, A.; Roch, J.F. Delayed-choice test of quantum complementarity with interfering single photons. Phys. Rev. Lett. 2005, 100, 220402. [Google Scholar] [CrossRef]
- Ionicioiu, R.; Terno, D.R. Proposal for a quantum delayed-choice experiment. Phys. Rev. Lett. 2011, 107, 230406. [Google Scholar] [CrossRef]
- Tang, J.S.; Li, Y.Y.; Xu, X.Y.; Xiang, G.Y.; Li, C.F.; Guo, G.C. Realization of quantum wheeler’s delayed-choice experiment. Nat. Photonics 2012, 6, 600–604. [Google Scholar] [CrossRef]
- Kaiser, F.; Coudreau, T.; Milman, P.; Ostrowsky, D.B.; Tanzilli, S. Entanglement-enabled delayed-choice experiment. Science 2012, 338, 637–640. [Google Scholar] [CrossRef] [PubMed]
- Peruzzo, A.; Shadbolt, P.; Brunner, N.; Popescu, S.; O’Brien, J.L. A quantum delayed-choice experiment. Science 2012, 338, 634–637. [Google Scholar] [CrossRef] [PubMed]
- Zheng, S.B.; Zhong, Y.P.; Xu, K.; Wang, Q.J.; Wang, H.; Shen, L.T.; Yang, C.P.; Martinis, J.M.; Cleland, A.N.; Han, S.Y. Quantum delayed-choice experiment with a beam splitter in a quantum superposition. Phys. Rev. Lett. 2015, 115, 260403. [Google Scholar] [CrossRef] [PubMed]
- Tang, J.S.; Li, Y.L.; Li, C.F.; Guo, G.C. Revisiting Bohr’s principle of complementarity with a quantum device. Phys. Rev. A 2013, 88, 014103. [Google Scholar] [CrossRef]
- Xin, T.; Li, H.; Wang, B.X.; Long, G.L. Realization of an entanglement-assisted quantum delayed-choice experiment. Phys. Rev. A 2015, 92, 022126. [Google Scholar] [CrossRef]
- Li, G.; Zhang, P.; Zhang, T. Quantum delayed-choice experiment with a single neutral atom. Opt. Lett. 2017, 42, 3800–3803. [Google Scholar] [CrossRef] [PubMed]
- Wang, K.; Xu, Q.; Zhu, S.; Ma, X.S. Quantum wave–particle superposition in a delayed-choice experiment. Nat. Photonics 2019, 13, 872–877. [Google Scholar] [CrossRef]
- Baumgratz, T.; Cramer, M.; Plenio, M.B. Quantifying coherence. Phys. Rev. Lett. 2014, 113, 140401. [Google Scholar] [CrossRef] [PubMed]
- Bera, M.N.; Qureshi, T.; Siddiqui, M.A.; Pati, A.K. Duality of quantum coherence and path distinguishability. Phys. Rev. A 2015, 92, 012118. [Google Scholar] [CrossRef]
- Bagan, E.; Bergou, J.A.; Cottrell, S.S.; Hillery, M. Relations between coherence and path information. Phys. Rev. Lett. 2016, 116, 160406. [Google Scholar] [CrossRef] [PubMed]
- Bagan, E.; Calsamiglia, J.; Bergou, J.A.; Hillery, M. Duality games and operational duality relations. Phys. Rev. Lett. 2018, 110, 050402. [Google Scholar] [CrossRef] [PubMed]
- Yuan, Y.; Hou, Z.B.; Zhao, Y.Y.; Zhong, H.S.; Xiang, G.Y.; Li, C.F.; Guo, G.C. Experimental demonstration of wave-particle duality relation based on coherence measure. Opt. Exp. 2018, 26, 4470–4478. [Google Scholar] [CrossRef]
- Gao, J.; Jiao, Z.Q.; Hu, C.Q.; Qiao, L.F.; Ren, R.J.; Tang, H.; Ma, Z.H.; Fei, S.M.; Vedral, V.; Jin, X.M. Experimental test of the relation between coherence and path information. Commun. Phys. 2018, 1, 89. [Google Scholar] [CrossRef]
- Ke, Z.J.; Meng, Y.; Wang, Y.T.; Yu, S.; Liu, W.; Li, Z.P.; Wang, H.; Li, Q.; Xu, J.S.; Tang, J.S.; et al. Experimental demonstration of tight duality relation inthree-path interferometer. Chin. Phys. B 2020, 29, 50307. [Google Scholar] [CrossRef]
- Barnett, S.M.; Croke, S. Quantum state discrimination. Adv. Opt. Photon. 2009, 1, 238–278. [Google Scholar] [CrossRef]
- Kwiat, P.G.; Waks, E.; White, A.G.; Appelbaum, I.; Eberhard, P.H. Ultrabright source of polarization-entangled photons. Phys. Rev. A 1999, 60, R773–R776. [Google Scholar] [CrossRef]
- Zhou, X.Q.; Ralph, T.C.; Kalasuwan, P.; Zhang, M.; Peruzzo, A.; Lanyon, B.P.; O’Brien, J.L. Adding control to arbitrary unknown quantum operations. Nat. Commun. 2011, 2, 413. [Google Scholar] [CrossRef]
- Nielsen, M.; Chuang, I. Quantum Computation and Quantum Information, 10th ed.; American Physical Society: College Park, MA, USA, 2010. [Google Scholar]
- Clauser, J.F.; Horne, M.A.; Shimony, A.; Holt, R.A. Proposed experiment to test local hidden-variable theories. Phys. Rev. Lett. 1969, 23, 880–884. [Google Scholar] [CrossRef]



Publisher’s Note: MDPI stays neutral with regard to jurisdictional claims in published maps and institutional affiliations. |
© 2021 by the authors. Licensee MDPI, Basel, Switzerland. This article is an open access article distributed under the terms and conditions of the Creative Commons Attribution (CC BY) license (http://creativecommons.org/licenses/by/4.0/).
Share and Cite
Wang, D.; Wu, J.; Ding, J.; Liu, Y.; Huang, A.; Yang, X. Wave-Particle Duality Relation with a Quantum Which-Path Detector. Entropy 2021, 23, 122. https://doi.org/10.3390/e23010122
Wang D, Wu J, Ding J, Liu Y, Huang A, Yang X. Wave-Particle Duality Relation with a Quantum Which-Path Detector. Entropy. 2021; 23(1):122. https://doi.org/10.3390/e23010122
Chicago/Turabian StyleWang, Dongyang, Junjie Wu, Jiangfang Ding, Yingwen Liu, Anqi Huang, and Xuejun Yang. 2021. "Wave-Particle Duality Relation with a Quantum Which-Path Detector" Entropy 23, no. 1: 122. https://doi.org/10.3390/e23010122
APA StyleWang, D., Wu, J., Ding, J., Liu, Y., Huang, A., & Yang, X. (2021). Wave-Particle Duality Relation with a Quantum Which-Path Detector. Entropy, 23(1), 122. https://doi.org/10.3390/e23010122

